Self Studies

Power Systems Test 2

Result Self Studies

Power Systems Test 2
  • Score

    -

    out of -
  • Rank

    -

    out of -
TIME Taken - -
Self Studies
Weekly Quiz Competition
  • Question 1
    2 / -0.33

    Increased fuel cost in Rs/Mwh for a plant consisting of units are given by

    \(\frac{{d{F_1}}}{{d{P_1}}} = 0.4{P_1} + 400\)

    \(\frac{{d{F_2}}}{{d{P_2}}}= 0.48{P_2} + 320\)

    The allocation of load P1 and P2 between the unit 1 and unit 2, respectively, for the minimum cost of generation for a total load of 900 MW is

    Solution

    given total load P1 + P2 = 900 MW

    \(\frac{{d{F_1}}}{{d{P_2}}} = \frac{{d{F_2}}}{{d{P_2}}}\)

    0.41P1 + 400 = 0.48 P­ + 320

    -0.4P1 + 0.48P2 = 80

    -P1 + 1.2 P2 = 200

    P2 = 500 MW

    P1 = 400 MW
  • Question 2
    2 / -0.33

    A short three phase short transmission line in phase co-ordinates is represented by a series impedance matrix as \(\left[ {\begin{array}{*{20}{c}}{{Z_s}}&{{Z_m}}&{{Z_m}}\\{{Z_m}}&{{Z_s}}&{{Z_m}}\\{{Z_m}}&{{Z_m}}&{{Z_m}}\end{array}} \right]\)

    If the negative sequence impedance is (2 + 9) Ω and zero sequence impedance is (8 + j42) Ω, which of the following is/are true?

    Solution

    Positive sequence impedance is same as negative sequence impedance.

    Positive sequence impedance = (2 + j9) Ω

    Zs – Zm = 2 + j9

    Zs + 2 Zm = 8 + j42

    By solving above two equations,

    Zm = 2 + j11

    ⇒ Zs = 4 + j20 

  • Question 3
    2 / -0.33

    In case of HVDC system, there is

    Solution
    • In HVDC transmission current distributes uniformly over the cross-section of the conductor. Hence no loss due to skin effect is encountered.
    • Corona Loss directly proportional to frequency. Therefore in the DC line, corona loss will be lesser compared to the AC line.
  • Question 4
    2 / -0.33

    A dc line carries

    Solution

    Due to requirement of less number of conductors, a dc line carries more power than a ac line, (losses of the line reduces in HVDC).

  • Question 5
    2 / -0.33
    A 100 × 100 bus admittance matrix for an electric power system has 600 non-zero elements. Which of the following is/are true?
    Solution

    Size of YBUS matrix = 100 × 100

    Number of non-zero elements = 600

    Number of diagonal elements = 100

    All the diagonal elements are non-zero in a Y-bus matrix.

    Number of non-zero diagonal elements = 100

    Number of non-zero off diagonal elements – 600 – 100 = 500

    Minimum number of branches in the system are

    \(= \frac{{500}}{2} = 250\) 

  • Question 6
    2 / -0.33
    The initial value of DC offset in a three-phase fault depends on:
    Solution
    • AC circuit transient current is composed of symmetrical short circuit current (AC fault current) and DC offset.
    • The value of DC offset (magnitude of the initial value of DC offset) can be between zero to the maximum value of AC fault current depending upon different values of (voltage phase angle)
    • As the value of α is decided by the instantaneous source voltage at the instant of short circuit the value of DC offset is decided by the instantaneous source voltage at the instant of short circuit.
  • Question 7
    2 / -0.33
    Which of the following has a problem in convergence for a system with long radial lines?
    Solution

    Comparison of two load flow methods is given below.

    Type of problem

    Gauss-Seidel Method

    Newton-Raphson Method

    Heavily loaded system

    Usually cannot solve systems with more than 70° phase shift

    Solve systems with shifts up to 90°

    Systems containing negative reactance such as three-winding transformers or series capacitors

    Unable to solve

    Solves with ease

    Systems with slack bus at a desired location

    Often requires trail and error to find a slack bus location that will yield a solution

    More tolerant of slack bus location

    Long and short lines terminating the same bus

    Usually cannot solve if long to short ratio is above 1000

    Can solve a system with a long to short ratio at any bus of 1,000,000

    Long radial type of system

    Difficulty in solving

    Solves a wide range of such problems

    Acceleration factor

    Number of iterations depends on choice of factor

    Not required

  • Question 8
    2 / -0.33
    The positive, negative and zero sequence impedances of 3-phase synchronous generator are j 0.5 pu, j 0.3 pu and j 0.2 pu respectively. When the symmetrical fault occurs on the machine terminals. Find the fault current. The generator neutral is grounded through reactance of j0.1 pu
    Solution

    For three-phase symmetrical fault, the fault current is given by

    \({I_f} = {I_{R1}} = \frac{{{E_{R1}}}}{{{Z_{1eq}}}}\)

    ER1 is pre fault voltage = 1 pu

    Z1eq is positive sequence impedance

    Z1eq = j 0.5 pu

    \({I_f} = \frac{1}{{j0.5}} = - j2.0\;pu\)

    Note:

    • The positive sequence currents involved in all type of systems
    • Negative sequence currents involved in only unbalanced systems
    • Zero sequence currents involved in systems involving earth
    • Thus, in a balanced three-phase system both negative and zero sequence currents are zero
  • Question 9
    2 / -0.33
    A 100 MVA synchronous generator operates on full load at a frequency of 50 Hz. Inertia constant is 8 MJ/MVA. The load is suddenly reduced 100 MW. Due to time lag in governor system, the steam valve begins to close after 0.4 seconds. The change in frequency that occurs in this time is_____
    Solution

    The rating of the machine (S) = 100 MVA

    Inertia constant = H = 8 MJ/MVA

    Kinetic energy stored in the rotating parts of the generator = SH = 800 MJ

    Energy transferred in 0.4 sec = 100 × 0.4 = 40 MJ

    \(\begin{array}{l} \frac{{K{E_1}}}{{K{E_2}}} = {\left( {\frac{{{f_1}}}{{{f_2}}}} \right)^2}\\ \Rightarrow \frac{{800}}{{840}} = {\left( {\frac{{50}}{{{f_2}}}} \right)^2} \end{array}\)

    \(\Rightarrow {f_2} = 51.23\;Hz\)

    Change in frequency = 1.23 Hz
  • Question 10
    2 / -0.33
    In a 132 kV, 50 Hz system, reactance and capacitance up to the location of the circuit breaker is 5 Ω and 0.02 μF respectively. A resistance of 500 Ω is connected across the breaker of the circuit breaker. The damped frequency of oscillation is ______ (in kHz)
    Solution

    Concept:

    The frequency of damped oscillations is given by

    \(f = \frac{1}{{2\pi }}\sqrt {\frac{1}{{LC}} - \frac{1}{{4{C^2}{R^2}}}}\)

    Calculation:

    Given that, inductive reactance (X­L) = 5Ω

    2πfL = 5

    2π × 50 × L = 5

    L = 15.91 mH

    Capacitance (C) = 0.02 μF

    Resistance (R) = 500 Ω

    \(f = \frac{1}{{2\pi }}\sqrt {\frac{1}{{15.91\; \times \;{{10}^{ - 3}}\; \times\; 0.02\; \times \;{{10}^{ - 6}}}} - \frac{1}{{4\; \times\; {{\left( {0.02\; \times \;{{10}^{ - 6}}} \right)}^2}\; \times\; {{\left( {500} \right)}^2}}}} \)

    = 4.03 kHz  

  • Question 11
    2 / -0.33
    A circuit breaker is employed to quench the magnetizing current of a 80 MVA transformer at 230 kV. The magnetizing current is 4% of full load current. Now, the circuit breaker is opened when the magnetizing current is as its peak value. The stray capacitance is 4 pF and inductance is 25 mH. The maximum voltage appears across the circuit is ______(in kV)
    Solution

    Full load current \(\left( {{I_L}} \right) = \frac{{80 \times {{10}^6}}}{{\sqrt 3 \times 230 \times {{10}^3}}} = 200.8\;A\)

    Magnetizing current = (0.04) (200.8) = 8 A

    Maximum value of magnetizing current \(= 8\sqrt 2\;A\)

    Voltage that appears across circuit breaker

    \(V = i\sqrt {\frac{L}{C}} = 8\sqrt 2 \times \sqrt {\frac{{25 \times {{10}^{ - 3}}}}{{4 \times {{10}^{ - 12}}}}} = 897.43\;kV\)

  • Question 12
    2 / -0.33

    HVDC transmission is preferred to EHV AC because

    Solution

    HVDC transmission is more reliable than EHV AC because it uses ground or sea return and therefore, in case of fault on a line it can still be used to supply power with the help of healthy lines.

  • Question 13
    2 / -0.33
    The power system has two generating plants and power being dispatched economically with P1 = 150 MW and P2 = 200 MW. The loss co-efficient are B11 = 0.003 MW-2, B22 = 0.001 MW-2 and B12 = - 0.0004 MW-2. The penalty factor for the plant 1 will be _________ (up to two decimal places)
    Solution

    Concept:

    The transmission loss is given as

    \({P_L} = \mathop \sum \limits_m \mathop \sum \limits_n \;{P_m}{B_{mn}}{P_n}\;\)

    For two plant system, m = 1, 2 and n = 1, 2

    Then, 

    PL = P1 B11 P1 + P1 B12 P2 + P2 B21 P1 + P2 B22 P2

    B12 = B21

    \( \Rightarrow {P_L} = P_1^2{B_{11}} + 2{P_1}{P_2}{B_{12}} + P_2^2{B_{22}}\)

    Penalty factor for plant 1 is,

    \({P_{f1}} = \frac{1}{{1 - \frac{{\partial {P_L}}}{{\partial {P_1}}}}}\)

    \(\frac{{\partial {P_L}}}{{\partial {P_1}}} = 2\;{P_1}\;{B_{11}} + 2\;{P_2}\;{B_{12}}\)

    Penalty factor for plant 2 is

    \({P_{f2}} = \frac{1}{{1 - \frac{{\partial {P_L}}}{{\partial {P_2}}}}}\;\)

    \(\frac{{\partial {P_L}}}{{\partial {P_2}}} = 2{P_1}\;{B_{12}} + 2\;{P_2}\;{B_{22}}\)

    Calculation:

    Given that,

    P1 = 150 MW, P2 = 200 MW

    B11 = 0.003 MW-2

    B22 = 0.001 MW-2

    B12 = -0.0004 MW-2

    \(\frac{{\partial {P_L}}}{{\partial {P_1}}} = 2\;{P_1}\;{B_{11}} + 2\;{P_2}\;{B_{12}}\)

    = 2(150) (0.003) + 2(200) (-0.0004)

    = 0.74

    \({P_{f1}} = \frac{1}{{1 - 0.74}} = 3.846\)

  • Question 14
    2 / -0.33

    In a dc transmision

    Solution

    As operating frequency, f = 0 therefore, there is no effect of XL and XC.

  • Question 15
    2 / -0.33

    The bus admittance (Ybus ) matrix of a 3-bus power system is given below.

    Considering that there is no shunt inductor connected to any of the buses, which of the following can NOT be true?

    Solution

  • Question 16
    2 / -0.33

    A single-phase, two wire transmission line, 15 km long, is made up of round conductors, each 0.8 cm radius, separated from each other by 40 cm. The equivalent diameter of a fictitious hollow, thin-walled conductor having the same inductance as the original line is given by

    Solution

    The fictitious conductor is one whose radius is r' and whose diameter is therefore,

  • Question 17
    2 / -0.33

    The sending and voltage of a three phase 50 Hz lossless transmission line is maintained at 400 kV. The inductance and capacitance of the line are 8 mH/km/phase and 200 nF/ km/ Phase respectively.

    To maintain a voltage of 400 kV at receiving end, when the line is delivering 600 MW load, which of the following is/are true?

    Solution

    Inductance (L) = 8 mH/km/phase

    Capacitance (C) = 200 nF/km/phase

    Surge impedance, \(Z = \sqrt {\frac{L}{c}} \)

    \( = \sqrt {\frac{{8\; \times \;{{10}^{ - 3}}}}{{200 \;\times \;{{10}^{ - 9}}}}} \;\)

    = 200 Ω

    Surge impedance loading = \(\frac{{{V^2}}}{{{Z_c}}}\)

    \( = \frac{{{{\left( {400\; \times \;{{10}^3}} \right)}^2}}}{{200}} = 800\;MW\)

    Given load is 600 MW, and it is lesser than the surge impedance loading.

    To maintain rated voltage at receiving end, the compensation must be inductive.
  • Question 18
    2 / -0.33

    If the conductor radius increases, inductance of the line,

    Solution

    Here, GMR radius of conductor.

    Hence, if radius increases, GMR also increases. As a result of which inductance will decrease.

  • Question 19
    2 / -0.33

    A balanced 3ϕ load of 30 MW is supplied at 132 kV, 50 Hz & 0.85 pf lagging by means of transmission line. The series impedance of single conductor is (20 + j52) Ω and total phase-neutral admittance is 315 × 10-6 mho. For a nominal T-method, which of the following is / are true regarding the A, B, C, D constants of the line.

    Solution

    VR = 132 × 103 V

    Phase voltage \( = \frac{{132}}{{\sqrt 3 }}kV = 76.21\;kV\)

    z = 20 + j52 Ω

    Y = j 315 × 10-6

    \(A = D = 1 + \frac{{YZ}}{2} = 1 + \frac{{\left( {315 \times {{10}^{ - 6}}j} \right)\left( {20 + j52} \right)}}{2}\)

    = 0.99 ∠0.182

    \(B = z\left( {1 + \frac{{YZ}}{4}} \right)\)

    \( = \left( {20 + 52j} \right)\left( {1 + \frac{{\left( {315 \times {{10}^{ - 6}}j} \right)\left( {20 + 52j} \right)}}{4}} \right)\)

    = 55.48 ∠69.05

    C = Y = j315 × 10-6

    = 0.315 × 10-3 ∠90°

  • Question 20
    2 / -0.33

    A cylindrical rotor synchronous generator is operating at a terminal voltage of 1 pu with an internal emf of (1 + j0.5) pu. It has a steady state synchronous reactance of 0.8 pu and sub transient reactance of 0.2 pu.

    If there is a three-phase solid short circuit fault at the terminal of the generator, which of the following is/are true?

    Solution

    Given that, terminal voltage (Vt) = 1 pu

    Internal emf (Eg) = (1 + j0.5) pu

    Steady state synchronous reactance (Xd) = 0.8 pu

    Sub transient synchronous reactance (X"d) = 0.2 pu

    Fault current, \({I_f} = \frac{{{E_g} - {V_o}}}{{{X_d}}}\)

    \( = \frac{{1 + j0.5 - 1}}{{j0.8\;}}\) 

    = 0.625 pu

    Sub transient internal emf

    Ef = Vt + (jX"d) If

    = 1 + (j 0.2) (0.625)

    = 1 + j 0.125

    Magnitude = \(\sqrt {1 + {{\left( {0.125} \right)}^2}\;} \)

    = 1.0078 pu

  • Question 21
    2 / -0.33
    A cable is graded with three dielectrics of permittivities 4, 3 and 2. The maximum permissible potential gradient for all dielectrics is same and equal to 30 kV / cm. The core diameter is 1.5 cm and sheath diameter is 5.5 cm the rms value of working voltage is ______ (in kV)
    Solution

    ε1 = 4, ε2 = 3, ε3 = 2

    Emax = 30 kV / cm

    d = 1.5 cm, D = 5.5 cm

    r = 0.75 cm, R = 2.75 cm

    ε1r = ε2r1 = ε3r2

    ε1r = ε2r1

    \( \Rightarrow {r_1} = \frac{{{{\rm{\varepsilon }}_1}r}}{{{{\rm{\varepsilon }}_2}}} = \frac{{4 \times 0.75}}{3} = 1\;cm\)

    ε1r = ε3r2

    \( \Rightarrow {r_2} = \frac{{{{\rm{\varepsilon }}_1}r}}{{{{\rm{\varepsilon }}_3}}} = \frac{{4 \times 0.75}}{2} = 1.5\;cm\)

    V = V1 + V2 + V3

    \( = {E_{max}}\left[ {r\ln \left( {\frac{{{r_1}}}{r}} \right) + {r_1}\ln \left( {\frac{{{r_2}}}{{{r_1}}}} \right) + {r_2}\ln \left( {\frac{R}{{{r_L}}}} \right)} \right]\)

    \( = 30\;\left[ {0.75\ln \left( {\frac{1}{{0.75}}} \right) + \ln \left( {\frac{{1.5}}{1}} \right) + 1.5\ln \left( {\frac{{2.75}}{{1.5}}} \right)} \right]\)

    = 45.9 kV

    \({V_{rm}} = \frac{{{V_m}}}{{\sqrt 2 }} = \frac{{45.9}}{{\sqrt 2 }} = 32.4\;kV\)
  • Question 22
    2 / -0.33
    A 3ϕ 50 Hz 320 km long transmission line has inductance of 1.98 mH / km / phase & C = 9.93 × 10-9 F / km. The line supplies a load of 75 MVA, 0.8 pf lagging at 400 kV. The MVAR rating of 3ϕ shunt reactor to be installed at the receiving end to sending end voltage at rated value is
    Solution

    Length = 320 km

    L = 0.98 × 320 = 313.6 mH

    C = 9.93 × 10 × 320 = 3.177 × 10-6 F

    VR = 400 kV

    Vs = 400 kV

    \(z = \sqrt {\frac{L}{C}} = \sqrt {\frac{{313.6 \times {{10}^{ - 3}}}}{{3.1776 \times {{10}^{ - 6}}}}} = 314.15\;{\rm{\Omega }}\)

    \(\beta = 2\pi \sqrt {LC} = 2\pi \times 50 \times \sqrt {\left( {313.6 \times {{10}^{ - 3}}} \right)\left( {3.177 \times {{10}^{ - 6}}} \right)} \)

    = 0.313 rad

    = 17.93°

    Value of shunt reacted

    \({X_L} = \frac{{{z_c}\sin {\beta _L}}}{{\frac{{{V_s}}}{{{V_R}}} - \cos {\beta _L}}}\)

    \( = \frac{{314.15\sin 17.93^\circ }}{{1 - \cos 17.93^\circ }} = 1991.33\)

    MVAR rating \( = \frac{{{V^2}}}{{{X_L}}} = \frac{{{{\left( {400} \right)}^2}}}{{1991.33}} = 80.34\;MVAR\)
  • Question 23
    2 / -0.33

    A 50 Hz, a synchronous generator capable to supply 400 MW connected to a large power system and delivering 80 MW when a three-phase fault occurs at its terminals. If the maximum power angle is to be 85°, the time in which the fault must be cleared is _____ (in sec)

    (Assume the base value is 100 MW  and consider the inertia constant H = 7 MJ / MVA )
    Solution

    When the fault occurs

    \(\delta = {\delta _1} = 85^\circ = \frac{{85 \times \pi }}{{180}} = 1.4835\;rad\)

    Pe = Pmax sin δ

    Pmax = 400 MW

    Pe = 80 MW = Pm

    At steady state = Pe = Pm

    \(\sin {\delta _0} = \frac{{{P_e}}}{{{P_{max}}}} = \frac{{80}}{{400}}\)

    \( \Rightarrow {\delta _0} = 11.54^\circ = \frac{{11.54 \times \pi }}{{180}} = 0.2\;rad\)

    δc = cos-1 [cos δ1 + (δ1 – δ0) sin δ0]

    = cos-1 [cos (1.4835) + (1.4835 – 0.201) sin (0.201)]

    = 69.8° = 1.218 rad

    Since Pe = 80 MW and before the fault Pe = Pm also in fault moment Pe = 0 the Pm = 80

    If we take a base of 100 MW then Pm = 0.8 pu

    The clearing time tc is:

    \({t_c} = \sqrt {\frac{{2H\left( {{\delta _c} - {\delta _0}} \right)}}{{\pi f{P_m}}}} \)

    \( = \sqrt {\frac{{2 \times 7 \times \left( {1.218 - 0.201} \right)}}{{\pi \times 50 \times 0.8}}} \)

    = 0.336 sec
  • Question 24
    2 / -0.33

    For an underground cable, the surge impedance is generally taken as

    Solution

    For underground cable, Zs = 40 Ω

    For overhead line, Zs = 400 Ω

  • Question 25
    2 / -0.33

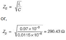
    A three-phase, 50 Hz, 400 kV, transmission line is 300 km long. The line inductance is 0.97 mH/km per phase and capacitance is 0.0115 μF/km per phase. Assuming a lossless line, the surge impedance of the line will be

    Solution

    Surge impedance of the line is given by

Self Studies
User
Question Analysis
  • Correct -

  • Wrong -

  • Skipped -

My Perfomance
  • Score

    -

    out of -
  • Rank

    -

    out of -
Re-Attempt Weekly Quiz Competition
Self Studies Get latest Exam Updates
& Study Material Alerts!
No, Thanks
Self Studies
Click on Allow to receive notifications
Allow Notification
Self Studies
Self Studies Self Studies
To enable notifications follow this 2 steps:
  • First Click on Secure Icon Self Studies
  • Second click on the toggle icon
Allow Notification
Get latest Exam Updates & FREE Study Material Alerts!
Self Studies ×
Open Now