Self Studies

Control Systems Test 1

Result Self Studies

Control Systems Test 1
  • Score

    -

    out of -
  • Rank

    -

    out of -
TIME Taken - -
Self Studies

SHARING IS CARING

If our Website helped you a little, then kindly spread our voice using Social Networks. Spread our word to your readers, friends, teachers, students & all those close ones who deserve to know what you know now.

Self Studies Self Studies
Weekly Quiz Competition
  • Question 1
    2 / -0.33

    Consider the transfer function given below.

    \(T\left( s \right) = \frac{{{K_1}s + {K_2}}}{{{s^4} + {K_1}{s^3} + {s^2} + {K_2}s + 1}}\)

    What is the constraints on K1 and K2 such that the function will have only two poles on jω-axis?
    Solution

    The characteristic equation of the system is:

    s4 + K1s3 + s2 + K2 s + 1 = 0

    For the characteristic equation, we form the Routh’s array as:

    s4

    1

    1

    1

    s3

    K1

    K2

     

    s2

    \(\frac{{{K_1} - {K_2}}}{{{K_1}}}\)

     

     

    s1

    \(\frac{{K_1^2 - {K_1}{K_2} + K_2^2}}{{{K_2} - {K_1}}}\)

     

     

    s0

    1

     

     

     

    For the system having two imaginary poles, the required condition is:

    \(K_1^2 - {K_1}{K_2} + K_2^2 = 0\)  

    But the above equation has no real roots, so there is no relationship between K1 and K2 that will yield just two jω-poles. 

  • Question 2
    2 / -0.33

    Which of the following polar plots represents a high pass filter for the gain varied from 0 to ?

    Solution

    For high pass filter zero is closer to pole.

    \(T.F = \frac{{s + a}}{{s + b}}\)

    \(\left| a \right| < \left| b \right|\)

    Let a = 1

    b = 2

    \(\phi = {\tan ^{ - 1}}\left( \omega \right) - {\tan ^{ - 1}}\left( {\frac{\omega }{2}} \right)\)

    \(M = \left| {GH} \right| = \sqrt {\frac{{1 + {\omega ^2}}}{{4 + {\omega ^2}}}}\)

    At ω = 0

    \(M = \frac{1}{2} = 0.5\)

    At ω →

    m = 1

    At ω = 2

    \(\phi = {\tan ^{ - 1}}\left( 2 \right) - {\tan ^{ - 1}}\left( 1 \right) = + ve\)

    So the correct polar plot will be:

  • Question 3
    2 / -0.33

    As compared to an open loop system, a closed loop system is:

    Solution

    A closed loop system is:

    • More accurate: It uses feedback to correct errors, improving the precision of the system's output.
    • More stable: Feedback helps maintain desired performance despite disturbances or changes in system parameters.
    • Comparison to open loop: Open loop systems lack feedback, making them less capable of correcting deviations and maintaining stability

    Thus, option A is correct: A closed loop system is more accurate and more stable than an open loop system.

  • Question 4
    2 / -0.33

    Linear system obeys:

    Solution

    Linear system obeys both reciprocity theorem and principle of maximum power transfer.

  • Question 5
    2 / -0.33
    A proportional band of a PI controller is 40% and the reset time is 0.25s. The transfer function of the controller is given by
    Solution

    The standard transfer function of a PI controller is

    \(T\left( s \right) = {K_p} + \frac{{{K_I}}}{s} = {K_p}\;\left( {1 + \frac{1}{{{T_I}s}}} \right)\)

    Where \({T_I} = \frac{{{K_p}}}{{{k_I}}}\) is known as integral or reset time.

    Proportional band \(\left( {PB} \right) = \frac{{100}}{{{K_p}}}\)

    The transfer function of PI controller is

    \(T\left( s \right) = 2.5\;\left( {1 + \frac{1}{{0.25s}}} \right)\)

    \(= 2.5\;\left( {1 + \frac{4}{s}} \right)\)

  • Question 6
    2 / -0.33

    The most commonly used input signal(s) in a control system is/are:

    Solution

    A step function is commonly used as a input signal in a control system because:

    • If we go through first order system, here we calculate steady-state error by providing input function then we got zero steady-state error.
    • Actually in step function, output follows input always that means steady error is minimum.

    Step Function:

  • Question 7
    2 / -0.33
    An LTI system is governed by y ‘’(t) + 16y' (t) + 15y (t) = x’(t) + 5x(t) the steady state value of the unit step response is ________.
    Solution

    Concept

    The steady-state value of the output can be calculated using final value theorem

    \(\mathop {{\rm{lt}}}\limits_{s \to 0} s\left[ {y\left( s \right)} \right]\)

    \(x\left( t \right)\mathop \to \limits^{L.T} s\;X\left( s \right)\)

    \(u\left( t \right)\mathop \to \limits^{L.T} \frac{1}{s}\)

    Applications:

    \({s^2}\;Y\left( s \right) + \;16\;sY\left( s \right)\; + \;15\;Y\left( s \right)\; = 1 + \frac{5}{s}\)

    \(\left( {{s^2} + 16s + 15} \right)Y\left( s \right) = 1 + \frac{5}{s}\)

    \(Y\left( S \right) = \frac{{s + 5}}{{s\left( {{s^2}+16s + 15} \right)}}\)

    The steady-state value

    \(\mathop {\lim }\limits_{S \to 0} \frac{{s\left( {s + 5} \right)}}{{s\left( {{s^2} + 16s + 15} \right)}} = \frac{1}{3}\)

  • Question 8
    2 / -0.33

    As compared to a closed loop system, an open loop system is:

    Solution
    • The main difference between an open-loop system and a closed-loop system is that the closed-loop system has the ability to self-correct while the open-loop system doesn't.
    • Consequently, closed-loop systems are often called feedback control systems while open-loop systems are also known as non-feedback controls.
  • Question 9
    2 / -0.33

    Which of the following is an advantage of a closed-loop control system over an open-loop control system?

    Solution
    • A closed-loop system automatically corrects errors and disturbances by using feedback. so C is correct 
    • It continuously compares the output with the desired value and adjusts accordingly.
    • Open-loop systems do not correct errors since they lack feedback.
    • While closed-loop systems reduce steady-state error, they may not always eliminate it completely (hence D is incorrect).
    • They are more complex and costly than open-loop systems, making A incorrect.
    • Closed-loop systems require feedback, so B is incorrect.
  • Question 10
    2 / -0.33

    A ramp function occurs at t = a. It's Laplace transform is:

    Solution

    Ramp function occurring at t = 0 is denoted by r(t) = tu(t).

    Ramp function occurring at t - a will be denoted: 

  • Question 11
    2 / -0.33

    In open loop control systems, the control action is independent of the desired________.

    Solution

    - In open loop control systems, the control action is independent of the desired output signal.
    - The system operates without feedback, meaning it doesn't compare the output with the desired value.
    - Control actions are predefined and do not adjust based on output changes.
    - This can lead to inaccuracies if the system or external conditions change.
    - Open loop systems are typically simpler but less accurate compared to closed loop systems, where feedback adjusts the control action.

  • Question 12
    2 / -0.33

    A standard signal used for comparison in a closed-loop control system is called the

    Solution

    Reference Input in Closed-Loop Control Systems
    - In a closed-loop control system, the reference input is a standard signal that is used for comparison with the output of the system.
    - It represents the desired or target value that the system is trying to achieve.
    - The reference input is typically a known signal that is used to evaluate the performance of the system.
    - By comparing the output of the system to the reference input, the controller can make adjustments to ensure that the system operates as desired.
    - The reference input can take various forms, such as a step input, ramp input, sinusoidal input, etc.
    - The controller uses the error between the reference input and the actual output of the system to adjust the control signals and minimize the error.
    - The reference input plays a crucial role in closed-loop control systems by providing a benchmark for performance evaluation and adjustment of control signals.

  • Question 13
    2 / -0.33

    The difference between the output response and the reference signal is known as the _____ signal.

    Solution

    Actuating Signal
    - The actuating signal is the difference between the output response and the reference signal in a control system.
    - It is used to drive the system towards the desired setpoint by adjusting the input signals.
    - The actuating signal is crucial for maintaining stability and accuracy in control systems.
    - By continuously comparing the output response with the reference signal, the actuating signal ensures that the system stays on track and responds appropriately to any changes or disturbances.
    - Overall, the actuating signal plays a key role in ensuring that the control system operates effectively and achieves its desired objectives.

  • Question 14
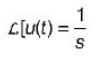
    2 / -0.33

    The Laplace transform of unity function is

    Solution

    The laplace transform of unity function i.e.

  • Question 15
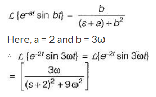
    2 / -0.33

    The Laplace transform of e-2t sin 3ωt is

    Solution

  • Question 16
    2 / -0.33

    A control system is said to be robust when

    Solution

    Explanation of a robust control system:

    Low sensitivities: A robust control system should have low sensitivities to uncertainties and disturbances. This means that even if there are slight variations or disturbances in the system, the control system should be able to maintain stability and performance without significant changes. Low sensitivities ensure that the system can effectively handle variations in parameters without compromising its operation.

    Stable over a wide range of parameter variation: Another important aspect of a robust control system is its ability to remain stable over a wide range of parameter variations. This means that the system should be able to maintain its stability and performance even when there are significant changes in the parameters or operating conditions. A robust control system should be able to adapt to different conditions and still perform optimally.

    Both (a) and (b): Therefore, a robust control system is one that not only has low sensitivities to uncertainties and disturbances but also remains stable over a wide range of parameter variations. By combining these two characteristics, a robust control system can effectively handle uncertainties and variations in the system, ensuring reliable and consistent performance.

  • Question 17
    2 / -0.33

    The state variable description of an LTI system is given below.

    \({\dot x_1} = - \frac{1}{{{T_1}}}{x_1} + \frac{1}{{{T_1}}}u\)

    \({\dot x_2} = - \frac{1}{{{T_2}}}{x_2} + \frac{1}{{{T_2}}}u\)

    y = x1

    where y is the output and u is the input. The system is complete state controllable for
    Solution

    The state-space representation of the system is

    \(\left[ {\begin{array}{*{20}{c}} {{{\dot x}_1}}\\ {{{\dot x}_2}} \end{array}} \right] = \left[ {\begin{array}{*{20}{c}} { - \frac{1}{{{T_1}}}}&0\\ 0&{ - \frac{1}{{{T_2}}}} \end{array}} \right]\left[ {\begin{array}{*{20}{c}} {{x_1}}\\ {{x_2}} \end{array}} \right] + \left[ {\begin{array}{*{20}{c}} {\frac{1}{{{T_1}}}}\\ {\frac{1}{{{T_2}}}} \end{array}} \right]\)

    Comparing it to the standard state-space model, we have the matrices:

    \(A = \left[ {\begin{array}{*{20}{c}} { - \frac{1}{{{T_1}}}}&0\\ 0&{ - \frac{1}{{{T_2}}}} \end{array}} \right]\;and\;B = \left[ {\begin{array}{*{20}{c}} {\frac{1}{{{T_1}}}}\\ {\frac{1}{{{T_2}}}} \end{array}} \right]\)

    \(AB = \left[ {\begin{array}{*{20}{c}} { - \frac{1}{{{T_1}}}}&0\\ 0&{ - \frac{1}{{{T_2}}}} \end{array}} \right]\left[ {\begin{array}{*{20}{c}} {\frac{1}{{{T_1}}}}\\ {\frac{1}{{{T_2}}}} \end{array}} \right] = \left[ {\begin{array}{*{20}{c}} { - \frac{1}{{T_1^2}}}\\ { - \frac{1}{{T_2^2}}} \end{array}} \right]\)

    So, the controllability matrix is:

    \({C_M} = \left[ {B\;AB} \right] = \left[ {\begin{array}{*{20}{c}} {\frac{1}{{{T_1}}}}&{ - \frac{1}{{T_1^2}}}\\ {\frac{1}{{{T_2}}}}&{ - \frac{1}{{T_2^2}}} \end{array}} \right]\)

    For complete state controllability, the matrix CM must be of rank r = 2, i.e.

    |CM| ≠ 0

    \(\left| {\begin{array}{*{20}{c}} {\frac{1}{{{T_1}}}}&{ - \frac{1}{{T_1^2}}}\\ {\frac{1}{{{T_2}}}}&{ - \frac{1}{{T_2^2}}} \end{array}} \right| \ne 0\)

    \(- \frac{1}{{{T_1}T_2^2}} + \frac{1}{{{T_2}T_1^2}} \ne 0\)

    \(\frac{1}{{{T_1}{T_2}}}\left( {\frac{1}{{{T_1}}} - \frac{1}{{{T_2}}}} \right) \ne 0\)

    \(\frac{1}{{{T_1}{T_2}}}\left( {\frac{{{T_2} - {T_1}}}{{{T_1}{T_2}}}} \right) \ne 0\)

    \(\frac{{\left( {{T_2} - {T_1}} \right)}}{{{{\left( {{T_1}{T_2}} \right)}^2}}} \ne 0\)

    (T2 – T1) ≠ 0 or T1 ≠ T2

    Therefore, the system is completely state controllable for T1 ≠ T2.

  • Question 18
    2 / -0.33

    Which of the following is not correctly matched?

    (CLCS = Closed Loop Control System and OLCS = Open Loop Control System)

    Solution

    Radar tracking systems are generally closed-loop systems because they use feedback to continuously adjust and track an object. However, if this refers to the initial detection phase, it might not use feedback, making it an open-loop system. Without additional context, this might be incorrect.

  • Question 19
    2 / -0.33

    Which of the following is not true regarding an open loop control system?

    Solution

    The effect of parameter variation and internal noise is more in an open loop system.

  • Question 20
    2 / -0.33

    As compared to a closed loop system, an open loop system is

    Solution

    Open-loop systems do not use feedback to compare the output with the input, so they cannot correct errors caused by disturbances or changes in system parameters; therefore they are less accurate.

    Stability depends on the pole locations of the system's characteristic equation. A closed-loop system uses feedback that can modify the characteristic equation and is commonly used to improve or ensure stability. Because open-loop systems lack this corrective feedback, they are generally less stable than a suitably designed closed-loop system.

    Hence, an open-loop system is less stable and less accurate, so option B is the correct choice.

  • Question 21
    2 / -0.33

    The forward-path transfer function of a ufb system is

    For system to be stable, the range of K is

    Solution

  • Question 22
    2 / -0.33

    The closed loop transfer function for this system is

    Solution

  • Question 23
    2 / -0.33

    The state space representation of an LTI system has \(A = \left[ {\begin{array}{*{20}{c}} 1&2\\ 2&1 \end{array}} \right]\)

    Which among the following can represent the same system
    Solution

    The given system has characteristic equation given by: |sI - A| = 0

    \(\Rightarrow \left| {\begin{array}{*{20}{c}} {s - 1}&{ - 2}\\ { - 2}&{s - 1} \end{array}} \right| = 0\)

    ⇒ (s - 1)2 = 4

    s = +3, -1

    The system has poles at s = 3 and s = -1

    For option (d)

    The position of poles from characteristic equation:

    \(\left| {\begin{array}{*{20}{c}} {s - 27}&{42}\\ { - 16}&{s + 25} \end{array}} \right| = 0\)

    (s – 27) (s + 25) + (16) (42) = 0

    s2 – 2s – 675 + 672 = 0

    s2 – 2s – 3 = 0

    s = +3, -1
  • Question 24
    2 / -0.33

    The poles location for this system is shown in fig.The value of K is

    Solution

  • Question 25
    2 / -0.33

    The open loop transfer function of a system is as

    The range of K for stable system will be

    Solution

    The characteristic equation is 1 + G(s)H(s) = 0

    ⇒ s(s - 0.2)(s2 + s + 0.6)+K(s + 0.1) = 0
    s4 +0.8 s3 +0.4s2 +(K - 0.12)s +0.1K = 0
    Routh table is as shown in fig. S.62.29

    K > 0, 055 -125K > 0 ⇒ K < 0.44 -125K2 +0.63K -0066 >0

    (K - 0.149)(K - 0355) < 0, 0.149 < K < 0.355

Self Studies
User
Question Analysis
  • Correct -

  • Wrong -

  • Skipped -

My Perfomance
  • Score

    -

    out of -
  • Rank

    -

    out of -
Re-Attempt Weekly Quiz Competition
Self Studies Get latest Exam Updates
& Study Material Alerts!
No, Thanks
Self Studies
Click on Allow to receive notifications
Allow Notification
Self Studies
Self Studies Self Studies
To enable notifications follow this 2 steps:
  • First Click on Secure Icon Self Studies
  • Second click on the toggle icon
Allow Notification
Get latest Exam Updates & FREE Study Material Alerts!
Self Studies ×
Open Now