Self Studies

Control Systems...

TIME LEFT -
  • Question 1
    2 / -0.33

    Consider the polynomial

    P(s) = s5 + 5s4 + 11s3 + 23s2 + 28s + 12

    Using the Routh Hurwitz criteria, which of the following is/are true?

  • Question 2
    2 / -0.33

    In the signal flow graph of figure y/x equals

  • Question 3
    2 / -0.33

    Non-minimum phase transfer function is defined as the transfer function

  • Question 4
    2 / -0.33

    The type and order of the system described by the open loop transfer function  are respectively

  • Question 5
    2 / -0.33

    The transfer function of the network shown below is

  • Question 6
    2 / -0.33

    A unity feedback control system has an open-loop transfer function

    \(G\left( s \right) = \frac{A}{{s\left( {s + a} \right)}}\)

    The sensitivity of the closed-loop transfer function to the changes in the parameter is

  • Question 7
    2 / -0.33

    The system matrix of a continuous time system, described in the state variable from is

    \(\left[ {\begin{array}{*{20}{c}}x&0&0\\0&y&{ - 1}\\0&1&{ - 2}\end{array}} \right]\)

    The range of x and y so that the system is stable is

  • Question 8
    2 / -0.33

    A system is represented by the following equation

    \(\ddot y\left( t \right) + 6\dot y\left( t \right) + 5y\left( t \right) = u\left( t \right)\)

    For the unit response of the system, the steady state value of the output is _______

  • Question 9
    2 / -0.33

    The transfer function of a control system is given by

    \(\frac{{C\left( s \right)}}{{R\left( s \right)}} = \frac{{25}}{{{s^2} + 6s + 25}}\) 

    The first maximum value of the response occurs at a time tmax given by

  • Question 10
    2 / -0.33

    For the transfer function, \(G\left( s \right) = \frac{{5\left( {s + 4} \right)}}{{s\left( {s + 0.25} \right)\left( {{s^2} + 10s + 25} \right)}}\), the values of the constant gain term and the highest corner frequency of the Bode plot respectively are:

  • Question 11
    2 / -0.33

    The principle of homogeneity and superposition are applied to

  • Question 12
    2 / -0.33

    The differential equation of a control system having input x(t) and output y(t) is given as 

    The output response of the system for unit step input is given by

  • Question 13
    2 / -0.33

    The step response of a system is given by

    c(t) = 1 + 0.25 e-50t - 1.25e-10t

    The steady state gain of the transfer function in time constant form will be

  • Question 14
    2 / -0.33

    The poles and zeros of the transfer function  for the network shown below are located at

  • Question 15
    2 / -0.33

    The pole-zero configuration of a transfer function is shown below:

    If the value of the transfer function at s = 1 is 3.2, the gain factor K is

  • Question 16
    2 / -0.33

    Consider the open-loop transfer function \(G\left( s \right)H\left( s \right) = \frac{K}{{s\left( {{s^2} + 6s + 25} \right)}}\). The angle of departure at the complex pole with positive imaginary part (angle measured in the anticlockwise direction and to be answered in between 0 and 360) in degrees is _______

  • Question 17
    2 / -0.33

    Which one of the following block diagrams in options given is equivalent to the below shown block diagram?

  • Question 18
    2 / -0.33

    A certain linear time invariant system has the state and the output equations given below

    \(\left[ {\begin{array}{*{20}{c}}{{{\dot x}_1}}\\{{{\dot x}_2}}\end{array}} \right] = \left[ {\begin{array}{*{20}{c}}1&{ - 1}\\0&1\end{array}} \right]\left[ {\begin{array}{*{20}{c}}{{x_1}}\\{{x_2}}\end{array}} \right] + \left[ {\begin{array}{*{20}{c}}0\\1\end{array}} \right]u\)

    \(y = \left[ {1\;\;1} \right]\left[ {\begin{array}{*{20}{c}} {{x_1}}\\ {{x_2}} \end{array}} \right]\)

    If \(\left[ {\begin{array}{*{20}{c}} {{x_1}\left( 0 \right)}\\ {{x_2}\left( 0 \right)} \end{array}} \right] = \left[ {\begin{array}{*{20}{c}} 1\\ { - 1} \end{array}} \right]\)and u(0) = -1, then \(\frac{{dy}}{{dt}}\;at\;t = 0\) is ______

  • Question 19
    2 / -0.33

    The ratio C(s)/R(s) for the system shown in figure below is

  • Question 20
    2 / -0.33

    Consider a plant whose transfer function is \(\frac{2}{{s\left( {s + 4} \right)}}\). It is desired that a lead compensator is used to design a negative feedback closed loop system with this plant.

    The lead compensator needs to provide a maximum phase lead of 40° and this maximum phase lead angle should be provided at a frequency of 5 rad/sec.

    It is desired that the static velocity error constant of the compensated system to be 10.

    Then the transfer function of the lead compensator is

  • Question 21
    2 / -0.33

    The transfer function C(s)/R(s) for the system described by the block diagram shown below is given by:

  • Question 22
    2 / -0.33

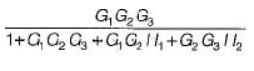
    The transfer matrix for the multi input-multi output (MIMO) system represented by the block diagram shown below is given by

    Match List-I with List-II and select the correct answer using the codes given below the lists:

  • Question 23
    2 / -0.33

    Directions For Questions

    Consider the three block diagrams A, B and C shown below.

    ...view full instructions

    Which one of the following statements is correct in respect of the above block diagrams?

  • Question 24
    2 / -0.33

    The poles of the transfer function C(s)/R(s) of the system represented by the block diagram shown below are located at

  • Question 25
    2 / -0.33

    The unity feedback system has forward path transfer function.

    \(G\left( s \right) = \frac{K}{{s\left( {s + 1} \right)\left( {s + 2} \right)}}\)

    What is the maximum value of K that will make its gain margin zero?

Submit Test
Self Studies
User
Question Analysis
  • Answered - 0

  • Unanswered - 25

  • 1
  • 2
  • 3
  • 4
  • 5
  • 6
  • 7
  • 8
  • 9
  • 10
  • 11
  • 12
  • 13
  • 14
  • 15
  • 16
  • 17
  • 18
  • 19
  • 20
  • 21
  • 22
  • 23
  • 24
  • 25
Submit Test
Self Studies Get latest Exam Updates
& Study Material Alerts!
No, Thanks
Self Studies
Click on Allow to receive notifications
Allow Notification
Self Studies
Self Studies Self Studies
To enable notifications follow this 2 steps:
  • First Click on Secure Icon Self Studies
  • Second click on the toggle icon
Allow Notification
Get latest Exam Updates & FREE Study Material Alerts!
Self Studies ×
Open Now