Self Studies

Electronic Devices Test 1

Result Self Studies

Electronic Devices Test 1
  • Score

    -

    out of -
  • Rank

    -

    out of -
TIME Taken - -
Self Studies
Weekly Quiz Competition
  • Question 1
    2 / -0.33

    Read the following statements regarding semiconductor and mark the incorrect answer.

    1. In P type semiconductor, holes as minority charge carrier
    2. In N type semiconductor, electron as majority charge carrier.
    3. It has conductivity in between the insulator and conductor.
    4. At zero absolute temperature, intrinsic semiconductor behaves as a conductor.

    Solution
    • The material which is not a good conductor, or a good insulator is called as a semiconductor.For example, silicon, germanium, etc.
    • The charge carriers which are present in more quantity in a semiconductor compared to other particles are called the majority charge carrier.
    • The impurity atoms added are called dopants and semiconductors doped with the impurity atoms are called extrinsic or doped semiconductors.
    • An ideal, perfectly pure semiconductor (with no impurities) is called an intrinsic semiconductor.
    • At absolute zero temperature valence band is full of electrons and the conduction band is empty, hence there are no free electrons in the conduction band and holes in the valence band.
    • The charge carrier concentration is zero at zero absolute temperature.
    • Hence, at zero absolute temperature the intrinsic semiconductor behaves like insulator.

    There are two types of semiconductors:

    P-type semiconductor:

    • The semiconductor having holes as majority charge carriers and electrons as a minority charge carrier is called a P-type semiconductor.
  • Question 2
    2 / -0.33
    The probability that an energy state is filled at EC + KT, is equal to the probability that a state is empty at EC + KT. Where is the Fermi level (EF) located?
    Solution

    Conceptual Approach:

    Fermi level is the level where the probability of finding an electron equals the probability of finding a hole.

    Given that the probability of a state being filled with an electron at E = EF + KT is equal to the probability that the state is empty at E = EF + KT, we can conclude that EF + KT in the Fermi-level.

    Conventional Method:

    Carriers in a semiconductor follow Fermi-Dirac distribution.

    The probability that an electron occupies an energy level E is given by:

    \(f\left( E \right) = \frac{1}{{1 + e\frac{{\left( {E - {E_F}} \right)}}{{KT}}}}\)

    Where EF = Fermi energy level.

    The probability of a state being empty is given by:

    \(1 - f\left( E \right) = 1 - \frac{1}{{1 + e\frac{{\left( {E - {E_F}} \right)}}{{KT}}}}\)

    Now, the probability that an energy state at EC + kT is filled will be given by:

    \(f\left( {{E_C} + KT} \right) = \frac{1}{{1 + {e^{\frac{{\left( {{E_C} + KT - {E_F}} \right)}}{{KT}}}}}}\)

    Similarly, the probability that a state at EC + KT is empty will be given by:

    \(1 - f\left( {{E_C} + KT} \right) = 1 - \frac{1}{{1 + {e^{\frac{{\left( {{E_C} + KT - {E_F}} \right)}}{{KT}}}}}}\)

    Given the two probabilities as equal, we can write:

    f(EC + KT) = 1 – f (EC + KT)

    \(\frac{1}{{1 + {e^{\frac{{\left( {{E_C} + KT - {E_F}} \right)}}{{KT}}}}}} = 1 - \frac{1}{{1 + {e^{\left( {\frac{{{E_C} + KT - {E_F}}}{{KT}}} \right)}}}}\)

    \(\frac{1}{{1 + {e^{\frac{{\left( {{E_C} + KT - {E_F}} \right)}}{{KT}}}}}} = \frac{{{e^{\frac{{\left( {{E_C} + KT - {E_F}} \right)}}{{KT}}}}}}{{1 + {e^{\left( {\frac{{{E_C} + KT - {E_F}}}{{KT}}} \right)}}}}\)

    \({e^{\left( {\frac{{{E_C} + KT - {E_F}}}{{KT}}} \right)}} = 1\)

    Taking the natural log on both sides, we get:

    \(\frac{{{E_C} + KT - {E_F}}}{{KT}} = 0\)

    ∴ EF = EC + KT
  • Question 3
    2 / -0.33
    Assume that gallium arsenide has dopant concentrations of Nd = 1 × 1013 cm-3 and Na = 2.5 × 1013 cm-3 at T = 300 K. Assuming that the concentration of donor ‘or’ acceptor is ≫ ni, the material is
    Solution

    Concept:

    For a compensated semiconductor with acceptor concentration greater than the donor concentration, the majority carrier hole concentration is calculated as:

    \({p_0} = \frac{{{N_a} - {N_d}}}{2} + \sqrt {{{\left( {\frac{{{N_a} - {N_d}}}{2}} \right)}^2} + n_i^2} \)

    With Na - Nd ≫ ni, the above equation becomes:

    p0 ≅ Na - Nd

    Also, the charge carriers at thermal equilibrium follow mass-action law, i.e.

    \({n_0}{p_0} = n_i^2\) 

    Application:

    Given dopant concentration for Ga As as:

    Nd = 1 × 1013 cm-3

    Na = 2.5 × 1013 cm-3

    Since the acceptor concentration is greater than the donor concentration, the material will be p-type.

    The majority carrier hole concentration will be:

    p0 ≅ Na - Nd

    p0 = 2.5 × 1013 – 1 × 1013

    = 1.5 × 1013 cm-3

    Electron concentration as obtained using mass action law as:

    \({n_0}{p_0} = n_i^2\)

    \({n_0} = \frac{{n_i^2}}{{{p_0}}}\)

    \({n_0} = \frac{{{{\left( {2.8 \times {{10}^6}} \right)}^2}}}{{1.5 \times {{10}^{13}}}}\)

    n0 = 0.216 cm-3

  • Question 4
    2 / -0.33
    A n-type Si sample is uniformly doped with 1015 donors per cm3 and has minority carriers lifetime τp = 10-6sec. The photo generation rate that will produce 2 × 1013 excess pairs cm-3 in steady state is _________ × 1019 eh – pair/sec
    Solution

    Concept:

    The electron and hole generation rate is given by

    \(G = \frac{{{\rm{\Delta }}n}}{\tau }\) 

    Where Δn = excess electron-hole pair generated and τ = minority carrier lifetime.

    For n-type Si, hole is minority carrier

    Hence

    \(G = \frac{{{\rm{\Delta }}n}}{{\tau p}}\)    …(1)

    Calculation:

    \(G = \frac{{2 \times {{10}^{13}}}}{{{{10}^{ - 6}}}}\) 

    G = 2 × 1019 e-h pair/sec
  • Question 5
    2 / -0.33
    A solar cell has a short circuit current of 10 mA and open-circuit voltage of 0.9 V. The maximum power delivered by the solar cell is _________ mW. Given fill factor as 0.8.
    Solution

    Concept:

    The maximum power delivered by a solar cell is given by:

    Pm = V. Im = f.f × VOC­ ISC

    Calculation:

    Putting on the respective values, we get:

    = 0.8 × 0.9 × 10 mA

    = 7.2 mW
  • Question 6
    2 / -0.33

    The Fermi level in a semiconductor bar should:

    Solution

    Under equilibrium:

    • The fermi level across the entire material will be sum and does not vary with distance.

    • If there is any disturbance in the material, like junction contact, injection of impurities at any point, the charge carriers redistribute themselves such that the fermi-potential is same in entire material.

    Under non-equilibrium:

    • The fermi level is uneven with gradient of charge distribution across distance, in material.
    • It can be studied using quasi-fermi states, related to charge distribution.
  • Question 7
    2 / -0.33
    If the substrate doping concentration is decreased, the accumulation region capacitance and depletion region capacitance respectively will
    Solution

    In the accumulation region, the MOS capacitance is due to the accumulation of charges at the gate surface and substrate.

    Hence the Capacitance is defined as:

    CMOS = Cox\(\frac{{{\varepsilon _{ox}}}}{{{t_{ox}}}}\)

    It is independent of doping concentration. Hence, it remains unchanged.

    In the depletion region, the MOS capacitance is the series sum of Cox and CD (depletion layer capacitance)

    \(\begin{array}{l} \frac{1}{{{{\rm{C}}_{{\rm{Mos}}}}}} = \frac{1}{{{{\rm{C}}_{{\rm{ox}}}}}} + \frac{1}{{{{\rm{C}}_{\rm{D}}}}}\\ {C_D} = \frac{{{\varepsilon _{ox}}}}{{{W_{dep}}}} \end{array}\)

    And \({W_{dep}}\propto \frac{1}{{\sqrt {{N_a}} }}\)

    Where Na is the substrate doping concentration, i.e.

    \({C_D}\propto \sqrt {{N_a}}\)

    From the above expression, we observe that as doping concentration is decreased, the depletion layer capacitance decreases. Hence total capacitance also decreases.
  • Question 8
    2 / -0.33
    Growth of SiO2 on Si subtrate can be achieved in 2 ways either using oxygen or using water vapour. For growing thicker oxides
    Solution

    Dry oxidation is used to from thin oxide films

    Wet oxidation proceeds at faster rate and is used to form thick oxide films.

    This is because water vapor diffuses through SiO2 faster than oxygen.

    The Corresponding Reaction involved are

    Si + O2 → SiO2

    Si + 2HO → SiO2 + H2
  • Question 9
    2 / -0.33

    Semiconductors have ______ conduction band and ______ valence band.

    Solution

    Property of Semiconductors:

    • Semiconductors are the materials that have a conductivity between conductors (generally metals) and non-conductors or insulators (such as ceramics).
    • Semiconductors can be compounds such as gallium arsenide or pure elements, such as germanium or silicon.
    • Semiconductors have an almost empty conduction band and an almost filled valence band.
    • In a semiconductor, the mobility of electrons is higher than that of the holes.
    • Its Resistivity lies between 10-5 to 106 Ωm
    • Conductivity lies between 105 to 10-6 mho/m
    • The temperature coefficient of resistance for semiconductors is Negative.
    • The current Flow in the semiconductor is mainly due to both electrons and holes.
  • Question 10
    2 / -0.33

    The Difference between the donor energy level and fermi level in a n-type semiconductor in where 25% of the atoms are ionised at 300 k is:

    Solution

    As 25% of donor atoms are ionised, the occupation probability of donor level is 0.75.

  • Question 11
    2 / -0.33

    In an intrinsic semiconductor, the Fermi energy level EF doesn’t lie in the middle of the band gap cause:

    Solution

  • Question 12
    2 / -0.33

    A silicon bar is doped with donor impurities ND = 2.25 × 1015 cm-3. If the electron mobility μn = 1000 cm2/v-s then the approximate value of resistivity of silicon bar assuming partial ionization of 55% is __________ (Ω - cm)

    Solution

    Given ND = 2.25 × 1015 cm-3

    Partial ionization of 55%, number of electrons is:

    ⇒ n = 0.55 × 2.25 × 1015 cm-3

    = 1.2375 × 1015 cm-3

    Electron mobility μn = 1000 cm2/v-s

  • Question 13
    2 / -0.33

    Consider the uniformly doped GaAs junction at T = 300 K. At zero bias, only 20 percent of the total space charge region is to be in the p region. The built-in potential barrier for an intrinsic concentration of ni = 1.8 × 106 cm-3 is Vbi = 1.20 V. The thermal voltage at T = 300 K is 25.9 mV and the relative permittivity εr = 13.1, ε0 = 8.85 × 10-14 Farad-cm.

    The acceptor impurity concentration, Na will be _______× 1016 cm-3
    Solution

    Concept:

    According to space charge neutrality, the net positive charge in the ‘n’ region must equal the net negative charge in the ‘p’ region, i.e.

    q Na xp = q Nd xn

    xp = space charge region extending to p-side

    xn = space charge region extending to n-side

    Also the built-in potential is given by:

    \({V_{bi}} = \frac{{kT}}{q}\;\;In\left( {\frac{{{N_a}{N_d}}}{{n_i^2}}} \right)\)

    Na = doping concentration on p-side

    Nd = doping concentration on n-side

    Application:

    At zero bias, only 20% of the total width (W) is to be in the p-region, i.e.

    xp = 0.2 W

    ∴ xn = 0.8 W

    Since, q Na xp = q Nd xn, we can write:

    q Na (0.2 W) = q Nd (0.8 W)

    \({N_d} = \frac{{{N_a}}}{4}\)        ---(1)

    Given:

    Vbi = 1.2 V, ni = 1.8 × 106 cm-2 and VT = 25.9 mV

    The built-in potential will be:

    \({V_{bi}} = \frac{{kT}}{q}\left( {\frac{{{N_a}{N_a}}}{{4n_i^2}}} \right)\)

    \(1.2 = \left( {25.9 \times {{10}^{ - 3}}} \right)ln\left( {\frac{{{N_a} \cdot {N_a}}}{{4\;n_i^2}}} \right)\)

    Taking anti-log on both sides, we get:

    \({e^{\left( {\frac{{1.2}}{{25.9 \times {{10}^{ - 3}}}}} \right)}} = \frac{{N_a^2}}{{4n_i^2}}\)

    \(1.323 \times {10^{20}} = \frac{{N_a^2}}{{4{{\left( {1.8 \times {{10}^6}} \right)}^2}}}\)

    \(N_a^2 = 1.715 \times {10^{33}}\)

    Na = 4.14 × 1016 cm-3
  • Question 14
    2 / -0.33

    A Ga – As LED has refractive index of 3.6 and is surrounded by air (μ = 1). If the bandgap of Ga – As is 1.43. Then out of 500 photons generated in Ga – As, The number of photons emitted out of the specimen are _____

    Solution

    Concept:

    The external quantum efficiency is given by the relation:

    \({η _{ext}} = \frac{{η_{a}^2}}{{4η _s^2}}\)

    ηs = Refractive index of the LED

    Calculation:

    ηs = 3.6

    ηa = 1

    \({η _{ext}} = \frac{{1}}{{4(3.6)^2}}\)

    ηext = 0.0193

    Out of every 100 photons generated in Ga – As, only 1.93 are emitted out of the specimen.

    ∴ for 500 photons → 9.5 will be emitted.

    Taking the greatest integer value, we get:

    [9.5] = 9

  • Question 15
    2 / -0.33

    The change in diode voltage that will cause a factor of 50 increase in current for an ideal pn junction diode at T = 300 K operating in the forward-bias region is approximately:

     \((Take\;{V_T} = \frac{{kT}}{q} = 25mV)\) 

    Solution

    Concept:

    The current equation for an ideal pn junction with V voltage (forward-biased) is given as:

    \(I = {I_s}\left( {e^\frac{V}{{{V_T}}} - 1} \right) ≈ {I_s}e^\frac{V}{{{V_T}}}\)

    IS = Saturation current

    VT = Thermal voltage

    Calculation:

    For a voltage V1, the value of the current i1 is:

    \({I_1} = {I_s}e^\frac{{{V_1}}}{{{V_T}}}\)

    For a voltage V2, the value of the current I2 is:

    \({I_2} = {I_s}e^\frac{{{V_2}}}{{{V_T}}}\)

    A factor of 50 increase means, I2 = 50 I1

    \( \frac{{{I_2}}}{{{I_1}}} = \frac{{{I_s}e^\frac{{{V_2}}}{{{V_T}}}}}{{{I_s}e^\frac{{{V_1}}}{{{V_T}}}}}\)

    \(\frac{{50\;{I_1}}}{{{I_1}}} = e\frac{{{V_2} - {V_1}}}{{{V_T}}}\)

    \( \ln \left( {50} \right) = \frac{{{V_2} - {V_1}}}{{{V_T}}}\)

    \( {V_2} - {V_1} = {V_T}\ln \left( {50} \right) \)

    With VT = 25 mV, we get:

    V2 - V1 = 25m × 4 = 97.8 mV

  • Question 16
    2 / -0.33
    A MOSFET with VDS = 0.5 V carries a drain current of 1 mA in saturation. If channel length modulation parameters λ = 0.2 V-1  then the drain current if VDS is 1 V is:
    Solution

    Concept:

    Drain current for a MOSFET in saturation is given by:

    \({{I}_{D}}=\frac{1}{2}{{\mu }_{n}}{{C}_{ox}}\left( \frac{W}{L} \right){{\left( {{V}_{Gs}}-{{V}_{T}} \right)}^{2}}\left( 1+λ {{V}_{DS}} \right)\)

    VGS = Gate to source voltage

    λ = Channel length modulation parameter

    Calculation:

    \(\frac{{{I}_{D1}}}{{{I}_{D2}}}=\frac{1+λ {{V}_{DS}}_{1}}{1+λ {{V}_{DS}}_{2}}~\)

    \({{I}_{D2}}=\frac{\left( 1+λ {{V}_{DS}}_{2} \right)}{\left( 1+λ {{V}_{DS}}_{1} \right)}{{I}_{D1}}\)

    Putting on the respective values, we get:

    \({{I}_{D2}}=\left[ \frac{1+\left( 0.2 \right)\left( 1 \right)}{1+\left( 0.2 \right)\left( 0.5 \right)} \right]1~mA\)

    \(\Rightarrow \frac{1.2}{1.1}=\frac{12}{11}~mA\)

  • Question 17
    2 / -0.33

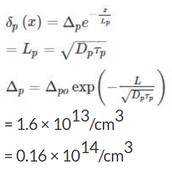
    Holes are injected into n-type Ge so that the at the surface of the semiconductor hole concentration is 1014/cm3. If diffusion constant of a hole in Ge is 49cm2/sec and minority carrier lifetime is τp = 10-3 sec. Then the hole concentration Δp at a distance of 4mm from the surface is ______1014/cm3.

    Solution

  • Question 18
    2 / -0.33

    The donor impurity must have _______ electrons.

    Solution
    • Atoms having 5 valence electrons acts as donor impurities 
    • Antimony is a donor impurity as it has five valence band electrons.
    • Atoms having 3 valence electrons acts as acceptor impurities
    • Boron and Indium are acceptor impurities.

    Important Points: When we add n-type or donor impurities to the semiconductor, the width of the forbidden energy gap in the lattice structure is reduced. Due to an addition of donor atoms, allowable energy levels are introduced a small distance below the conduction band. These new allowable levels are discrete because the added impurity atoms are placed far apart and hence their interaction is small.

  • Question 19
    2 / -0.33

    In N-type semi conductor, the majority carriers are______.

    Solution

    Concept:

    • The material which is not a good conductor or a good insulator is called as a semiconductor.
    • For example: Silicon
    • The charge carriers which are present in more quantity in a semiconductor compared to other particles are called the majority charge carrier.

    There are two types of semiconductors:

    P-type semiconductor:

    • The semiconductor having holes as majority charge carriers and electrons as a minority charge carrier is called a P-type semiconductor.

    N-type semiconductor:

    • The semiconductor having electrons as majority charge carriers and holes as a minority charge carrier are called N-type semiconductor.
  • Question 20
    2 / -0.33

    N-type semiconductor is obtained by doping silicon with

    Solution

    Semiconductor: Semiconductors are the materials that have a conductivity between conductors and insulators.

    • Semiconductors are made of compounds such as gallium arsenide or pure elements, such as germanium or silicon.
    • There are two types of semiconductor:
    1. ​N-type Semiconductor
    2. P-type Semiconductor

    • In an n-type semiconductor, pentavalent impurity from the V group is added to the pure semiconductor.
    • Electrons are the majority charge carriers in the n-type semiconductor.
    • So when a pentavalent impurity is mixed into the semiconductor, the number of electrons becomes more than the number of holes.
  • Question 21
    2 / -0.33

    Consider a uniformly doped silicon bipolar transistor with a metallurgical base width of 0.5 μm and a base doping of NB = 1016 cm-3. The punch-through voltage Vpt is given as Vpt = 25 V with Punch through voltage defined as the base-collector voltage responsible for B-C depletion region to penetrate completely through the base. The collector doping concentration to meet the given punch-through voltage is (up to 2 decimal places) _____________× 1014 cm-3.(Take ϵr = 11.7)

    (Assume bias voltage at collector-base junction is very large as compared to built-in voltage at base-collector region)

    Solution

    Concept:

    The depletion region extending to the base is defined as:

    \({x_b} = {\left( {\frac{{2\epsilon{_s}\left( {{V_{bi}} + {V_{R}}} \right)}}{q}\frac{{{N_c}}}{{{N_B}}}\frac{1}{{\left( {{N_C} + {N_B}} \right)}}} \right)^{1/2}}\)

    NC, NB = Carrier and base doping concentrations

    VR = Applied reverse bias voltage

    Since punch thorough voltage (Vpt) >> Vbi, we can neglect Vbi , the above equation can be rearranged as:

    \({V_{pt}} = \frac{{ex_{{B_o}}^2}}{{2\epsilon{_s}}}\frac{{{N_B}\left( {{N_C} + {N_B}} \right)}}{{{N_C}}}\)

    XB0 = Metallurgical base width

    Calculation:

    Putting on the respective values, we get:

    \( 25 = \frac{{\left( {1.6 \times {{10}^{ - 19}}} \right){{\left( {0.5 \times {{10}^{ - 4}}} \right)}^2}\left( {{{10}^{16}}} \right)\left( {{N_C} + {{10}^{16}}} \right)}}{{2\left( {11.7} \right)\left( {8.85 \times {{10}^{ - 14}}} \right){N_C}}}\)

    \(12.94 = 1 + \frac{{{{10}^{16}}}}{{{N_C}}}\)

    NC = 8.38 × 1014 cm-3

  • Question 22
    2 / -0.33

    An n-type semiconductor can be obtained by doping pure silicon with

    Solution

    N-type Semiconductor:

    • An n-type semiconductor is an intrinsic semiconductor doped with phosphorus (P), arsenic (As), or antimony (Sb) as an impurity.
    • Silicon of Group IV has four valence electrons and phosphorus of Group V has five valence electrons.
    • If a small amount of phosphorus is added to a pure silicon crystal, one of the valence electrons of phosphorus becomes free to move around (free-electron*) as a surplus electron. When this free electron is attracted to the “+” electrode and moves, current flows.

    P-type Semiconductor:

    • Impurities such as Aluminium, Gallium, and Indium (elements having three valence electrons) are added to P-type semiconductors.
    • Impurities are added to P-type semiconductors in order to increase the number of holes (also known as Acceptor atoms).
    • In a P-type semiconductor, the majority of charge carriers are holes whereas the free electrons are in minority.

  • Question 23
    2 / -0.33

    What kind of semiconductor is formed when phosphorus is added to silicon?

    Solution

    A semiconductor is a solid substance that has a conductivity between an insulator and metals. Semiconductors have conductivity due to many factors like the addition of an impurity or because of temperature effects.

    N-type semiconductors: An extrinsic semiconductor where the dopant atoms provide extra conduction electrons to the host material like Phosphorus (P) in Silicon Si called donor impurities.

    This creates an excess of negative (n-type) electron charge carriers that are able to move freely.

    In the donor replacement atom, the outermost shell ( valance shell) contains 5 electrons.

    Example: Phosphorus (P) etc.

    Important Points

    P-type semiconductors: A semiconductor, when the impurity (acceptor) with tri valency is added to pure semiconductors, then it is known as a p-type semiconductor.

    Impurities with tri valency such as Boron (B), Gallium (Ga), Indium(In), Aluminium(Al), etc are called acceptor impurity.

    In the acceptor replacement atom, the outermost shell (valance shell) contains 3 electrons.

    Example: Boron (B), Gallium (Ga), Indium (In), Aluminium (Al), etc.

    So, the value of the valance electron is 3.

  • Question 24
    2 / -0.33

    Why do donor impurities in an n-type semiconductor facilitate electrical conduction compared to an intrinsic semiconductor?

    Solution

    Donor impurities (e.g., phosphorus) in n-type semiconductors add extra electrons by creating donor energy levels just below the conduction band. These electrons are easily excited to the conduction band, increasing the number of free electrons available for conduction compared to an intrinsic semiconductor, which relies on thermal excitation across the bandgap.

    • Option A: Incorrect, as donors don’t create holes.

    • Option B: Correct, as donors add conduction electrons.

    • Option C: Incorrect, as donors reduce the effective excitation energy, not widen the bandgap.

    • Option D: Incorrect, as donors don’t reduce mobility.

  • Question 25
    2 / -0.33
    Excess carriers have been generated uniformly in a semiconductor to a concentration of δn(0) = 1015 cm-3 (δn(0) represents the excess carrier concentration at t = 0). The forcing function generating the excess carriers turns off at time t = 0. If the excess carrier lifetime is τno = 10-6sec, the excess carrier concentration at t = 10μs is:
    Solution

    Concept:

    Excess carriers once generated decay exponentially due to recombination at a rate given by:

    \(\delta n\left( t \right) = \delta n\left( 0 \right){e^{ - \frac{t}{\tau }}}\)

    Whre τ = Minority Carrier Recombination Lifetime

    Calculation:

    Given, δn(0) = 1015cm-3.

    τno = 10-6sec = 1 μsec

    \(\Rightarrow \delta n\left( t \right) = \delta n\left( 0 \right){e^{ - \frac{t}{\tau }}}\)

    ⇒ At t = 10μsec

    \(\Rightarrow \delta n\left( {10\mu } \right) = \delta n\left( 0 \right){e^{ - \frac{{10\mu }}{{1\mu }}}}\)

    ⇒ δn(10μ) = 1015 × e-10

    = 4.54 × 1010cm-3

Self Studies
User
Question Analysis
  • Correct -

  • Wrong -

  • Skipped -

My Perfomance
  • Score

    -

    out of -
  • Rank

    -

    out of -
Re-Attempt Weekly Quiz Competition
Self Studies Get latest Exam Updates
& Study Material Alerts!
No, Thanks
Self Studies
Click on Allow to receive notifications
Allow Notification
Self Studies
Self Studies Self Studies
To enable notifications follow this 2 steps:
  • First Click on Secure Icon Self Studies
  • Second click on the toggle icon
Allow Notification
Get latest Exam Updates & FREE Study Material Alerts!
Self Studies ×
Open Now