Self Studies

RCC Design Test 2

Result Self Studies

RCC Design Test 2
  • Score

    -

    out of -
  • Rank

    -

    out of -
TIME Taken - -
Self Studies
Weekly Quiz Competition
  • Question 1
    2 / -0.33
    For the working stress method, limiting depth of Neutral axis depends on ____
    Solution

    Limiting depth of the neutral axis depends only on the grade of steel for Working stress method:

    \(\rm{\begin{array}{l}\rm{ Limiting\;depth, }\;{x_u} = \frac{{m\;{\sigma _{cbc}}}}{{m\;{\sigma _{cbc}} + {\sigma _{st}}}}\\ x_u = \frac{1}{{1 + \left( {\frac{{{\sigma _{st}}}}{{m\;{\sigma _{cbc}}}}} \right)}}\\ x_u= \frac{1}{{1 + \left( {\frac{{{\sigma _{st}}}}{{\left( {\frac{{280}}{{3\;{\sigma _{cbc}}}}} \right) \times {\sigma _{cbc}}}}} \right)}}\\ x_u= \frac{1}{{1 + \frac{{3{\sigma _{st}}}}{{280}}}} \end{array}}\)

    Where σcbc = permissible stress in concrete

    σ st = Permissible stress in steel

    So the depth of the neutral axis only depends on the grade of steel.
  • Question 2
    2 / -0.33

    As per IS: 456 in a two – way slab, the width of the middle strip along each span should be:

    Solution

    See figure

  • Question 3
    2 / -0.33
    While designing, for a steel column of Fe250 grade, a base plate resting on a concrete pedestal of M20 grade, the bearing strength of concrete (in N/mm2) in limit state method of design as per IS : 456 - 2000 is __________
    Solution

    Concept

    As per IS 456: 2000, the bearing strength of concrete (fbr) is given by:

     fbr = 0.45 fck (For limit state)

    Calculation

     Given, 

     Grade of concrete M20 i.e. fck = 20 MPa  

     ∴ fbr = 0.45 × 20 = 9 MPa
  • Question 4
    2 / -0.33

    The appropriate expression in assessing development length is:

    Solution

    A development length is the amount of rebar length that is needed to be embedded or projected into concrete to create desired bond strength between the two materials and also to develop required stress in steel at that section. It is given by:

  • Question 5
    2 / -0.33
    An axially loaded column is of 300 mm × 300 mm size. The effective length of the column is 3 m. What is the minimum eccentricity of the axial load for the column?
    Solution

    As per IS 456: 2000, clause 25.4,

    Minimum Eccentricity

    All columns shall be designed for minimum eccentricity, equal to the addition of the unsupported length of column divided by 500 and lateral dimensions divided by 30, subject to a minimum of 20 mm.

    Where biaxial bending is considered, it is sufficient to ensure that eccentricity exceeds the minimum about one axis at a time.

    Calculation:

    Unsupported length = 3000 mm

    Size of the column = 300 mm

    Minimum eccentricity = \(\frac{L}{{500}} + \frac{B}{{30}} \)

    \(e_{min}= \;\frac{{3000}}{{500}} + \frac{{300}}{{30}} = 16\;mm\;\)

    But, in no case, the minimum eccentricity should be less than 20 mm.

    Hence, the minimum eccentricity of the axial load for the column is 20 mm.
  • Question 6
    2 / -0.33
    A reinforced cement concrete beam section has a size of 300 mm width and 400 mm effective depth, the grade of concrete used is M20 and grade of steel is Fe 415. If the ultimate bending moment of 150 kN-m acts at the section, the beam has to be designed as
    Solution

    Approach: Check the ultimate and limiting bending moment.

    Concept:

    To know which type of beam need to be used is determined by checking Ultimate bending moment and Limiting Bending moment.

    Need for Doubly reinforced reinforcement

    i) When depth is restricted

    ii) Reversal of stresses.

    iii) Subjected to Impact loads

    iv) MU > MUlim

    \({{\rm{M}}_{{\rm{Ulim}}}}{\rm{\;}} = {\rm{compressive\;force}} \times {\rm{lever\;arm\;\;}}\)

    \({{\rm{M}}_{{\rm{Ulim}}}}{\rm{\;}} = {\rm{C}} \times \left( {{\rm{d}} - 0.42{{\rm{x}}_{{\rm{umax}}}}} \right){\rm{\;\;}}\)

    \({{\rm{M}}_{{\rm{Ulim}}}}{\rm{\;}} = 0.36{\rm{\;}}{{\rm{f}}_{{\rm{ck}}}} \times {\rm{b}} \times {{\rm{x}}_{{\rm{umax}}}} \times \left( {{\rm{d}} - {{\rm{x}}_{{\rm{umax}}}}} \right){\rm{\;}}\)

    Where,

    Limiting bending moment (MUlim)

    Ultimate bending moment (MU )

    d is the effective distance

    Steel

    XUmax

    Fe250

    0.53×d

    Fe415

    0.48×d

    Fe500

    0.46×d

     

    Calculation:

    Given Grade of concrete M20

    Width of beam = 300mm

    Depth of the beam = 400mm

    Grade of steel is Fe415

    Ultimate bending moment (MU) = 150kN-m

    Limiting bending moment (MUlim )

    \({{\rm{M}}_{{\rm{Ulim}}}}{\rm{\;}} = 0.36{\rm{\;}}{{\rm{f}}_{{\rm{ck}}}} \times 0.48 \times {\rm{d}} \times \left( {{\rm{d}} - 0.48 \times {\rm{d}}} \right){\rm{\;}}\)

    \({M_{Ulim}} = 0.138{f_{ck}} \times b \times {d^2}\) kN-m   

    \({M_{Ulim}} = 0.138 \times 20 \times 300 \times {400^2}\)   

    \(= 132.48\) kN-m

    MU > MUlim

    ∴ Doubly reinforced beam is used.

  • Question 7
    2 / -0.33

    In a reinforced concrete section, the stress at the extreme fibre in compression is 12 MPa. The depth of neutral axis in the section is 60 mm and grade of concrete is M20.

    Assume linear elastic behavior of the concrete.

    Solution

    Concept

    Bending Equation is given by

    \(\frac{M}{I} = \frac{E}{R} = \frac{\sigma }{y}\)

    Where, M is moment, σ is flexural stress

    I is moment of inertia, y is distance from neutral axis to extreme fibre.

    1/R is curvature.

    R is radius of curvature

    Modulus of Rigidity is given by E = 5000 × √fck

    Where fck is characteristic strength of concrete.

    Calculation

    Given,

    y = 60 mm, σ = 120 MPa,

    Grade of concrete = M20 i.e. fck = 20 N/mm2

    Modulus of Elasticity of concrete E = 5000× √fck

    E = 5000 × √20

    = 22,360.68 N/mm2

    From the bending equation

    \(\frac{M}{I} = \frac{E}{R} = \frac{\sigma }{y}\) 

    Where, 1/R is curvature.

    R is radius of curvature

    σ is flexural stress

    \(\frac{1}{R} = \frac{\sigma }{{E \times y}} = \frac{{12}}{{22,360.68 \times 60}} = 8.94 \times {10^{ - 5}}\;m{m^{ - 1}}\)

    Effective Curvature or Curvature = 8.94 × 10-5 per mm

    Radius of Curvature = \(R = \frac{{E \times y}}{\sigma }\)

    = 105/8.94 = 11,160.71 mm

    = 11.16 m

  • Question 8
    2 / -0.33

    If ϕ = nominal diameter of reinforcing bar, fs = compressive stress in the bar and fbd = design bond stress of concrete,

    Which of the following statements are true for development length (Ld)
    Solution

    Concept

    As per IS 456: 2000, Clause 26.2.1.1,

    In limit state method of design, the design bond strength for plain bars in tension are given below in the table:

    Grade of Concrete

    M20

    M25

    M30

    M35

    M40 and above

    Design Bond Stress

    fbd N/mm2

    1.2

    1.4

    1.5

    1.7

    1.9

     

    For deformed bars (e.g. HYSD bars) conforming to IS 1786, these values shall be increased by 60 per cent.

    For bars in compression, these values of bond stress for bars in tension shall be increased by 25 per cent. 

    Development Length

    As per IS 456: 2000, clause 26.2.1,

    The development length is given by: 

    \({L_d} = \frac{{\phi \times {f_s}}}{{4 \times {f_{bd}}}}\)

    Where

    ϕ = nominal diameter of the bar

    fs = stress in the bar at the section considered at design load

    τbd = design bond stress

    Calculations:

    The development length is given by: 

    \({L_d} = \frac{{\phi \times {f_s}}}{{4 \times {f_{bd}}}}\)

    a) For deformed bars

    fbd (new) = 1.60 × fbd 

    Therefore,

    \({L_d} = \frac{{\phi \times {f_s}}}{{4 \times 1.6 \times {f_{bd}}}}\)

    \({L_d} = \frac{{\phi \times {f_s}}}{{6.4 \times {f_{bd}}}}\)

    b) For compression bars

    fbd (new) = 1.25 × fbd 

    Therefore

    \({L_d} = \frac{{\phi \times {f_s}}}{{4 \times 1.25 \times {f_{bd}}}}\)

    \({L_d} = \frac{{\phi \times {f_s}}}{{5 \times {f_{bd}}}}\)

  • Question 9
    2 / -0.33

    For bars in tension, a standard hook has an anchorage value equivalent to a straight length of

    Solution

    A standard hook has an anchorage value equivalent to a straight length of 16ϕ.

    The anchorage value of standard U-type hook shall be 16 times the diameter of the bar. 

    The anchorage value of standard bend shall be considered as 4 times the diameter of the bar for each 45o bend subject to a maximum value of 16 times the diameter of the bar.

  • Question 10
    2 / -0.33

    In the design of a reinforced concrete beam the requirement for bond is not getting satisfied. The economical option to satisfy the requirement for bond is by

    Solution

    Concept:

    Flexural Bond develops due to variation in BM along the reinforcement. (or) Presence of shear force produces flexure bond.

    We know Bond stress (τ bd) is given by

    \({\tau _{bd}} = \frac{V}{{\left( {n \times \pi \times \phi } \right) \times L.A}}\)

    Where, n is number of bars

     Shear force (V ) = dM/dx

     ϕ is diameter of the bar

     L.A is lever arm

     τbd should be less than permissible value,

     Following are the permissible design bond strength

    Grade of concrete

    M20

    M25

    M30

    M35

    τbd (N/mm2)

    1.2

    1.4

    1.5

    1.7

    As, τ ∝ 1/n

    τ ∝ 1/ϕ

    If it is greater than (τbd) permissible then best economical solution is to reduce the diameter of bar and increase in number.

    In case of bond failure most economical way to make structure safe in bond is by providing more number of bars of smaller diameter instead of less number of bars of larger diameter, for the same amount of steel (As, Surface area increases τ decreases which makes the structure safe.)

  • Question 11
    2 / -0.33

    Reduction coefficient taken for calculating axial load carrying capacity of long column as per working stress method, for the given column dimension is______

    (Column dimension = 300 × 400 mm of Leffective = 4500 mm)
    Solution

    Concept:

    For axial load carrying capacity of column according to working stress method:

    \({{\rm{P}}_{{\rm{long}}}} = {{\rm{C}}_{\rm{r}}} \times {{\rm{P}}_{{\rm{short}}}}\)

    Cr = Reduction coefficient

    \({{\rm{C}}_{\rm{r}}} = 1.25 - \frac{{{{\rm{L}}_{{\rm{effective}}}}}}{{48 \times {\rm{b}}}}\)

    Calculation:

    \({{\rm{C}}_{\rm{r}}} = 1.25 - \frac{{{{\rm{L}}_{{\rm{effective}}}}}}{{48 \times {\rm{b}}}} = 1.25 - \frac{{4500}}{{48 \times 300}} = 0.9375\)

  • Question 12
    2 / -0.33

    A floor slab of thickness t is cast monolithically transverse to a rectangular continuous beam of span L and width B. If the distance between two consecutive points of contra flexure is, L0, the effective width of compression flange at continuous support is

    Solution

    For T-beams effective width of compression flange

  • Question 13
    2 / -0.33

    Clear distance between lateral restrains for continuous reinforced concrete beam of size 250 × 500 mm (effective depth) according to IS 456:2000 shall be limited to:

    Solution

    For simply supported and continuous beam: 

    clear distance between lateral restrains shall not be greater than:

  • Question 14
    2 / -0.33

    A rectangular simply supported beam has factored shear force at the centre of the support is 200 KN. The beam has 2 bars of 16 mm dia Fe 415 steel at the centre of the support, on tension zone. M20 grade concrete with τbd = 1.2 MPa is used in the beam. Moment of resistance of the beam at support is 60 KN - m. What is the minimum extension of the main steel bars (in mm) with 90° bend to satisfy anchorage bond? 

    Solution

    Concept:

    For simply supported beam,

    \({\left( {{L_d}} \right)_{actual}} \le \frac{{1.3M}}{V} + {L_o}\)

    Where, (Ld)actual = Ld - Anchorage value

     Lo = minimum length of extension

    L\(\frac{{\phi {{\rm{\sigma }}_{st}}}}{{4\;{\tau _{bd}}}}\)

    Calculation:

    Now,

    \(\frac{{\phi {{\rm{\sigma }}_{st}}}}{{4\;{\tau _{bd}}}} - AV\; = \;\frac{{1.3M}}{V} + {L_o}\)

    \(\Rightarrow \;\frac{{16\; \times \;0.87\; \times \;415}}{{4\; \times \;1.6\; \times \;1.2}} - 8\; \times \;16\; = \;\frac{{1.3\; \times \;60\; \times \;{{10}^6}}}{{200\; \times \;{{10}^3}}} + {L_o}\)

    ⇒ Lo = 234.18 mm

  • Question 15
    2 / -0.33

    It is proposed to reduce 20 mm diameter bar to 16 mm diameter in an axially loaded column. Grade of steel used is Fe500. Which one of the following lap length should be used if the design bond stress for M25 grade concrete is 1.4 MPa.

    Solution

    In compression zone,

    Lap Length = Maximum of development length or 24 ϕ (where ϕ is the dia of smaller dia bar)

  • Question 16
    2 / -0.33
    A short column having cross section 460 × 600 mm (overall depth). It is given that the column is meeting the general requirements of the relevant code for the minimum eccentricity (emin) as per IS 456 : 2000. If 10 bars of 20 mm diameter is provided as main bar in the column. Calculate the ultimate load carrying capacity of the column (in kN) as per IS 456 : 2000. Use M - 25 concrete and Fe - 415 steel?
    Solution

    Concept

    As it is given that, the column is meeting the general requirements of minimum eccentricity

     So there is no need to check for minimum eccentricity.

     Ultimate load carrying capacity of column (PU) by Limit state method is given by

     Pu = 0.40 fck Ac + 0.67 fy Asc

    Where, Ac is Area of concrete = Gross area - Area of steel

    Asc is area of compression steel

    Calculation

    Given,

     number of bars (n) = 10 , dia = 20 mm

     M25 Grade of concrete, Fe415 Grade of steel

     b = 460 mm , D = 600 mm

    \({A_{sc}} = 10 \times \frac{\pi }{4} \times {20^2} = 3141.60\;m{m^2}\)

    Pu = 0.40 fck Ac + 0.67 fy Asc

    Pu = 0.40 × 25 [Ag - Asc] + 0.67 × 415 × Asc

    Ag = 460 × 600 = 276000 mm2

    Pu = 0.40 × 25 [276000 - 3141.60] + 0.67 × 415 × 3141.60

    pu = 3602.10 kN

    ∴ Ultimate load carrying capacity of column (PU) = 3602.10 kN 

  • Question 17
    2 / -0.33

    At the limit state of collapse, an RC beam is subjected to flexural moment of 200 kN-m, Shear force 20 kN, and torque 9 kN-m. The beam is 300 mm wide and gross depth of 425 mm, with an effective cover of 25 mm. The equivalent nominal shear stress (τ ve) as calculated by using design code turns out to be lesser than the design shear strength (τ c) of the concrete.

    Solution

    Concept

    Equivalent Shear force is given by

    \({V_{eq}} = {V_U} + 1.6 \times \frac{{{T_U}}}{B}\)

    Where, T is torque

    B is width of the section

    V is shear force

    Equivalent Moment is given by

    \({M_{eq}} = \frac{{{T_U}}}{{1.7}} \times \left( {1 + \frac{D}{b}} \right)\)

    Note: If ve) < (τ c) then section is designed as follows

    Longitudinal Reinforcement is designed for MU only

    Shear Reinforcements designed for Nominal shear is provided

    \(\frac{{{A_{sv}}}}{{b{S_v}}} > \frac{{0.4}}{{0.87\;{f_y}}}\)

    Calculation

    Given,

    VU = 20 kN, TU = 9 kN-m,

    B = 300 mm, D = 450 mm

    MU = 200 kN-m

    Equivalent nominal shear stress (τ ve) lesser than the design shear strength (τ c) of the concrete

    ve) < (τ c) < (τ c, max)

    i) Equivalent shear force

    \({V_{eq}} = V + 1.6 \times \frac{T}{B}\)

    \({V_{eq}} = 20 + \frac{{1.6 \times 9}}{{300 \times {{10}^{ - 3}}}}\) = 68 kN

    ii) Equivalent flexural moment

    As τ eq < τc section will be designed for MU only.

    ∴ Equivalent moment = subjected flexural moment = 200 Kn-m

  • Question 18
    2 / -0.33

    For a two way simply supported RC slab of size 3 m × 9 m effective span. The maximum spacing of distribution bars satisfying codal provisions as per IS 456 : 2000 is?

    M-20 concrete and Fe-415 steel grade is used in the slab

    Solution

    Maximum spacing of distribution bars in slab is = 5d or 450 mm (whichever is lesser)

    d → effective depth of slab

    A – value for simply supported slab for HYSD bars = 0.8 × 35 = 28

    Use shorter span for calculation

    3000/28 = deff

    deff  = 107.14 mm

    Maximum spacing:

    I. 5 × 107.14 = 535.7

    II. 450 mm

    Use lesser of above two

    so, maximum spacing = 450 mm

  • Question 19
    2 / -0.33

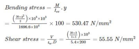
    A cantilever steel beam of 3 m span carries a uniformly distributed load of 20 kN/m inclusive of self-weight. The beam comprises ISLB200@198 N/m, flange 100 mm × 7.3 mm, web thickness 5.4 mm, Ixx = 1696.6 cm4, lyy = 115.4 cm4. Bending and shear stresses in the beam are respectively.

    Solution

  • Question 20
    2 / -0.33

    For a RC column fixed at both ends having length of 15 m and cross-section 400 mm × 550 mm. If 4 – 25ɸ bars are used in the column. The load carrying capacity of the column is _____ kN

    Take σcc = 5 mpa and σsc = 195 mpa

    Solution

    Concept

    Effective length (leff) for both end fixed = 0.65 × L

    Slenderness ratio (λ ) > 12 then the column is long given by 

     \({\rm{λ }} = \frac{{{l_{eff}}}}{{least\;lateral\;Dimension}}\)

    In working stress method

    Load carrying capacity of long column( P ) = Cr (σcc Ac + σsc ASC)

    Where,

    Cr is Reduction factor given by 

     \({C_r} = 1.25 - \frac{{{l_{eff}}}}{{48\;B}}\) 'B' is the Least lateral dimension

    Ac is area of concrete

    σ cs is stress in compression steel, σ cc is stress in concrete

    Ag is gross area, Asc is area of compression steel

    Calculation

    Given,

    L = 15 m, B = 400 mm = 0.4 m

    check for slenderness ratio λ

    \({\rm{λ }} = \frac{{{l_{eff}}}}{{least\;lateral\;Dimension}}\)

     leff  = 0.65 × L = 0.65 × 15 , leff  = 9.75 m

    least lateral dimension = 0.4 m

    \(λ = \frac{{9.75}}{{0.4}} = 24.375 > 12\)

    So, it is a long column

    P = Crcc Ac + σsc ASC)

    \({A_{sc}} = 4 × \frac{\pi }{4} × {(25)^2} = 1963.50\;m{m^2}\)

    Ac = (400 × 550) – 1963.50, Ac = 218036.5 mm2

    \({C_r} = 1.25 - \frac{{{l_{eff}}}}{{48\;B}}\)

    \({C_r} = 1.25 - \frac{{9.75}}{{48 × 0.4}}\)

    Cr  = 0.742

    P = 0.742 [5 × 218036.5 + 195 × 1963.50]

    P = 1093014.23 N

     ∴ P = 1093.01 kN

  • Question 21
    2 / -0.33
    The positive bending moment coefficient at the middle of the end-span of a continuous one way slab is
    Solution

    Concept

     wL= Live load

    wd = Dead load

    As per Table 12 of IS-456:2000, the bending moment coefficients for dead and live load are given below:

    Location

    BM Coefficients for dead load

    BM Coefficients for Live load

    Bending moment

    Middle of end span

    1/12

    1/10

    \(\left( {\frac{{{w_l}}}{{10}} + \frac{{{w_d}}}{{12}}} \right){L^2}\)

    Interior support of end span

    -1/10

    -1/9

    \(-\left( {\frac{{{w_l}}}{9} + \frac{{{w_d}}}{{10}}} \right){L^2}\)

    Middle of intermediate span

    1/16

    1/12

    \(\left( {\frac{{{w_l}}}{{12}} + \frac{{{w_d}}}{{16}}} \right){L^2}\)

    Interior support of intermediate span

    -1/12

    -1/9

    \(-\left( {\frac{{{w_l}}}{9} + \frac{{{w_d}}}{{12}}} \right){L^2}\)

     

    ∴ Option 1 is correct

  • Question 22
    2 / -0.33

    A prestressed beam of size 250 × 400 mm deep is prestressed by 14 tendons of 6 mm diameter. The cable is located at 150 mm from bottom of the beam. If the initial prestress in the beam is 1250 N/mm2. The loss of prestress due to elastic deformation and creep of concrete respectively will be?

    Assume:

    M-40 Grade concrete

    creep coefficient = 1.6

    Modulus of elasticity = 2 × 105 MPa.

    Neglect the effect due to dead load.
    Solution

    Concept

     i) Loss due to elastic shortening = mfc

     fc = compressive stress at the level of steel

     m = modular ration \(= \frac{{{E_s}}}{{{E_c}}}\)

     ii) Loss due to creep of concrete = mϕfc

     ϕ = creep coefficient

    Calculation

    Given,

    Es = 2 × 105 , Grade of concrete M40 

     Initial prestress = 1250 N/mm

    Number of bars = 14, dia of bar = 6 mm.

     Prestressing force (P) = \(14 × \frac{\pi }{4} × {\left( 6 \right)^2} × 1250 = 494.80\;kN.\) 

     Loss due to elastic shortening = mfc

     fc = compressive stress at the level of steel

     m = modular ration \(= \frac{{{E_s}}}{{{E_c}}}\)

    \(m = \frac{{2 × {{10}^5}}}{{5000\sqrt {{F_{ck}}} }} = \frac{{2 × {{10}^5}}}{{5000\sqrt {40} }} = 6.32\)

    \({f_c} = \frac{P}{A} + \frac{{Pe}}{I}.y\)

     e is eccentricity

    At the location of steel tendon, y = e

    \({f_c} = \frac{{494.80 × {{10}^3}}}{{250 × 400}} + \frac{{494.80 × {{10}^3} × {{\left( {50} \right)}^2} × 12}}{{250 × {{\left( {400} \right)}^3}}}\)

    fc = 4.948 + 0.9277

    fc = 5.876 MPa

     i) loss due to elastic shortening = 6.32 × 5.876

    = 37.13 MPa.

    Loss due to creep of concrete = mϕfc

    ϕ = creep coefficient = 1.6

     ii) loss due to creep of concrete = 6.32 × 1.6 × 5.876

    = 59.42 MPa.
  • Question 23
    2 / -0.33
    Consider a bar of Diameter ‘D’ of length (L) embedded in a large concrete block. If a pull out force P being applied. Let σb and σst be the bond strength (between the bar and concrete) and the tensile strength of the bar respectively. If the block is held in position and material of the block does not fall, which of the following options represents the maximum value of P?
    Solution

    Concept

    We know,

    In an Anchorage bond

    Maximum force resisted by bond strength = (π × D × L× σ b)

    Maximum tensile force resisted by bar = \(\left( {\frac{\pi }{4} \times {D^2} \times {\sigma _{st}}} \right)\)

    Where,

     L is development length

    D is dia of bar,

    σb is bond strength (between the bar and concrete)

    σst is the tensile strength of the bar

    P is pull out Force.

    Maximum Pull should be minimum of both resistance for the safety of the bar. So it should not fail in any of the above case.

    ∴ Maximum value of P = Minimum ( (π × D × L× σ b) or \(\left( {\frac{\pi }{4} \times {D^2} \times {\sigma _{st}}} \right)\) )

  • Question 24
    2 / -0.33
    For a reinforced concrete beam with M 20 concrete with Fe 415 steel, the working moment corresponding to ‘balanced failure’ by the Limit Sate Method of Design is A times of the relatable magnitude of the working moment computed by the Working Stress Method. This value of A is nearly 
    Solution

    Concept:

    The moment of resistance for balanced section is given as

    M = Q Bd2

    Where

    B is the width of member and d is the effective depth

    Q is design coefficient and it depends on the method of design.

    As per Limit State Method of Design:

     Q = 0.148fck­ for Fe 250

     Q = 0.138fck­ for Fe 415

     Q = 0.133fck­ for Fe 500

    Where fck is the characteristic compressive strength.

    As per Working Stress Method of Design:

    Q = 0.174 σcbc for Fe 250

    Q = 0.131 σcbc for Fe 415

    Q = 0.116 σcbc for Fe 500

    Where σcbc­ is the permissible bending strength for concrete.

    Calculation:

    For M20: σcbc = 7 MPa and fck = 20 MPa

    Working moment by LSM = \(\frac{{0.138\;{f_{ck}}\;b\;{d^2}}}{{1.5}}\) = 1.84 bd2

    Working moment by WSM = 0.131 σcbc b d2 = 0.131 × 7 bd2 = 0.917 bd2

    ∴ \(\frac{{M\left( {LSM} \right)}}{{M\left( {WSM} \right)}} = A = \frac{{1.84}}{{0.917}} = 2\)

    A = 2 

  • Question 25
    2 / -0.33

    At limit state of collapse, an RC beam is subjected to flexural moment 200 kN.m, shear force 20 kN and torque 15 kN.m. The beam is 400 mm wide and 500 mm effective depth with 50 mm cover. The equivalent shear force and equivalent moment is :

    Solution

Self Studies
User
Question Analysis
  • Correct -

  • Wrong -

  • Skipped -

My Perfomance
  • Score

    -

    out of -
  • Rank

    -

    out of -
Re-Attempt Weekly Quiz Competition
Self Studies Get latest Exam Updates
& Study Material Alerts!
No, Thanks
Self Studies
Click on Allow to receive notifications
Allow Notification
Self Studies
Self Studies Self Studies
To enable notifications follow this 2 steps:
  • First Click on Secure Icon Self Studies
  • Second click on the toggle icon
Allow Notification
Get latest Exam Updates & FREE Study Material Alerts!
Self Studies ×
Open Now