Self Studies

Engineering Mathematics Test 1

Result Self Studies

Engineering Mathematics Test 1
  • Score

    -

    out of -
  • Rank

    -

    out of -
TIME Taken - -
Self Studies
Weekly Quiz Competition
  • Question 1
    2 / -0.33
    The solutions of the equation 3yy’ + 4x = 0 represents a:
    Solution

    3yy’ + 4x = 0

    \(3y\frac{{dy}}{{dx}} = - 4x\)

    3ydy = - 4x dx

    On integration both the sides:

    \(\frac{3}{2}{y^2} = - 2{x^2} + c\)

    Where c is the constant of integration.

    \(\frac{3}{2}{y^2} + 2{x^2} = c\)

    \(\frac{{{x^2}}}{{\left( {\frac{1}{2}} \right)c}} + \frac{{{y^2}}}{{\left( {\frac{2}{3}} \right)c}} = 1\)

    Thus, the solution of given differential equation represents the family of Ellipses.
  • Question 2
    2 / -0.33

    Match the list

     

    List – X

     

    List – Y

    (Order in Accuracy Quadrature)

    A

    Simpson’s 1/3 rule

    I

    O(n4)

    B

    Trapeziodal rule

    II

    O(n5)

    C

    Simpson’s 3/8 rule

    III

    O(n2)

    Solution

    For Trapezoidal Rule, error = \(\rm -\frac {(b-a)}{12}\times h^2.f^{ii}(\zeta)=O(n^2)\)

    For Simpson's 1/3rd  Rule, error = \(\rm -\frac {(b-a)}{180}\times h^4.f^{iv}(\zeta)=O(n^4)\)

    For Simpson's 3/8th  Rule, error = \(\rm -\frac {3}{80}\times h^5.f^{iv}(\zeta)=O(n^5)\)
    Hence A – I, B – III, C - II
  • Question 3
    2 / -0.33
    [1, 1, 2] is an Eigen vector of the matrix, \(A = \left[ {\begin{array}{*{20}{c}}3&1&{ - 1}\\2&2&{ - 1}\\2&2&0\end{array}} \right]\) corresponding to the Eigen value x. Then value of x is _______
    Solution

    Concept:

    If x is Eigen vector matrix corresponding to the matrix A & λ is the Eigen value then AX = λX

    Calculation:

    \(AX = \left[ {\begin{array}{*{20}{c}}3&1&{ - 1}\\2&2&{ - 1}\\2&2&0\end{array}} \right] = \left[ {\begin{array}{*{20}{c}}2\\2\\4\end{array}} \right] = \left[ {\begin{array}{*{20}{c}}1\\1\\2\end{array}} \right]\) 

    \(\lambda X = \lambda \left[ {\begin{array}{*{20}{c}}1\\1\\2\end{array}} \right]\) 

    \(AX = \lambda X \Rightarrow 2\left[ {\begin{array}{*{20}{c}}1\\1\\2\end{array}} \right] = \lambda \left[ {\begin{array}{*{20}{c}}1\\1\\2\end{array}} \right] \Rightarrow \lambda = 2\) 

    According to question, λ = x

    Hence [λ = 2 or λ = x = 2]

  • Question 4
    2 / -0.33
    The type of partial differential equation \(\frac{{{\partial ^2}P}}{{\partial {x^2}}} + \frac{1}{2}\frac{{{\partial ^2}P}}{{\partial x\partial y}} - \frac{{5\partial P}}{{\partial x}} + \frac{{2\partial P}}{{\partial y}} = 0\) is
    Solution

    Concept:

    Concept:

    The equation

    \({\rm{A}}\frac{{{\partial ^2}{\rm{u}}}}{{\partial {{\rm{x}}^2}}} + {\rm{B}}\frac{{{\partial ^2}{\rm{u}}}}{{\partial {\rm{x\;}}\partial {\rm{y}}}} + {\rm{C}}\frac{{{\partial ^2}{\rm{u}}}}{{\partial {{\rm{y}}^2}}} + {\rm{D}}\frac{{\partial {\rm{u}}}}{{\partial {\rm{y}}}} + {\rm{E}}\frac{{\partial {\rm{u}}}}{{\partial {\rm{x}}}} + {\rm{Fu}} = {\rm{y\;is}}\)

    Elliptic if B2 – 4AC < 0

    Parabolic if B– 4AC = 0

    Hyperbolic if B2 – 4AC > 0

    Calculation:

    Comparing the given equation with standard form,

    A = 1; B = 1 / 2; C = 0

    Now, \({B^2} - 4AC = {\left( {\frac{1}{2}} \right)^2} - 4\times1.0 = \frac{1}{4} > 0\) 

    Hyperbolic

  • Question 5
    2 / -0.33
    If \(f\left( x \right) = \left\{ {\begin{array}{*{20}{c}} {4 - x}&{x \le 2}\\ {kx - 4}&{x > 2} \end{array}} \right.\) is a continuous function for all real values of x, then f(8) is equal to ________.
    Solution

    Explanation:

    For continuous function:

    \(\mathop {\lim }\limits_{x \to {2^ - }} f\left( x \right) = f\left( 2 \right) = \mathop {\lim }\limits_{x \to {2^ + }} f\left( x \right)\)

    \(\mathop {\lim }\limits_{x \to {2^ - }} \left( {4 - x} \right) = \mathop {\lim }\limits_{x \to 2} \left( {4 - x} \right) = \mathop {\lim }\limits_{x \to {2^ + }} \left( {kx - 4} \right)\)

    (4 - 2) = 2 k - 4

    k = 3

    f(8) = k(8) - 4 = 3(8) - 4 = 20
  • Question 6
    2 / -0.33
    A box contains 2 red and 3 black balls. Three balls are randomly chosen from the box and are placed in a bag. Then the probability that there are 1 red and 2 black balls in the bag, is ________.
    Solution

    A box contains 2 red and 3 black balls

    Sample space = The number of possibilities to choose three balls from the box

    \( = {5_{{C_3}}} = 10\)

    The number of possibilities to choose 1 red and 2 black balls \( = {2_{{C_1}}}{3_{{C_2}}} = 6\)

    Required probability \( = \frac{6}{{10}} = 0.6\)
  • Question 7
    2 / -0.33

    Consider a function f(x, y, z) given by

    f(x, y, z) = (x2 + y2 – 2z2)(y2 + z2)

    The partial derivative of this function with respect to x at the point x = 2, y = 1 and z = 3 is _______

    Solution

    f(x, y, z) = (x2 + y2 – 2z2)(y2 + z2)

    \(\frac{{\partial f}}{{\partial x}} = \left( {2x} \right)\left( {{y^2} + {z^2}} \right)\) 

    At the point, x = 2, y = 1 and z = 3 is

    \(\frac{{\partial f}}{{\partial x}} = 2\left( 2 \right)\left( {{1^2} + {3^2}} \right) = 40\) 

  • Question 8
    2 / -0.33
    The rank of the matrix \(A=\left[ \begin{matrix} -1 & 2 & -1 & 0 \\ 2 & 4 & 4 & 2 \\ 0 & 0 & 1 & 5 \\ 1 & 6 & 3 & 2 \\\end{matrix} \right]\) is _________.
    Solution

    \(A=\left[ \begin{matrix} -1 & 2 & -1 & 0 \\ 2 & 4 & 4 & 2 \\ 0 & 0 & 1 & 5 \\ 1 & 6 & 3 & 2 \\\end{matrix} \right]\)

    R4 → R4 – R1

    \(=\left[ \begin{matrix} -1 & 2 & -1 & 0 \\ 2 & 4 & 4 & 2 \\ 0 & 0 & 1 & 5 \\ 2 & 4 & 4 & 2 \\\end{matrix} \right]\)

    R4 → R4 – R2

    R2 → R2 + 2R1

    \(=\left[ \begin{matrix} -1 & 2 & -1 & 0 \\ 0 & 8 & 2 & 2 \\ 0 & 0 & 1 & 5 \\ 0 & 0 & 0 & 0 \\\end{matrix} \right]\)

    Now this matrix is in echelon form.

    Rank = number of non-zero rows = 3
  • Question 9
    2 / -0.33

    The order and degree of the differential equation representing the family of curves \({y^2} = 2C\left( {x + \sqrt C } \right)\), where C is an arbitrary constant, are

    Solution

    Explanation:

    Given:

    \({y^2} = 2C\left( {x + \sqrt C } \right)\)      ---(1)

    ⇒ 2y y1 = 2C      ---(2)

    Using (2), (1) becomes

    \({y^2} = 2y{y^1}\left( {x + {{\left( {y{y^1}} \right)}^{1/2}}} \right)\) 

    \( \Rightarrow y = 2{y^1}x + 2{y^{\frac{1}{2}}}{\left( {{y^1}} \right)^3}\) 

    \( \Rightarrow {\left( {y - 2x{y^1}} \right)^2} = 2y{\left( {{y^1}} \right)^3}\) 

    ∴ order = 1 and degree = 3.

  • Question 10
    2 / -0.33

    Values of the function \(y = \frac{1}{{1 + {x^2}}}\) are y(0) = 1; y(1) = 0.5; y(2) = 0.2; y(3) = 0.1; y(4) = 0.0588; y(5) = 0.0385; y(6) = 0.027 using Simpson’s one-third rule, the value of the integral \(\mathop \smallint \limits_0^6 \frac{{dx}}{{1 + {x^2}}}\) is ______

    Solution

    According to Simpson’s 1/3rd rule

    \(\mathop \smallint \limits_a^b f\left( x \right)dx = \frac{h}{3}\left[ {\left( {{y_o} + {y_n}} \right) + 2\left( {{y_2} + {y_4} + \ldots } \right) + 4\left( {{y_1} + {y_3} + \ldots } \right)} \right]\)

    \(\therefore \mathop \smallint \limits_0^b \left( {\frac{1}{{1 + {x^2}}}} \right)dx = \frac{1}{3}\left[ {\left( {{y_0} + {y_6}} \right) + 2\left( {{y_2} + {y_4}} \right) + 4\left( {{y_1} + {y_3} + {y_5}} \right)} \right]\)

    \( = \frac{1}{3}\left[ {\left( {1 + 0.027} \right) + 2\left( {0.2 + 0.0588} \right) + 4 + \left( {0.5 + 0.1 + 0.0385} \right)} \right]\)

    \(= \frac{1}{3}\left[ {4.0986} \right]\)

    = 1.3662

  • Question 11
    2 / -0.33
    In Eight throw of a die, 5 or 6 is considered as success, then the standard deviation is ______
    Solution

    Concept:

    Variance = npd

    where n = total no. of events, p = probability of success, d = probability of failure.

    Standard deviation = \(\sqrt {variance} \) 

    Calculation:

    Variance = npd

    n = 8, p = probability success \( = \frac{1}{6} + \frac{1}{6} = \frac{1}{3}\) 

    d = probability of failure \( = 1 - p = 1 - \frac{1}{3} = \frac{2}{3}\) 

    ∴ Variance npd \( = 8\times \frac{1}{3}\times \frac{2}{3} = \frac{{16}}{9}\) 

    ∴ Standard deviation = \(\sqrt {variance} = \sqrt {\frac{{16}}{9}} = \frac{4}{3} = 1.33\) 

  • Question 12
    2 / -0.33
    Consider a function f(y) = y3 - 7y2 + 5 given on interval [p, q]. If f(y) satisfies hypothesis of Rolle’s theorem and p = 0 then what is the value of q?
    Solution

    f(y) = y3 - 7y2 + 5

    The auxiliary function is f1(y) = y3 - 7y2 = y2(y - 7)

    f(0) = f(7)=5.

    The function f(x) is everywhere continuous and differentiable because it is a cubic polynomial.

    Consequently, it satisfies all the conditions of Rolle’s theorem on the interval [0,7].

    Therefore the value q is 7.

  • Question 13
    2 / -0.33

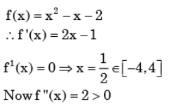
    Consider the function f(x) = x2 – x – 2. The maximum value of f(x) in the closed interval [–4, 4] is

    Solution

    ∴ f (x )has minimum at x= 1 / 2 It Shows that a maximum value that will be at x = 4  or x = - 4 

    At x = 4, f (x )= 10

    ∴ At x= −4, f (x ) = 18

    ∴ At x= −4, f (x ) has a maximum.

  • Question 14
    2 / -0.33

    Let y(x) be the solution to the differential equation \(4\frac{{{{\rm{d}}^2}{\rm{y}}}}{{{\rm{d}}{{\rm{x}}^2}}} + 12\frac{{{\rm{dy}}}}{{{\rm{dx}}}} + 9{\rm{y}} = 0,{\rm{\;y}}\left( 0 \right) = 1,{\rm{y'}}\left( 0 \right) = - 4\). Then y(1) equals:

    Solution

    The given differential equation is:

    \(4\frac{{{{\rm{d}}^2}{\rm{y}}}}{{{\rm{d}}{{\rm{x}}^2}}} + 12\frac{{{\rm{dy}}}}{{{\rm{dx}}}} + 9{\rm{y}} = 0\)

    Characteristics equation will be:

    4m2 + 12m + 9 = 0

    \({\rm{m}} = \frac{{ - 12 + \sqrt {144 - 144} }}{{2 \times 4}}\)

    \({\rm{m}} = \frac{{ - 12 \pm 0}}{8}\)

    \({{\rm{m}}_1} = - \frac{3}{2},{\rm{\;}}{{\rm{m}}_2} = - \frac{3}{2}\)

    The roots of the equation are real & equal.

    Thus, solution for this equation will be written as:

    \({\rm{y}}\left( {\rm{x}} \right) = \left( {{{\rm{c}}_1} + {{\rm{c}}_2}{\rm{x}}} \right){{\rm{e}}^{ - \frac{3}{2}{\rm{x}}}}\)      ----(i)

    Now given y (0) = 1

    \(1 = \left( {{{\rm{c}}_1} + {{\rm{c}}_2} \times 0} \right){{\rm{e}}^{ - \frac{3}{2} \times 0}}\)

    C1 = 1

    Now, On differentiating equation (i):

    \({\rm{y'}}\left( {\rm{x}} \right) = \left( {{{\rm{c}}_1} + {{\rm{c}}_2}{\rm{x}}} \right){\rm{\;}}\left( { - \frac{3}{2}} \right){{\rm{e}}^{ - \frac{3}{2} \times {\rm{x}}}} + {{\rm{c}}_2}{\rm{\;}}{{\rm{e}}^{ - \frac{3}{2} \times {\rm{x}}}}\)

    Given \({\rm{y'}}\left( 0 \right) = - 4\)

    Thus, \({\rm{y'}}\left( 0 \right) = \left( {{{\rm{c}}_1} + {{\rm{c}}_2} \times 0} \right)\left( { - \frac{3}{2}} \right){{\rm{e}}^{ - \frac{3}{2} \times 0}} + {{\rm{c}}_2}{\rm{\;}}{{\rm{e}}^{ - \frac{3}{2} \times 0}}\)

    \( - 4 = - \frac{3}{2}{\rm{\;}}{{\rm{c}}_1} + {{\rm{c}}_2}\)

    \( - 4 = - \frac{3}{2} \times 1 + {{\rm{c}}_2}\)

    \({{\rm{c}}_2} = - 4 + \frac{3}{2} = - \frac{5}{2}\)

    Now put C1 & C2 values in equation (i)

    \({\rm{y}}\left( {\rm{x}} \right) = \left( {1 - \frac{5}{2}} \right){{\rm{e}}^{ - \frac{3}{2}{\rm{x}}}}\)

    \({\rm{y}}\left( 1 \right) = \left( {1 - \frac{5}{2}} \right){{\rm{e}}^{ - \frac{3}{2} \times 1}}\)

    \({\rm{y}}\left( 1 \right) = - \frac{3}{2}{{\rm{e}}^{ - \frac{3}{2}}}\)

  • Question 15
    2 / -0.33
    Evaluate \(\mathop {\lim }\limits_{x \to 1} \frac{{{x^x} - x}}{{x - 1 - \log x}}\).
    Solution

    Concept:

    If limiting expression \(\mathop {\lim }\limits_{x \to a} \frac{{f\left( x \right)}}{{g\left( x \right)}}\) leads to \(\frac{0}{0}\) form, then apply L-Hospital’s rule to find the limiting value.. Applying L-Hospital’s rule we get,

    \(\mathop {\lim }\limits_{x \to a} \frac{{f\left( x \right)}}{{g\left( x \right)}} = \mathop {\lim }\limits_{x \to a} \frac{{f'\left( x \right)}}{{g'\left( x \right)}}\) 

    Calculation:

    \(\mathop {\lim }\limits_{x \to 1} \frac{{{x^x} - x}}{{x - 1 - \log x}};\frac{0}{0}\) form, so applying L-Hospital’s rule,

    \(\mathop {\lim }\limits_{x \to 1} \frac{{{x^x} - x}}{{x - 1 - \log x}} = \mathop {\lim }\limits_{x \to 1} \frac{{\frac{d}{{dx}}\left( {{x^x} - x} \right)}}{{\frac{d}{{dx}}\left( {x - 1 - \log x} \right)}} \Rightarrow \mathop {\lim }\limits_{x \to 1} \frac{{\frac{d}{{dx}}{x^x} - \frac{d}{{dx}}x}}{{\frac{d}{{dx}}\left( {x - 1} \right) - \frac{d}{{dx}}\left( {\log x} \right)}} = \mathop {\lim }\limits_{x \to 1} \frac{{{x^x}\left( {1 + \log x} \right) - 1}}{{1 - \frac{1}{x}}};\left( {\frac{0}{0}\;form} \right)\)

    Again applying L-Hospital’s rule,

    \(\mathop {\lim }\limits_{x \to 1} \frac{{\frac{d}{{dx}}\left( {{x^x}} \right) \cdot \left( {1 + \log x} \right) + {x^x}\left( {\frac{1}{x}} \right) - 0}}{{\frac{1}{{{x^2}}}}}\)

    \( = \mathop {\lim }\limits_{x \to 1} \frac{{{x^x}{{\left( {1 + \log x} \right)}^2} + {x^x}\left( {\frac{1}{x}} \right)}}{{\frac{1}{{{x^2}}}}} = \frac{{1{{\left( {1 + 0} \right)}^2} + \frac{1}{1}}}{1}\) = 2

    Important point:

    \(\frac{d}{{dx}}\left( {{x^x}} \right) = {x^x}\left( {1 + \log x} \right)\)
  • Question 16
    2 / -0.33
    If f(x) = 12x4 / 3 – 6x1 / 3, xϵ [-1, 1] then absolute minimum value of the function is
    Solution

    Concept:

    Absolute minimum value of the function is the least value of function in the given domain which occurs at boundary of the domain or critical points (within the domain) of the function.

    Calculation:

    f(x) = 12x4 / 3 – 6x1 / 3; xϵ [-1, 1]

    \(f'\left( x \right) = 12 \cdot \frac{4}{3}{x^{\frac{1}{3}}} - 6 \cdot \frac{1}{3}{x^{ - \frac{2}{3}}} = 16{x^{\frac{1}{3}}} - \frac{2}{{{x^{\frac{2}{3}}}}}\)

    \( \Rightarrow f'\left( x \right) = \frac{{2\left( {8x - 1} \right)}}{{{x^{\frac{2}{3}}}}}\)

    \(f'\left( x \right) = 0 \Rightarrow x = \frac{1}{8}\)

    \(f\left( {\frac{1}{8}} \right) = 12{\left( {\frac{1}{8}} \right)^{\frac{4}{3}}} - 6{\left( {\frac{1}{8}} \right)^{\frac{1}{3}}} = - \frac{9}{4}\)

    f(-1) = 12(-1)4 / 3 – 6(-1)1 / 3 = 18

    f(1) = 12(1)4 / 3 – 6(1)1 / 3 = 12 – 6 = 6

    Absolute minimum value \( = \min \left\{ {18,\;6, - \frac{9}{4}} \right\} = - \frac{9}{4} = - 2.25\)

    Important point:

    The maxima and minima occurs alternatively and , if f(x) be a function then critical points can be obtained by the solution of f’(x) = 0

  • Question 17
    2 / -0.33
    The matrix ‘A’ is defined as \(A = \left[ {\begin{array}{*{20}{c}} 1&2&{ - 3}\\ 0&3&2\\ 0&0&{ - 2} \end{array}} \right]\). The determinant of the matrix B = 3A3 + 5A2 – 6A + 2J is
    Solution

    Concept:

    Cayley Hamilton’s Theorem states that any matrix satisfies its characteristic equation.

    i.e. if ‘A’ is any matrix then A will satisfy its characteristic equation |A – λI| = 0 where I is identity matrix.

    Calculation:

    \(A - \lambda I = \left[ {\begin{array}{*{20}{c}} 0&2&{ - 3}\\ 0&3&2\\ 0&0&{ - 2} \end{array}} \right] - \lambda \left[ {\begin{array}{*{20}{c}} 1&0&0\\ 0&1&0\\ 0&0&1 \end{array}} \right] = \left[ {\begin{array}{*{20}{c}} {1 - \lambda }&2&{ - 3}\\ 0&{3 - \lambda }&2\\ 0&0&{ - 2 - \lambda } \end{array}} \right]\)

    \(\left| {A - \lambda I} \right| = 0 \Rightarrow \left| {\begin{array}{*{20}{c}} {1 - \lambda }&2&{ - 3}\\ 0&{3 - \lambda }&2\\ 0&0&{ - 2 - \lambda } \end{array}} \right| = 0\)

    ⇒ (1 - λ)(3 - λ)(-2 - λ) = 0

    ⇒ λ = 1, 3, -2

    Eigen values of A3 = λ3 = 13, 33, (-2)3 = 1, 27, -8

    Eigen values of A2 = λ2 = 12, 32, (-2)2 = 1, 9, 4

    Eigen values of A = λ = 1, 3, -2

    Eigen values of B,

    First eigen value = 3(1)3 + 5(1)2 – 6(1) + 2(1) = 4

    Second eigen value = 3(27) + 5(9) – 6(3) + 2(1) = 110

    Third eigen value = 3(-8) + 5(4) – 6(-2) + 2(1) = 10

    Hence, the required eigen values are 4, 110 & 10

    Determinant of matrix B = λ1 λ2 λ3 = 4 * 110 * 10 = 4400

    Imporant Point:

    i) Eigen value of An = λn

    ii) Determinant of a matrix = Product of eigen values
  • Question 18
    2 / -0.33
    The Wronskian of the functions x2, 3x + 2, 2x + 3 is _______
    Solution

    Concept:

    If f(x), g(x) & h(x) be three different functions then Wronskian is given by \(\left| {\begin{array}{*{20}{c}}{f\left( x \right)}&{g\left( x \right)}&{h\left( x \right)}\\{f'\left( x \right)}&{g'\left( x \right)}&{h'\left( x \right)}\\{f''\left( x \right)}&{g''\left( x \right)}&{h''\left( x \right)}\end{array}} \right|\)

    Calculation:

    f(x) = x2

    g(x) = 3x + 2

    h(x) = 2x + 3

    Wronskian \(= \left| {\begin{array}{*{20}{c}}{{x^2}}&{3x + 2}&{2x + 3}\\{\frac{d}{{dx}}\left( {{x^2}} \right)}&{\frac{d}{{dx}}\left( {3x + 2} \right)}&{\frac{d}{{dx}}\left( {2x + 3} \right)}\\{\frac{{{d^2}}}{{d{x^2}}}\left( {{x^2}} \right)}&{\frac{{{d^2}}}{{d{x^2}}}\left( {3x + 2} \right)}&{\frac{{{d^2}}}{{d{x^2}}}\left( {2x + 3} \right)}\end{array}} \right|\) 

    \(\Rightarrow Wronskian = \left| {\begin{array}{*{20}{c}}{{x^2}}&{3x + 2}&{2x + 3}\\{2x}&3&2\\2&0&0\end{array}} \right|\) 

    Expanding along 3rd row, Wronskian = 2[2(3x + 2) - 3(2x + 3)] = 2 (6x + 4 – 6x - 9) = -10

  • Question 19
    2 / -0.33
    A lot has 20% defective items and 20 items are chosen randomly from this lot. The probability that exactly 3 of the chosen items are defective is _____
    Solution

    Concept:

    The probability of ‘r’ success in ‘n’ trial is given as \(p\left( {x = r} \right) = {}_{}^n{C_r}{p^r}{q^{n - r}}\) 

    Where, p = probability of success

    d = 1 – p = probability of failure

    Calculation:

    Probability of defective item, \(p = \frac{{20}}{{100}} = 0.2\)

    Probability of non-defective item, d = 1 – p = 0.8

    Probability that exactly 3 of the chosen items are defective \( = {}_{}^{20}{C_3}{\left( p \right)^3}{\left( d \right)^{20 - 3}} = {}_{}^{20}{C_3}{\left( {0.2} \right)^3}{\left( {0.8} \right)^{17}}\)

    = 0.205

    Important Point:

    \({}_{}^n{C_r} = \frac{{n!}}{{r!\left( {n - r} \right)!}}\)

  • Question 20
    2 / -0.33

    The value of α for which the system has more than one solution is _______

    x + y + z = 0

    y + 2z = 0

    αx + z = 0

    Solution

    Concept:

    If the system has more than one solution then |A| = 0; where A is the coefficient matrix.

    For the system,

    x + y + z = 0

    0.x + y + 2z = 0

    αx + 0.y + z = 0

    \(A = \left[ {\begin{array}{*{20}{c}}1&1&1\\0&1&2\\\alpha &0&1\end{array}} \right]\) 

    \(\left| A \right| = 0 \Rightarrow \left| {\begin{array}{*{20}{c}}1&1&1\\0&1&2\\\alpha &0&1\end{array}} \right| = 0\) 

    ⇒ α (2 - 1) + 1 (1 - 0) = 0

    ⇒ α + 1 = 0

    ⇒ α = 1

    Hence, α = -1

  • Question 21
    2 / -0.33

    The value of the integral \(\underset{a}{\overset{\text{ }\!\!b\!\!\text{ }}{\mathop \int }}\,\text{x}{{\cos }^{2}}\text{xdx}\) is\(\frac{{{\pi }^{2}}}{4}. \)

    What is the correct value of a and b?

    Solution

    Property:

    \(\mathop{\int }_{\text{a}}^{\text{b}}\text{f}\left( \text{x} \right)\text{ }\!\!~\!\!\text{ dx }\!\!~\!\!\text{ }=\mathop{\int }_{\text{a}}^{\text{b}}\text{f}\left( \text{a}+\text{b}-\text{x} \right)\text{ }\!\!~\!\!\text{ dx}\)

    Calculation:

    \(\text{I}=\mathop{\int }_{0}^{\text{ }\!\!\pi\!\!\text{ }}\text{x }\!\!~\!\!\text{ }{{\left( \cos \text{x} \right)}^{2}}\text{ }\!\!~\!\!\text{ dx}=\mathop{\int }_{0}^{\text{ }\!\!\pi\!\!\text{ }}\left( \text{ }\!\!\pi\!\!\text{ }-\text{x} \right)\text{ }\!\!~\!\!\text{ }{{\left( \cos \left( \text{ }\!\!\pi\!\!\text{ }-\text{x} \right) \right)}^{2}}\text{ }\!\!~\!\!\text{ dx}\)

    \(\text{I}=\mathop{\int }_{0}^{\text{ }\!\!\pi\!\!\text{ }}\text{x }\!\!~\!\!\text{ }{{\left( \cos \text{x} \right)}^{2}}\text{ }\!\!~\!\!\text{ dx}=\mathop{\int }_{0}^{\text{ }\!\!\pi\!\!\text{ }}\left( \text{ }\!\!\pi\!\!\text{ }-\text{x} \right)\text{ }\!\!~\!\!\text{ }{{\left( \cos \left( \text{ }\!\!\pi\!\!\text{ }-\text{x} \right) \right)}^{2}}\text{ }\!\!~\!\!\text{ dx}\)

    \(\text{I}=\mathop{\int }_{0}^{\text{ }\!\!\pi\!\!\text{ }}\text{ }\!\!\pi\!\!\text{ }\!\!~\!\!\text{ }{{\left( \cos \text{x} \right)}^{2}}\text{ }\!\!~\!\!\text{ dx}-\text{ }\!\!~\!\!\text{ }\mathop{\int }_{0}^{\text{ }\!\!\pi\!\!\text{ }}\text{x }\!\!~\!\!\text{ }{{\left( \cos \text{x} \right)}^{2}}\text{ }\!\!~\!\!\text{ dx}\)

    \(\text{I}=\mathop{\int }_{0}^{\text{ }\!\!\pi\!\!\text{ }}\text{ }\!\!\pi\!\!\text{ }\!\!~\!\!\text{ }{{\left( \cos \text{x} \right)}^{2}}\text{ }\!\!~\!\!\text{ dx}-\text{ }\!\!~\!\!\text{ I}\)

    \(2\times \text{I}=\mathop{\int }_{0}^{\text{ }\!\!\pi\!\!\text{ }}\text{ }\!\!\pi\!\!\text{ }\!\!~\!\!\text{ }{{\left( \cos \text{x} \right)}^{2}}\text{ }\!\!~\!\!\text{ dx}=\text{ }\!\!\pi\!\!\text{ }\mathop{\int }_{0}^{\text{ }\!\!\pi\!\!\text{ }}\frac{1+\cos 2\text{x}}{2}\text{ }\!\!~\!\!\text{ dx}\)

    \(2\times \text{I}=\text{ }\!\!\pi\!\!\text{ }\mathop{\int }_{0}^{\text{ }\!\!\pi\!\!\text{ }}\frac{1}{2}\text{ }\!\!~\!\!\text{ dx}+\text{ }\!\!\pi\!\!\text{ }\mathop{\int }_{0}^{\text{ }\!\!\pi\!\!\text{ }}\frac{\cos 2\text{x}}{2}\text{ }\!\!~\!\!\text{ dx}\)

    \(2\times \text{I}=\text{ }\!\!~\!\!\text{ }\frac{\text{ }\!\!\pi\!\!\text{ }}{2}\left( \text{ }\!\!\pi\!\!\text{ }-0 \right)+\frac{1}{2}\left( \sin 2\text{ }\!\!\pi\!\!\text{ }-\sin 0 \right)=\frac{{{\text{ }\!\!\pi\!\!\text{ }}^{2}}}{2}\)

    \(\therefore \mathbf{I}=\mathop{\int }_{0}^{\mathbf{\pi }}\mathbf{x}~{{\left( \cos \mathbf{x} \right)}^{2}}~\mathbf{dx}=\frac{{{\mathbf{\pi }}^{2}}}{4}\)

  • Question 22
    2 / -0.33
    Find the positive root of x4 – x = 10 after 1st iteration and 2nd iteration (x2) with initial value x0 = 2. Using Newton-Raphson method
    Solution

    Explanation:

    Let f(x) = x4 – x – 10

    f'(x) = 4x3 – 1

    Newton-Raphson’s formula is

    \({x_{n + 1}} = {x_n} - \frac{{f\left( {{x_n}} \right)}}{{f'\left( {{x_n}} \right)}}\)

    Putting n = 0, first approximation is given by

    \({x_1} = {x_0} - \frac{{f\left( {{x_0}} \right)}}{{f'\left( {{x_0}} \right)}}\)     ---(1

    Since, x0 = 2

    f(x0) = 24 – 2 – 10 = 4

    f’(x0) = 31

    Put in (1)

    \({x_1} = 2 - \frac{4}{{31}}\)

    x1 = 1.8709

    Also,

    \({x_2} = {x_1} - \frac{{f\left( {{x_1}} \right)}}{{f'\left( {{x_1}} \right)}}\)     ---(2)

    f(x1) = (1.8709)4 – 1.8709 – 10 = 0.3809

    f’(x1) = 4(1.8709)3 – 1 = 25.1945

    \({x_2} = 1.8709 - \frac{{0.3809}}{{25.1945}} = 1.8557\)

    x2 = 1.8557
  • Question 23
    2 / -0.33

    A continuous random variable  has a probability density function as

    f(x) = 3x2, 0 ≤ x ≤ 1, Find a and b such that

    (i) P(X ≤ a) = P(X > a) and

    (ii) P(X > b) = 0.05

    Solution

    Explanation:

    (i) P(X ≤ a) = P(X > a)

    \(\therefore \;\mathop \smallint \limits_0^a 3{x^2}dx = \mathop \smallint \limits_a^1 3{x^2}dx\)

    a3 = 1 – a3

    \({a^3} = \frac{1}{2}\)

    a = 0.7937

    (ii) P(X > b) = 0.05

    \(\mathop \smallint \limits_b^1 3{x^2}dx = 0.05\)

    b3 = 0.95

    ∴ b = 0.9830

  • Question 24
    2 / -0.33
    Which of the following statements is/are true?
    Solution

    Concept:

    Diagonalization of the matrix:

    If a square matrix Q of order n has n linearly independent Eigenvectors, then matrix P can be found such that \({P^{ - 1}}QP\) is a diagonal matrix.

    Let Q be a square matrix of order 3.

    Let λ1, λ2, and λ3 be Eigenvalues of matrix Q and \({X_1} = \left[ {\begin{array}{*{20}{c}} {{x_1}}\\ {{y_1}}\\ {{z_1}} \end{array}} \right],\;{X_2} = \left[ {\begin{array}{*{20}{c}} {{x_2}}\\ {{y_2}}\\ {{z_2}} \end{array}} \right],\;{X_3} = \left[ {\begin{array}{*{20}{c}} {{x_3}}\\ {{y_3}}\\ {{z_3}} \end{array}} \right]\) be the corresponding Eigenvectors.

    Let denote the square matrix \(\left[ {\begin{array}{*{20}{c}} {{X_1}}&{{X_2}}&{{X_3}} \end{array}} \right] = \left[ {\begin{array}{*{20}{c}} {{x_1}}&{{x_2}}&{{x_3}}\\ {{y_1}}&{{y_2}}&{{y_3}}\\ {{z_1}}&{{z_2}}&{{z_3}} \end{array}} \right]\) by P.

    Now, the given matrix A can be diagonalized by \(D = {P^{ - 1}}QP\)

    Or the matrix A can be represented by \(Q = PD{P^{ - 1}}\)

    Where D is the diagonal matrix and it is represented by \(D = \left[ {\begin{array}{*{20}{c}} {{\lambda _1}}&0&0\\ 0&{{\lambda _2}}&0\\ 0&0&{{\lambda _3}} \end{array}} \right]\)

    Properties of Eigenvalues:

    The sum of Eigenvalues of a matrix A is equal to the trace of that matrix A

    The product of Eigenvalues of a matrix A is equal to the determinant of that matrix A

    Calculation:

    Option 1: In a lower triangular matrix or in an upper triangular matrix, the diagonal elements itself are the Eigenvalues.

    Therefore, the product of the diagonal elements is equal to the product of Eigenvalues.

    Option 2:

    For n × n matrices A and B i.e. for square matrices

    AB = I

    ⇒ B = A-1

    Now, BA = A-1A = I

    If AB = I, then BA = I. It is always true.

    Therefore, the given statement is false.

    Note: But the above statement is valid for non-square matrices.

    Example: \(A = \left[ {\begin{array}{*{20}{c}}1&0&0\\0&1&0\end{array}} \right],B = \left[ {\begin{array}{*{20}{c}}1&0\\0&1\\0&0\end{array}} \right]\)

    Option 3:

    If there exists an invertible matrix Q such that A = QBQ-1, the det A = det B.

    From the diagonalization of matrix A, the above statement is true.

    Option 4:

    A is an invertible matrix. So, matrix A is a nonsingular matrix and hence the rank of a matrix is n.

    Therefore, the rows of A are linearly independent.

  • Question 25
    2 / -0.33
    The vector \(\vec V = \left( {x + y + az} \right)i + \left( {bx + 2y - z} \right)j + + \left( { - x + cy + 2z} \right)k\) is irrotational. Where a, b and c are constants. Find the divergence of the vector \(\vec V\).
    Solution

    Concept:

    A vector F is said to be solenoidal when ∇. F = 0

    A vector F is said to be irrotational when ∇ × F = 0

    Calculation:

    \(\vec V = \left( {x + y + az} \right)i + \left( {bx + 2y - z} \right)j + + \left( { - x + cy + 2z} \right)k\)

    \(\nabla \times \vec V = \left| {\begin{array}{*{20}{c}} i&j&k\\ {\frac{\partial }{{\partial x}}}&{\frac{\partial }{{\partial y}}}&{\frac{\partial }{{\partial z}}}\\ {\left( {x + y + az} \right)}&{\left( {bx + 2y - z} \right)}&{\left( { - x + cy + 2z} \right)} \end{array}} \right| = 0\)

    ⇒ i (c + 1) – j (-1 – a) + k (b – 1) = 0

    ⇒ a = -1, b = 1, and c = -1

    \(\vec V = \left( {x + y - z} \right)i + \left( {x + 2y - z} \right)j + \left( { - x - y + 2z} \right)k\)

    Divergence of the given vector is

    \(div\;\vec V = \nabla .\vec V = \frac{\partial }{{\partial x}}\left( {x + y - z} \right) + \frac{\partial }{{\partial y}}\left( {x + 2y - z} \right) + \frac{\partial }{{\partial z}}\left( { - x - y + 2z} \right)\)

    = 1 + 2 + 2 = 5
Self Studies
User
Question Analysis
  • Correct -

  • Wrong -

  • Skipped -

My Perfomance
  • Score

    -

    out of -
  • Rank

    -

    out of -
Re-Attempt Weekly Quiz Competition
Self Studies Get latest Exam Updates
& Study Material Alerts!
No, Thanks
Self Studies
Click on Allow to receive notifications
Allow Notification
Self Studies
Self Studies Self Studies
To enable notifications follow this 2 steps:
  • First Click on Secure Icon Self Studies
  • Second click on the toggle icon
Allow Notification
Get latest Exam Updates & FREE Study Material Alerts!
Self Studies ×
Open Now