Self Studies

Fluid Mechanics Test 2

Result Self Studies

Fluid Mechanics Test 2
  • Score

    -

    out of -
  • Rank

    -

    out of -
TIME Taken - -
Self Studies
Weekly Quiz Competition
  • Question 1
    2 / -0.33
    When a dolphin glides through air, it experiences an external pressure of 0.75 m of mercury. The absolute pressure on dolphin when it is 5 m below the free surface of the water is 
    Solution

    Concept:

    Pabs = Pgauge + Patm

    Calculation:

    Given:

    h = 5 m

    Patm = 0.75 m of mercury = ρHg × g × 0.75 = 13600 × 9.81 × 0.75 = 100062 Pa

    Pgauge = ρwater × g × h

    Pgauge = 1000 × 9.81 × 5 = 49050 Pa

    Pabs = Pgauge + Patm

    Pabs = 49050 + 100062

    Pabs = 149112 Pa = 149112 N/m2 = 0.149 N/mm20.15 N/mm2

     

  • Question 2
    2 / -0.33
    Calculate the capillary rise or fall in a glass tube of 2.5 mm diameter when immersed vertically in mercury. Take surface tension σ = 0.52 N/m for mercury in constant with glass and angle of contact = 130° 
    Solution

    Concept:

    Expression for capillary rise or fall

    \(h = \frac{{4\sigma \cos \theta }}{{\rho gd}}\)

    Calculation:

    Given: θ = 130°, σ = 0.52 N/m, d = 2.5 × 10-3m

    \(h = \frac{{4\; \times \;0.52\; \times\; \cos 130^\circ }}{{13600\; \times \;9.81\; \times \;2.5\; \times \;{{10}^{ - 3}}}}\)

    h = - 0.4 cm

    Note: - ve sign indicates capillary depression (or full)

  • Question 3
    2 / -0.33

    An ideal fluid is one which is

    Solution

    Ideal fluid are those which have no viscosity and surface tension and are incompressible.

  • Question 4
    2 / -0.33

    Velocity profile over a curved surface is given as : \(\frac{u}{U} = 2{\left( {\frac{y}{\delta }} \right)^2} - {\left( {\frac{y}{\delta }} \right)^3}\)

    The flow ______

    Solution

    Concept:

    \({\left( {\frac{{\partial u}}{{\partial y}}} \right)_{y = 0}} \Rightarrow + {\rm{ve\;}} \Rightarrow {\rm{\;stick\;to\;surface}}\)

    \({\left( {\frac{{\partial u}}{{\partial y}}} \right)_{y = 0}} \Rightarrow 0{\rm{\;}} \Rightarrow {\rm{\;on\;verge\;of\;separation}}\)

    \({\left( {\frac{{\partial u}}{{\partial u}}} \right)_{y = 0}} \Rightarrow - {\rm{ve\;}} \Rightarrow flow~is~seperated\)

    Calculation:

    \(\frac{u}{U} = 2{\left( {\frac{y}{\delta }} \right)^2} - {\left( {\frac{y}{\delta }} \right)^3}\)

    \(\frac{{\partial u}}{{\partial y}} = U\left[ {4\left( {\frac{4}{\delta }} \right) - 3{{\left( {\frac{y}{\delta }} \right)}^2}} \right]\)

    \({\left( {\frac{{\partial u}}{{\partial y}}} \right)_{y = 0}} = 0\)

    ∴ Flow is on the verge of separation.

  • Question 5
    2 / -0.33

    When the water in a channel is flowing at critical velocity,

    Solution

    The depth of flow at which the specific energy attains a minimum value is called the critical depth.

    The flow at critical depth is called critical flow and the velocity of flow known as the critical velocity.

    When the depth is less than the critical depth, the velocity of flow is greater than the critical velocity and hence the flow is said to be supercritical or rapid.

    On the contrary, if the depth of flow is greater than the critical depth, the velocity is less than the critical velocity and hence the flow is said to be subcritical or tranquil.

    ∴ The velocity for which the specific energy is minimum is known as critical velocity.

    Important point:

    As can be observed from the graph, specific energy is minimum for a given discharge at a critical state.

    As can be observed from the graph, at critical state discharge is maximum for a given specific energy.

    At critical state, specific force is minimum for a given discharge.

  • Question 6
    2 / -0.33
    The value of friction factor is misjudged by 25% in using Darcy-Weisbach equation. The resulting error in the discharge will be?
    Solution

    Concept:

    \({h_L} = \frac{{fL{Q^2}}}{{12{D^5}}}\)

    \(Q\; \propto {\rm{\;}}\frac{1}{{\sqrt f }}\;\;\; - - - \left( 1 \right)\)

    Calculation:

    Here f is misjudged by 25 %, it means f can be 1.25f or 0.75f

    Case: 1

    Let it be 1.25f

    \({Q_1} = \frac{k}{{\sqrt f }}\)

    \({Q_2} = \frac{k}{{\sqrt {1.25f} }}\)

    \(Error = \frac{{{Q_2} - {Q_1}}}{{{Q_1}}} \times 100 = - 11\;\% \)

    Case: 2

    Let it be 0.75f

    \({Q_1} = \frac{k}{{\sqrt f }}\)

    \({Q_2} = \frac{k}{{\sqrt {0.75f} }}\)

    \(Error = \frac{{{Q_2} - {Q_1}}}{{{Q_1}}} \times 100\)

    Error = 15.47%

  • Question 7
    2 / -0.33
    A centrifugal pump lifts 0.0125 m3 / s of water from a well with a static lift of 30 m. If the brake power of the driving electric motor is 5 kW, what is the overall efficiency of the pump-set?
    Solution

    Explanation:

    Pump is defined as a device which transfer the input mechanical energy of a motor or a of an engine into pressure energy or kinetic energy or both of a liquid.

    Centrifugal pump is type of dynamic pressure pump.it also known as velocity pump.

    \(Q = 0.0125\frac{{{m^3}}}{s}\)

    Shaft power or rating of motor (PS) = 5 kW

    \(density\;\left( \rho \right) = 1000\frac{{kg}}{{{m^3}}}\)

    Head (H) = 30 m

    \(\eta = \;\frac{{Power\;output\;}}{{shaft\;power}}\)

    \(\eta = \;\frac{{\rho \times g \times Q \times H}}{{{P_S}}}\)

    \(\eta = \;\frac{{1000 \times 9.81 \times 0.0125 \times 30}}{{5000}}\)

    η = 0.73575 ≈ 0.7360

    ∴ η = 73.60 %
  • Question 8
    2 / -0.33

    Kinematic viscosity of gases on increase of temperature

    Solution

    In case of gases the cohesion forces are small and molecular momentum transfer predominates. With the increase in temperature, molecular momentum transfer increases and hence viscosity increases.

  • Question 9
    2 / -0.33

    Which of the following conditions is true regarding the validity of Pascal’s Law?

    I- It is valid for ideal fluid in motion.

    II- It is valid when real fluids with rigid body motion.
    Solution

    Concept:

    Pascal’s Law states that at any point in a fluid the intensity of pressure is equal in all the directions if and only if shear stresses acting fluid are zero.

    Newton’s law of viscosity:

    \(\tau = \frac{{\mu du}}{{dy}}\)

    Where,

    τ is the shear stress on the plate.

    du/dy is velocity gradient.

    μ is dynamic viscosity of fluid.

    Explanation:

    Statement- I -­ It is valid for ideal fluid in motion.

     Since fluid is in motion, u ≠ 0 but

     For ideal fluid, μ = 0 ⇒ τ = 0

    Therefore, Pascal’s law is valid for ideal fluids even in state of motion.

    Statement II- It is valid when real fluids with rigid body motion

    Rigid body motion means every layer of fluid has uniform velocity.

    For real fluid in motion mean that μ ≠ 0 and u ≠ 0

    But, du = 0 τ = 0

    ∴ For Real fluids Pascal’s law is also valid with rigid body motion.
  • Question 10
    2 / -0.33
    A head loss in 100 m length of a 0.1 m diameter pipe (f=0.02) carrying water is 10 m. The boundary shear stress in Pa is ____
    Solution

    Concept:

    For any type of flow, the shear stress at wall,

    \(\tau = - \left( {\frac{{dp}}{{dx}}} \right)\frac{R}{2}\;\)

    \(\therefore \tau = \frac{{\rho g{h_L}}}{L} \times \frac{R}{2}\)

    \(\tau = \frac{{1000 \times 9.81 \times 10}}{{100}} \times \frac{{0.1}}{4}\)

    ∴ τ = 24.525 Pa

  • Question 11
    2 / -0.33
    Which of the following represents generalised continuity equation?
    Solution

    Concept:

    In generalised equation, density (ρ) is not constant and the flow is three dimensional

    \(\frac{{D\rho }}{{Dt}} + \;\rho \left( {\nabla .\vec V} \right) = 0\)

    After expansion,

    \(\frac{{\partial \rho }}{{\partial t}} + u\frac{{\partial \left( \rho \right)}}{{\partial x}} + \rho \frac{{\partial \left( u \right)}}{{\partial y}} + v\frac{{\partial \left( \rho \right)}}{{\partial y}} + \rho \frac{{\partial \left( v \right)}}{{\partial y}} + w\frac{{\partial \left( \rho \right)}}{{\partial z}} + \rho \frac{{\partial \left( w \right)}}{{\partial z}} = 0\)

    \(\frac{{\partial \rho }}{{\partial t}} + \frac{{\partial \left( {\rho u} \right)}}{{\partial x}} + \frac{{\partial \left( {\rho v} \right)}}{{\partial y}} + \frac{{\partial \left( {\rho w} \right)}}{{\partial z}} = 0\)

    \(\frac{{\partial \rho }}{{\partial t}} + \;\nabla .\left( {\rho \vec V} \right) = 0\)

    So, options a, b and c are true.
  • Question 12
    2 / -0.33
    In an orifice meter, coefficient of discharge is 0.58 and coefficient of vena contracta is 0.61, what is coefficient of velocity?
    Solution

    Concept:

    Cd = Cc × Cv

    Where, Cd = Coefficient of discharge, Cc = Coefficient of vena contracta, Cv = Coefficient of velocity

    Calculation:

    Cd = Cc × Cv

    0.58 = 0.61 × Cv

    ∴ Cv = 0.95

  • Question 13
    2 / -0.33

    In a flow over a flat plate, laminar boundary layer exists where velocity distribution is

    \(\frac{u}{U} = 0.5\frac{y}{\delta }\)

    Ratio of momentum thickness to boundary layer thickness is____ 
    Solution

    Concept:

    θ = momentum thickness

    \({\rm{\theta \;}} = \mathop \smallint \limits_0^\delta \frac{u}{U}\left[ {1 - \frac{u}{U}} \right]dy\)

    Calculation:

    \(\theta = \mathop \smallint \limits_0^\delta \frac{u}{U}\left[ {1 - \frac{u}{U}} \right]dy\)

    \(\theta = \;\mathop \smallint \limits_0^\delta \frac{y}{{2\delta }}\left[ {1 - \frac{y}{{2\delta }}} \right]dy\)

    \(\theta = \;\mathop \smallint \limits_0^\delta \left[ {\frac{y}{{2\delta }} - \frac{{{y^2}}}{{4{\delta ^2}}}} \right]dy\)

    \(\theta = \left[ {\frac{{{y^2}}}{{4\delta }} - \frac{{{y^3}}}{{12{\delta ^2}}}} \right]_0^\delta \)

    \(\theta = \frac{\delta }{4} - \frac{\delta }{{12}}\)

    \(\therefore \frac{\theta }{\delta } = \frac{1}{6}\)

  • Question 14
    2 / -0.33

    Match the following:

    P

    Reynold’s model

    i.

    Cavitation

    Q

    Froude model

    ii.

    Capillary rise

    R

    Euler model

    iii.

    Pipe flow

    S

    Weber model

    iv.

    Flow over spillways

    Solution

    Explanation:

    Reynold’s model law is applicable for:

    (i) Pipe flow

    (ii) Resistance experienced by sub-marines, airplanes, etc.

    Froude model law is applicable for:

    (i) free surface flows such as spillways, channels, etc.

    (ii) Sea waves

    Euler model law is applicable for:

    Where pressure forces are dominant like flow taking place in closed pipe, cavitation phenomenon etc.

    Weber model is applicable for:

    (i) Capillary rise in narrow passage

    (ii) Capillary movement of water in soil

  • Question 15
    2 / -0.33

    The liquid used in manometers should have

    Solution

    The liquid used in manometer should be of high density so as to measure even small variation in pressure.

  • Question 16
    2 / -0.33

    In a mercury differential manometer used for measuring pressure differences across a venturimeter in a water pipeline, if an error of 2 mm has been made in observing a differential head of 10 mm, the percentage error in pressure difference is:

    Solution

  • Question 17
    2 / -0.33
    A 1 : 6 scale model of a passenger car is tested in a wind tunnel. The prototype velocity is 60 km/hr. The model drag is 250 N. The air in the model and prototype can be assumed to have the same properties. Which of the following statements are true?
    Solution

    Concept:

    Reynolds number will be same for both model and prototype

    Calculation:

    Given:

    \(\frac{{{L_M}}}{{{L_P}}} = \frac{1}{6}\)

    \({V_p} = 60 \times \frac{5}{{18}}\;\frac{m}{s}\)

    FM = 250 N

    \(Re = \;\frac{{\rho {V_M}{L_M}}}{\mu } = \frac{{\rho {V_P}{L_P}}}{\mu }\; - - - \left( 1 \right)\)

    Now,

    From (1)

    \({V_M} = \frac{{{L_P}}}{{{L_M}}}{V_P} = 100\;\frac{m}{s}\)

    Inertial force = ρL2V2

    \(\frac{{{F_P}}}{{{F_M}}} = \frac{{{\rho _P}}}{{{\rho _M}}}{\left( {\frac{{{L_P}}}{{{L_M}}}} \right)^2}{\left( {\frac{{{V_P}}}{{{V_M}}}} \right)^2}\;\; - - - \left( 2 \right)\)

    Density is same for model and prototype (Given)

    From (2),

    FP = 250 N

    Power on the prototype

    P = FPVP

    P = 4.167 kW

  • Question 18
    2 / -0.33
    A smooth flat plate of total length 2 m is in parallel flow stream of water. The water has uniform free stream velocity of 1 m/s parallel to plate. The critical Reynolds number for a flat plate is 500000. Assume density of water is 1000 kg/m3 and dynamic viscosity of water 1 centipoises. What is the maximum distance measured (in m, up to two decimal places) from leading edge of plate, up-to which the boundary layer formed to be laminar?
    Solution

    Concept:

    The Reynolds number for flow over plate can be given as:

    \({R_e} = \frac{{\rho UX}}{\mu }\)

    Where

    X is the distance from leading edge.

    U is the free mean velocity.

    μ is the dynamic viscosity of fluid flowing.

    ρ is the density of fluid flowing.

    If Reynolds number is less than or equal to critical Reynold’s number than boundary layer formed over flat plate is laminar i.e.Re ≤ ReCr­

    Calculation:

    Given:

    U = 1 m/s ; ρ = 1000 kg/m3 ; μ = 1 centipoise = 10-3 N s/m2

    Re cr = 5 × 105

    Let ‘x’ is the distance from leading edge up to which Boundary layer formed is laminar,

    Now,

    Rex ≤ Re cr

    \(\frac{{\rho Ux}}{\mu } \le 5 \times {10^5}\)

    \(\frac{{{{10}^3} \times 1 \times x}}{{{{10}^{ - 3}}}} \le 5 \times {10^5}\)

    x ≤ 0.5 m

    ∴ The maximum distance from leading edge of the plate up to which boundary layer is laminar is 0.50 m.

  • Question 19
    2 / -0.33
    In a small pipe of 0.5mm diameter and length 2m, water flows at 48cm3/minute. Viscosity is 1.92 centipoise at low temperature flow condition. Pressure drop in MPa is­­­­­­______
    Solution

    Concept:

    \(u = \left( {\frac{{ - \partial P}}{{\partial x}}} \right)\left[ {\frac{{{R^2} - {r^2}}}{{4\mu }}} \right]\)

    Calculation:

    Given: D = 0.5 mm ⇒ R = 0.25 mm, L = 2m, Q = 48 cm3/min = 8 × 10-7 m3/sec,

    μ = 1.92 centipoise = 1.92 × 10-3 Ns/m2

    Now,

    Q = A × Vavg

    \(8 \times {10^{ - 7}} = \frac{\pi }{4} \times {\left( {0.5 \times {{10}^{ - 3}}} \right)^2} \times {V_{avg}}\)

    ∴ Vavg = 4.074 m/s

    \(\therefore {u_{max}} = \left( {\frac{{ - \partial P}}{{\partial x}}} \right)\left[ {\frac{{{R^2}}}{{4\mu }}} \right]\)

    And umean = Vavg umax

    \(\therefore {V_{avg}} = \left( {\frac{{ - \partial P}}{{\partial x}}} \right)\left[ {\frac{{{R^2}}}{{8\mu }}} \right]\)

    \(\therefore {\rm{\Delta }}P = \frac{{{V_{avg}} \times L \times 8\mu }}{{{R^2}}}\)

    ∴ ΔP = 2 MPa

    Points to Remember:

    \({\rm{\Delta }}P = \frac{{32\;\mu \;{V_{avg}}\;L}}{{{D^2}}}\)

    ∴ ΔP = 2 MPa
  • Question 20
    2 / -0.33
    The velocity potential function in a two-dimensional flow field is given by Ø = x2 – y2. Which of the following statements are true?
    Solution

    Concept:

    \(U = \; - \frac{{\partial \emptyset }}{{\partial x}} = \; - \frac{{\partial \varphi }}{{\partial y}}\;\; - - - \left( 1 \right)\)

    \(V = \; - \frac{{\partial \emptyset }}{{\partial y}} = \;\frac{{\partial \varphi }}{{\partial x}}\;\;\; - - - \left( 2 \right)\)

    \(Q = \;{\varphi _2} - {\varphi _1}\;\;\; - - - \left( 3 \right)\)

    Q is flow per unit width

    Now,

    From (1),

    \(U = \; - 2x = \; - \frac{{\partial \varphi }}{{\partial y}}\; \Rightarrow \;\varphi \left( {x,y} \right) = 2xy + f\left( x \right)\; - - - \;\left( 4 \right)\)

    \(V = \;2y = \;\frac{{\partial \varphi }}{{\partial x}}\; \Rightarrow \;\varphi \left( {x,y} \right) = 2xy + f\left( y \right)\;\; - - - \;\left( 5 \right)\)

    At (1, 2)

    U = -2 m/s

    V = 4 m/s

    \(Velocity = \;\sqrt {{{\left( { - 2} \right)}^2} + {4^2}} \)

    Velocity = 4.47 m/s

    Now,

    From (4) and (5)

    φ(x, y) = 2xy

    φ(1, 3) = 6

    φ(3, 4) = 24

    Q = φ(3, 4) - φ(1, 3) = 24 - 6

    Q = 18 units 

  • Question 21
    2 / -0.33

    The left leg of a U-tube mercury manometer is connected to a pipeline conveying water, the level of mercury in the leg being 0.6 m below the centre of pipeline, and the right leg is open to atmosphere. The level of mercury in the right leg is 0.45 m above that in the left leg and the space above mercury in the right leg contains Benzene (specific gravity 0.88) to a height of 0.3 m. Find the pressure in the pipe in metres of water.

    Solution

  • Question 22
    2 / -0.33

    For a two dimensional, unsteady flow of an incompressible fluid, the velocity field is given by V(2x2 t + y) î - 4xyt ĵ  Then which of the following statements are true?

    Solution

    Concept:

    For a fluid flow to be possible, it should obey the continuity equation which is given by

    \(\frac{\partial u}{\partial x}+\frac{\partial v}{\partial y}=0~\) (Incompressible, 2D)

    The convective acceleration is given by

    \({{\alpha }_{xC}}=u\frac{\partial u}{\partial x}+v\frac{\partial u}{\partial y}~~;~~{{\alpha }_{yC}}=u\frac{\partial v}{\partial x}+v\frac{\partial v}{\partial y}\)

    The local acceleration is given by

    \({{\alpha }_{xL}}=\frac{\partial u}{\partial t}~~;~~{{\alpha }_{yL}}=\frac{\partial v}{\partial t}\)

    The acceleration in a direction is given by

    α = αC + αL  

    Calculation:

    Given V = (2x2t + y) î - 4xyt ĵ ⇒ u = 2 x2 t + y ; v = - 4 x y t ;

    \(\frac{\partial \left( 2{{x}^{2}}t+y \right)}{\partial x}+\frac{\partial \left( -4xyt \right)}{\partial y}=4xt-4xt=0~~\)  (Option 1 is wrong

    Convective acceleration in the x-direction is

    \({{\alpha }_{xC}}=\left( 2{{x}^{2}}t+y \right)\frac{\partial \left( 2{{x}^{2}}t+y \right)}{\partial x}+\left( -4xyt \right)\frac{\partial \left( 2{{x}^{2}}t+y \right)}{\partial y}\)

    ⇒ αxc = [(2 x2 t + y) × 4 x t] + [(- 4 x y t) × 1] = 8 x3 t2

    ∴ αxc at (1, 2) and t = 3 sec is =  8 × 13 × 9 = 72 m/s2 (Option 2)

    Now,

    Local acceleration in y-direction is

    \({{\alpha }_{yL}}=\frac{\partial \left( -4xyt \right)}{\partial t}=-4xy\)

    ∴ αyL = -4 × 1 × 2 = - 8 m/s2 (Option 3 is wrong

    Now,

    Local acceleration in x-direction is

    \({{\alpha }_{x}}=\frac{\partial \left( 2{{x}^{2}}t+y \right)}{\partial t}=2{{x}^{2}}=2\times {{1}^{2}}=2\)

    ∴ Acceleration in x-direction is αx = 72 + 2 = 74 m/s2 ;

    Now,

    Convective acceleration in y-direction is

    \({{\alpha }_{yC}}=\left( 2{{x}^{2}}t+y \right)\frac{\partial \left( -4xyt \right)}{\partial x}+\left( -4xyt \right)\frac{\partial \left( -4xyt \right)}{\partial y}\)

    ⇒ αyc = [(2 x2 t + y) × - 4 y t] + [(- 4 x y t) × - 4 x t] = 16 x2 y t2 – 4 y2 t – 8 x2 y t2 ;

    ⇒ αyc = 8 x2 y t2 – 4 y2 t

    αyc at (1, 2) and t = 3 sec is = 96 m/s2 ;

    ∴ Acceleration in y-direction is αy = 96 – 8 = 88 m/s2;

    Total acceleration = (262 + 882)0.5

    ∴ αtotal = (262 + 882)0.5 = 91.76 m/s2 (Option 4 wrong)

  • Question 23
    2 / -0.33

    A Fluid flow is given by  

    \(V = \left( {2x + \frac{{{y^3}}}{3} - {x^2}y} \right)\hat i + \left( {x{y^2} - \frac{{{x^3}}}{3} - 2y} \right)\hat j\)

    Check whether the given flow is possible case of fluid flow or not. If possible, determine angular velocity about z-axis.
    Solution

    Concept:

    To check possibility of fluid flow, continuity equilibrium should be verified, i.e.

    \(\frac{{\partial u}}{{\partial x}} + \frac{{\partial v}}{{\partial y}} = 0\)

    Angular velocity about z-axis,

    \({\omega _z} = \frac{1}{2}\left( {\frac{{\partial v}}{{\partial x}} - \frac{{\partial u}}{{\partial y}}} \right)\)

    Calculation:

    \(u = 2x + \frac{{{y^3}}}{3} - {x^2}y\)

    \(v = x{y^2} - 2y - \frac{{{x^3}}}{3}\)

    \(\frac{{\partial u}}{{\partial x}} = 2 - 2xy\;\;\;;\;\frac{{\partial u}}{{\partial y}} = {y^2} - {x^2}\)

    \(\frac{{\partial v}}{{\partial x}} = {y^2} - \frac{{3{x^2}}}{3} = {y^2} - {x^2}\)

    \(\frac{{\partial v}}{{\partial y}} = 2xy - 2\)

    For 2-D flow, continuity equation,

    \(\frac{{\partial u}}{{\partial x}} + \frac{{\partial v}}{{\partial y}} = 0\)

    (2 – 2xy) + (2xy - 2) = 0

    Hence, it represents possible case of fluid flow.

    Now,

    \({\rm{Angular\;velocity\;}}\left( {{\omega _z}} \right) = \frac{1}{2}\left( {\frac{{\partial v}}{{\partial x}} - \frac{{\partial u}}{{\partial y}}} \right)\)

    \({\omega _z} = \frac{1}{2}\left[ {\left( {{y^2} - {x^2}} \right) - \left( {{y^2} - {x^2}} \right)} \right] = 0\)

    ∴ ωz = 0
  • Question 24
    2 / -0.33

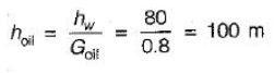
    The pressure, in meters of oil (sp. gr, 0,8), equivalent to 80 m of water is

    Solution

  • Question 25
    2 / -0.33

    Absolute pressure in flow system

    Solution

    The pressure measured above the absolute zero or complete vacuum is called absolute pressure.

    Absolute pressure = Gauge pressure + Local atmosphere pressure.

    also Absolute pressure = Local atmosphere pressure - Negative gauge pressure.

Self Studies
User
Question Analysis
  • Correct -

  • Wrong -

  • Skipped -

My Perfomance
  • Score

    -

    out of -
  • Rank

    -

    out of -
Re-Attempt Weekly Quiz Competition
Self Studies Get latest Exam Updates
& Study Material Alerts!
No, Thanks
Self Studies
Click on Allow to receive notifications
Allow Notification
Self Studies
Self Studies Self Studies
To enable notifications follow this 2 steps:
  • First Click on Secure Icon Self Studies
  • Second click on the toggle icon
Allow Notification
Get latest Exam Updates & FREE Study Material Alerts!
Self Studies ×
Open Now