Self Studies

Fluid Mechanics Test 1

Result Self Studies

Fluid Mechanics Test 1
  • Score

    -

    out of -
  • Rank

    -

    out of -
TIME Taken - -
Self Studies
Weekly Quiz Competition
  • Question 1
    2 / -0.33
    Oil in a hydraulic cylinder is compressed from an initial volume of 2 m3 to 1.96 m3. If the pressure of oil in the cylinder changes from 40 MPa to 80 MPa during compression, the bulk modulus of elasticity of oil is
    Solution

    Bulk modulus is defined as the ratio of compressive stress to Volumetric strain. It is a measure of the compressibility of a liquid.

    \(k = - \frac{{dP}}{{\left( {\frac{{dV}}{V}} \right)}}\)

    \(k = - \frac{{80 - 40}}{{\left( {\frac{{1.96 - 2}}{2}} \right)}} = 2000\;MPa\)
  • Question 2
    2 / -0.33

    For a steady two-dimensional flow, the scalar components of the velocity field are Vx = -2x, vy = 2y, vz = 0.The corresponding components of acceleration ax and ay, respectively are;

    Solution

    \({a_x} = u\frac{{du}}{{dx}} + v\frac{{du}}{{dy}} + w\frac{{du}}{{dz}} + \frac{{du}}{{dt}}\)

    = (-2x) × (2) = 4x

    \({a_y} = u\frac{{dv}}{{dx}} + v\frac{{dv}}{{dy}} + w\frac{{dv}}{{dz}} + \frac{{dv}}{{dt}}\)

    = 0 + 2y × 2 + 0 + 0 = 4y

  • Question 3
    2 / -0.33

    If the dynamic viscosity of a fluid is 0.5 poise and specific gravity is 0.5, then kinematic viscosity of that fluid in stokes is

    Solution

  • Question 4
    2 / -0.33

    In a sample of water an increase of pressure by 18 MN/m2 caused 1% reduction in volume. The bulk modulus of elasticity of this sample, in MN/m2 is

    Solution

    Bulk modulus of elasticity

    k = Δp/(Δv/v) = 18/1/100

    = 1800 MN/m2

  • Question 5
    2 / -0.33

    The rise of liquid of specific weig ht ‘γ’ and surface tension ‘σ’ in a capillary tube of radius ‘r’ is given by

    Solution

    Height of capillary rise is given by,

  • Question 6
    2 / -0.33

    Which of the following conditions is true regarding the validity of Pascal’s Law?

    I- It is valid for ideal fluid in motion.

    II- It is valid when real fluids with rigid body motion.

    Solution

    Concept:

    Pascal Law states that at any point in a fluid the intensity of pressure is equal in all the directions if and only if shear stresses acting on the  fluid is zero.

    Newton’s law of viscosity:

    \(\tau = \frac{{\mu du}}{{dy}}\)   

    Where

    τ is the shear stress on plate

    du/dy is velocity gradient

    μ is dynamic viscosity of fluid.

    Explanation:

    Statement- I -­ It is valid for ideal fluid in motion.

     Since fluid is in motion, u ≠ 0 but

     For ideal fluid, μ = 0 ⇒ τ = 0

    Therefore, Pascal’s law is valid for ideal fluids even in state of motion.

    Statement II- It is valid when real fluids with rigid body motion.

    Rigid body motion means every layer of fluid has uniform velocity.

    For real fluid in motion mean that μ ≠ 0 and u ≠ 0

    But, du = 0 τ = 0

    For Real fluids Pascal’s law is also valid with rigid body motion.

  • Question 7
    2 / -0.33

    Work done in blowing a soap bubble of diameter 12 cm will be. Assume the surface tension of soap solution = 0.04 N/m.

    Solution

    The soap bubble has two interfaces
    ∴ Work done
    = 0.04 x 4π x (6 x 10-2)2 x 2
    = 36.2 x 10-4 Nm

  • Question 8
    2 / -0.33

    The intensity of pressure developed by surface tension of 0.075 N/m in a droplet of water of 0.075 mm diameter is

    Solution

    Pressure inside the liquid droplet is given by
     Δp = 4σ/d  

    σ is the surface tension = 0.075 N/m = (0.075/100) N/cm
    d is the diameter = 0.075 mm= (0.075/10) cm

    Therefore, pressure = [4 x (0.075/100)] / [0.075/10]
    = 0.4 N/cm2

  • Question 9
    2 / -0.33

    Two fluids 1 and 2 have mass densities of p1 and p2 respectively. If p1 > p2, which one of the following expressions will represent the relation between their specific volumes v1 and v2?

    Solution

    Specific volume(v) is defined as the volume(V ) per unit mass(m).

    v = v⁄m = 1 / m⁄v = 1⁄p

    where p is the mass density. Thus, if p1 > p2, the relation between the specific volumes v1 and v2

    will be represented by v1 < v2.

  • Question 10
    2 / -0.33
    The velocity in a wind tunnel is being measured using a Pitot-static tube connected to a vertical U-tube manometer. The density of air is 1.2 kg/m3 and the deflection of the manometer is 24 mm. The manometer fluid is water. The velocity measured by the Pitot-static tube is
    Solution

    Concept:

    \(V = \sqrt {2g{h_a}} \)

    Calculation:

    Given:

    ρa = 1.2 kg/m3, deflection of the manometer = 24 mm

    Now,

    ρaha = ρwhw

    1.2 × ha = 1000 × 24 × 10-3

    ha = 20

    \(= \sqrt {2 \times 10 \times 20} \)

    ∴ V = 20 m/s
  • Question 11
    2 / -0.33
    A centrifugal pump lifts water through a height h and delivers it at a velocity vd. The loss of head through piping is hf. The gross lift is
    Solution

    Manometric head/ gross lift is defined as the head against which a centrifugal pump has to work.

    It can be expressed as:

    Hm = Suction Head (hs) + Delivery Head (hd) + Friction head loss in the suction pipe (hfs) + Friction head loss in the Delivery pipe (hfd) + Velocity head of water in delivery pipe (V2/2g)

    Here Gross lift = \(h + {h_f} + \frac{{v_d^2}}{{2g}}\)

  • Question 12
    2 / -0.33

    Select the correct option for the velocity profile

    \(\frac{u}{V} = \frac{5}{2}\left( {\frac{y}{\delta }} \right) - \frac{1}{2}{\left( {\frac{y}{\delta }} \right)^2} + \frac{2}{3}{\left( {\frac{y}{\delta }} \right)^3}\)

    Solution

    The separation point S is determined from the condition

    \(\rm{{\left( {\frac{{{\partial u}}}{{{\partial y}}}} \right)_{y = o}} = 0}\)

    So, If

    \(\rm{{\left( {\frac{{{\partial u}}}{{{\partial y}}}} \right)_{y = 0}} < 0 \Rightarrow flow\;has\;separated}\) 

    \(\rm{\begin{array}{l} {\left( {\frac{{{\partial u}}}{{{\partial y}}}} \right)_{y = 0}} \Rightarrow \rm{The\;flow\;is\;on\;verge\;of\;separation}\\ {\left( {\frac{{{\partial u}}}{{{\partial y}}}} \right)_{y = 0}} > 0 \Rightarrow \rm{Flow\;will\;not\;separate }\end{array}}\)

    So, \(\frac{u}{v} = \frac{5}{2}\left( {\frac{y}{\delta }} \right) - \frac{1}{2}{\left( {\frac{y}{\delta }} \right)^2} + \frac{2}{3}{\left( {\frac{y}{\delta }} \right)^3}\)

    \(\rm{\begin{array}{l} \frac{{\partial u}}{{\partial y}} = \frac{{5v}}{{2\delta }} - \frac{{yv}}{{{\delta ^2}}} + \frac{{2{y^2}}}{{{\delta ^3}}}\\ {\left( {\frac{{{\partial _u}}}{{{\partial _y}}}} \right)_{y = 0}} = \frac{5}{{2\delta }}v > 0 \end{array}}\)

    ⇒ The flow will not separate.

  • Question 13
    2 / -0.33
    The velocity field for a 2 D, steady and incompressible flow is represented as V = (5x) i – (5y) j. What would be the equation of stream line passing through point (1, 1).
    Solution

    Concept:

    A Stream line is an imaginary curve drawn through a flowing fluid in such a way that tangent to it any point gives the direction of instantaneous velocity at that point.  The equation of stream line for 2 D flow is given as:

    \(\frac{{{\rm{dx}}}}{{\rm{u}}} = \frac{{{\rm{dy}}}}{{\rm{v}}}\) 

    Where, u and v are the x and y components of the velocity.

    Calculation:

    Given:

    V = (5x) î - (5y) ĵ

    u = 5x and v = -5y

    The equation of streamline is given as

    \(\frac{{dx}}{{5x}} = \frac{{dy}}{{ - 5y}} \Rightarrow \smallint \frac{{dy}}{y} = - \smallint \frac{{dx}}{x}\)

    ⇒ In y = -In x + C

    ⇒ In (xy) = C’ ⇒ xy = λ                                   [C, C’, λ are constants]

    If the stream line pases through point (1,1)  i.e. x = 1 and y = 1 ⇒ λ = 1

    ∴ The equation of sream line is xy = 1

  • Question 14
    2 / -0.33

    Surface tension of water

    Solution

    In general, surface tension decreases when temperature increases because cohesive forces decrease with an increase of molecular thermal activity. The influence of the surrounding environment is due to the adhesive action of liquid molecules that they have at the interface.

  • Question 15
    2 / -0.33
    Oil (kinematic viscosity, νoil = 1.0 × 10-5 m2/s) flows through a pipe of 0.5 m diameter with a velocity of 10 m/s. Water (kinematic viscosity, vw = 0.89 × 10-6 m2/s) is flowing through a model pipe of diameter 20 mm. For satisfying the dynamic similarity, the velocity of water (in m/s) is _______.
    Solution

    Concept:

    For pipe flow, the dynamic similarity will be obtained if the Reynolds number in the model and prototype are equal.

    (Re)Model = (Re)Prototype

    \(\frac{{{\rho _m}{V_m}{D_m}}}{{{\mu _m}}} = \frac{{{\rho _p}{V_p}{D_p}}}{{{\mu _p}}}\)

    \(\frac{{{V_m}{D_m}}}{{{\nu _m}}} = \frac{{{V_p}{D_p}}}{{{\nu _p}}}\)

    Calculation:

    Given: νoil = 1.0 × 10-5 m2/s, vw = 0.89 × 10-6 m2/s, Doil = 0.5 m, Dw = 20 mm = 0.02 m, Voil = 10 m/s, Vw = ?

    \({\left( {\frac{{VD}}{v}} \right)_P} = {\left( {\frac{{VD}}{v}} \right)_m}\)

    \(\frac{{10 \times 0.5}}{{1.0 \times {{10}^{ - 5}}}} = \frac{{{V_w} \times 0.02}}{{0.89 \times {{10}^{ - 6}}}}\)

    VWater = 22.25 m/s
  • Question 16
    2 / -0.33
    The x and y - components of the velocity field for a two dimensional fluid flow is given by u = 3y – y2 and v = 3x - x2. What would be the rate of shear deformation and angular velocity of fluid flow in z direction respectively at point (2, 3)?
    Solution

    Concept

    If the velocity field represents the flow, it must satisfy the continuity equation, given as:

    \(\frac{{\partial u}}{{\partial x}} + \;\frac{{\partial v}}{{\partial y}} = 0\)

    Where u and v are the x and y components of the velocity.

    If it satisfies, the rate of shear deformation is given as:

    \(\theta = \frac{1}{2}\left( {\;\frac{{\partial v}}{{\partial x}} + \;\frac{{\partial u}}{{\partial y}}} \right)\)

    And the angular velocity in z-direction is given as,

    \(\omega = \frac{1}{2}\left( {\;\frac{{\partial v}}{{\partial x}} - \;\frac{{\partial u}}{{\partial y}}} \right)\)

    Calculation:

    u = 3y – y2 and v = 3x – x2

    \(\frac{{\partial u}}{{\partial x}} = 0\;\;and\;\frac{{\partial v}}{{\partial y}} = 0\)

    \( \Rightarrow \frac{{\partial u}}{{\partial x}} + \frac{{\partial v}}{{\partial y}} = 0 + 0 = 0\)

    i.e. equation of continuity is satisfied, so, it represents a flow field.

    Now,

    \(\frac{{\partial v}}{{\partial x}} = 3 - 2x\;\;and\;\frac{{\partial u}}{{\partial y}} = 3 - 2y\)

    \(\theta = \frac{1}{2}\left( {3 - 2x + 3 - 2y} \right) = \frac{1}{2}\left[ {6 - 2\left( {x + y} \right)} \right]\)

    \(\theta \left( {x,\;y} \right) = \frac{1}{2}\left( {6 - 2\left( {x + y} \right)} \right)\)

    θ (2, 3) \(= \frac{1}{2}\left[ {6 - 2\left( {2 + 3} \right)} \right]\)

    θ(2, 3) = -2 units

    Again,

    \(\omega = \frac{1}{2}\left( {\left( {3 - 2x} \right) - \left( {3 - 2y} \right)} \right)\)

    ⇒ \(\omega = \frac{1}{2}\left( {2y - 2x} \right) = y - x\)

    ∴  ω(2, 3) = 3 – 2 = 1 units

    θ = -2 units and ω = 1 units.  

  • Question 17
    2 / -0.33

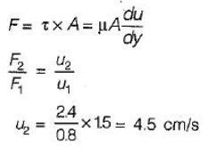
    A Newtorian fluid fills the clearance between a shaft and a sleeve, when a force of 0.8 kN is applied to the shaft, parallel to the sleeve, the shaft attains a speed of 1.5 cm/s. If a force of 2.4 kN is applied instead the shaft would move with a speed of

    Solution

  • Question 18
    2 / -0.33

    Directions For Questions

    Consider the following statements:

    1. Surface tension is due to cohesion only.

    2. Capillarity is due to adhesion only.

    3. Surface tension is due to both cohesion and adhesion.

    4. Capillary is due to both cohesion and adhesion.

    ...view full instructions

    Which of these statements are correct?

    Solution

    Surface tension

    • It is the property of a liquid by virtue of which it tries to minimize its free surface area.
    • It happens due to the cohesive force between liquid molecules. 

    Capillary action is caused by the combination of cohesive forces of the liquid and the adhesive forces between the liquid and tube material. Cohesion and adhesion are two types of intermolecular forces.

  • Question 19
    2 / -0.33

    A smooth flat plate of length 5 m and width 2 m is moving with a velocity of 4 m/s in stationary air of density 1.25 kg/m3 and kinematic viscosity 1.5 × 10-5 m2/s. The total drag force (N) on one side of the plate assuming that the boundary layer is turbulent from the very beginning is _________.

    (Correct up to 2 decimals)

    Assume for turbulent flow over a flat plate, local drag coefficient is:

    \({{C}_{{{D}{,}}x}}=\frac{0.059}{Re_{x}^{1/5}}\)
    Solution

    Given data; L = 5 m, B = 2 m, V = 4 m/s, ρ = 1.25 kg/m3

    ν = 1.5 × 10-5 m2/s

    \(R{{e}_{L}}=\frac{\rho VL}{\mu }=\frac{VL}{\nu }=\frac{\left( 4 \right)\left( 5 \right)}{1.5\times {{10}^{-5}}}=13.33\times {{10}^{5}}\)

    ReL = 13.33 × 105 > 5 × 105

    ⇒ Flow is turbulent.

    Average drag coefficient (CD\(=\frac{1}{L}\mathop{\int }_{0}^{L}{{C}_{D,x}}dx\)

    \(\Rightarrow {{C}_{D}}=\frac{1}{L}\mathop{\int }_{0}^{L}\frac{0.059}{Re_{x}^{1/5}}dx=\frac{0.07375}{Re_{L}^{1/5}}\)

    \({{C}_{D}}=\frac{0.07375}{{{\left( 13.33\times {{10}^{5}} \right)}^{1/5}}}=0.004393\)

    \({{C}_{D}}=\frac{{{F}_{D}}}{\frac{1}{2}\rho A{{V}^{2}}}\Rightarrow {{F}_{D}}=\left( 0.004393 \right).\frac{1}{2}.\left( 1.25 \right)\left( 10 \right)\left( 16 \right)\)

    FD = 0.4393 N ≈ 0.44 N
  • Question 20
    2 / -0.33

    If the relationship between the shear stress τ and the rate of shear strain du/dy is expressed as τ = k(du/dy)n then the fluid with a value of exponent n > 1 is known as

    Solution

  • Question 21
    2 / -0.33

    The dimensions of dynamic viscosity μ are

    Solution

    Shear Stress (N/m2) = Dynamic Viscosity x Velocity Gradient (1/s) Dimensions of Dynamic Viscocity = M L-1 T-1

    Velocity Gradient = Velocity(v)/ Distance(y) = m/s-m = 1/s and 1N = kg-m /s2

  • Question 22
    2 / -0.33

    The capillary depression in mercury is on account of

    Solution

    If for any liquid there, is less attraction for solid molecules or in other words the cohesion predominates, than the liquid will not wet the solid surface and the liquid surface will be depressed at the point of contact with the result the liquid surface is concave downward and the angle of contact ‘θ’ is greater than 90°.

  • Question 23
    2 / -0.33

    Spherical shape of droplets of mercury is due to

    Solution

    When a droplet is separated initially from the surface of the main body of liquid, then due to surface tension, there is net inward force exerted over the entire surface of the droplet which causes the surface of the droplet to contract from all sides and results in increasing the internal pressure within the droplet the contraction of the droplet continues till the inward force due to the surface tension is in balance with the internal pressure and the droplet forms into sphere which is the shape for minimum surface area.

  • Question 24
    2 / -0.33

    Mixing of milk with water is due to

    Solution

    Adhesion- Two different particles binded together-Mixing of milk with water

    Cohesion- Two same particles binded together-Mixing of water with water.

  • Question 25
    2 / -0.33

    Which one of the following expresses the height of rise or fall of a liquid in a capillary tube?

    Solution

    Let us suppose that the level of liquid has risen (or fallen) by 'h' above (or below) the general liquid surface when a tube of diameter 'd' is inserted in the liquid. For equilibrium of vertical forces acting on the mass of liquid lying above (or below) the general liquid level, the weight of liquid column ‘h’ (or the total internal pressure in the case of capillary depression) must be balanced by the force, at surface of the liquid, due to surface tension σ. Thus, equating these two forces we have

Self Studies
User
Question Analysis
  • Correct -

  • Wrong -

  • Skipped -

My Perfomance
  • Score

    -

    out of -
  • Rank

    -

    out of -
Re-Attempt Weekly Quiz Competition
Self Studies Get latest Exam Updates
& Study Material Alerts!
No, Thanks
Self Studies
Click on Allow to receive notifications
Allow Notification
Self Studies
Self Studies Self Studies
To enable notifications follow this 2 steps:
  • First Click on Secure Icon Self Studies
  • Second click on the toggle icon
Allow Notification
Get latest Exam Updates & FREE Study Material Alerts!
Self Studies ×
Open Now