Self Studies

Signals and Sys...

TIME LEFT -
  • Question 1
    2 / -0.33

    If δ(t) is a unit impulse function, then the value of integral \(\mathop \smallint \nolimits_{ - \infty }^\infty {e^{ - t}}\delta \left( {2t - 2} \right)\;dt\) equals to _______. (Correct up to two decimal places)

  • Question 2
    2 / -0.33

    If the signal cos (15 t) is sampled at a sampling interval of Ts and the resulting discrete time signal is periodic with period 4. Then the sampling interval Ts may be:

  • Question 3
    2 / -0.33

    The raised cosine pulse x(t) is defined as

    \(x\left( t \right) = \left\{ {\begin{array}{*{20}{c}} {\frac{1}{2}(\cos \omega t + 1),\;\;\;}\\ {0,} \end{array}\begin{array}{*{20}{c}} { - \frac{\pi }{\omega } \le t \le \frac{\pi }{\omega }}\\ {otherwise} \end{array}} \right.\)

    The total energy of x(t) is kπ / ω such that the value of k (Correct upto two decimal places) is _______. 

  • Question 4
    2 / -0.33

    The signal x(t) = A cos(ωt + φ) is:

  • Question 5
    2 / -0.33

    Let x[n] = x[-n] Let X(z) be the Z-transform of x[n]. if 1 + j2 is a zero of X(z). Which one of the following must also be a zero of X(z)

  • Question 6
    2 / -0.33

    Given that H(z) is a causal and stable IIR filter, if z in H(z) is replaced by \(\frac{1}{z}\), the resulting filter will be

  • Question 7
    2 / -0.33

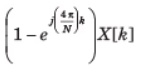
    Consider a periodic signal x[n] with period N and FS coefficients X [k]. Determine the FS coefficients Y [k] of the signal y[n] given in question.

    y[n] = x[ n - no]

  • Question 8
    2 / -0.33

    Consider a periodic signal x[n] with period N and FS coefficients X [k]. Determine the FS coefficients Y [k] of the signal y[n] given in question.

    y[n] = x[n] - x[n-2 ]

  • Question 9
    2 / -0.33

    Consider a periodic signal x[n] with period N and FS coefficients X [k]. Determine the FS coefficients Y [k] of the signal y[n] given in question.

    y[n] = x[n] + x[n + N/2 ] , (assume that N is even)

  • Question 10
    2 / -0.33

    Consider a periodic signal x[n] with period N and FS coefficients X [k]. Determine the FS coefficients Y [k] of the signal y[n] given in question.

    y[n] = x*[-n]

  • Question 11
    2 / -0.33

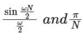
    The frequency response and the main lobe width for rectangular window are

  • Question 12
    2 / -0.33

    A function is given by f(t) = cos2t + cos 2t. Which of the following is true?

  • Question 13
    2 / -0.33

    A voltage having the laplace transform  is applied across a 2H inductor having zero initial current What is the current in the inductor at t = ∞?

  • Question 14
    2 / -0.33

    The function f (t) shown in figure will have laplace transform as:

  • Question 15
    2 / -0.33

  • Question 16
    2 / -0.33

  • Question 17
    2 / -0.33

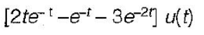
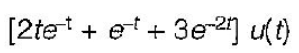
    If the input to LTI system is x(t) = e-3t u(t). Then the output is y(t) = [e-t - e-2t] u(t) the transfer function of the system is

  • Question 18
    2 / -0.33

    If an all pass causal LTI system is described by the expression

    y[n] – ay[n - 1] = bx[n] + x[n - 1]

    Then the ratio b / a = ______

  • Question 19
    2 / -0.33

    The time-domain signal corresponding to the following z-transform is:

    \(X\left( z \right) = \mathop \sum \limits_{k = 5}^{10} \frac{1}{k}{z^{ - k}},\left| {\rm{z}} \right| > 0\)

  • Question 20
    2 / -0.33

  • Question 21
    2 / -0.33

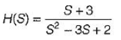
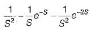
    The transfer functions of the sytem is given by  The impulse response of the system is

  • Question 22
    2 / -0.33

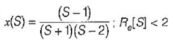
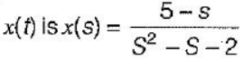
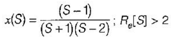
    The Laplace transform of a continuous signal  If the Fourier transform of the signal exists, then x(t) is

  • Question 23
    2 / -0.33

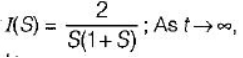
    The laplace transform of i(t) is given by  the value of i(t) tends to

  • Question 24
    2 / -0.33

    Let X(e) denote the Fourier transform of the signal x[n], where:

    \(x\left( n \right) = \left\{ { - 1,0,1,\begin{array}{*{20}{c}} 2\\ \uparrow \end{array},1,0,1,2,1,0, - 1} \right\}\)

    The value of F-1 {Re{X(e)}} at n = 0 will be ________. (The arrow represents the origin)

  • Question 25
    2 / -0.33

    A three point filter with impulse response \(h\left[ n \right] = \begin{array}{*{20}{c}}{\left\{ {p,q,p} \right\}}\\ \uparrow \end{array}\) that completely blocks \(f = \frac{1}{4}\;Hz\) and passes \(f = \frac{1}{8}\;Hz\) with unity gain. The value of p +q is _____.

Submit Test
Self Studies
User
Question Analysis
  • Answered - 0

  • Unanswered - 25

  • 1
  • 2
  • 3
  • 4
  • 5
  • 6
  • 7
  • 8
  • 9
  • 10
  • 11
  • 12
  • 13
  • 14
  • 15
  • 16
  • 17
  • 18
  • 19
  • 20
  • 21
  • 22
  • 23
  • 24
  • 25
Submit Test
Self Studies Get latest Exam Updates
& Study Material Alerts!
No, Thanks
Self Studies
Click on Allow to receive notifications
Allow Notification
Self Studies
Self Studies Self Studies
To enable notifications follow this 2 steps:
  • First Click on Secure Icon Self Studies
  • Second click on the toggle icon
Allow Notification
Get latest Exam Updates & FREE Study Material Alerts!
Self Studies ×
Open Now