Self Studies

Communications ...

TIME LEFT -
  • Question 1
    2 / -0.33

    The number of cars arriving at ICICI bank drive-in window during 10-min period is Poisson random variable X with b = 2.

  • Question 2
    2 / -0.33

    When a carrier signal is amplitude modulated by a sinusoidal signal, the antenna current of the transmitter is increased by 20% from that of an unmodulated case. The modulation index of the AM signal is equal to_______. (Correct up to three decimal places)

  • Question 3
    2 / -0.33

    A speech signal is sampled at 8 kHz compressed and encoded into 8-bits/sample. The PCM data is 8 QAM modulated and transmitted through an AWGN based cosine filter having roll-off factor 0.2 is used, then required bandwidth for transmission is:

  • Question 4
    2 / -0.33

    Delhi averages three murder per week and their occurrences follow a poission distribution

    The probability that there will be five or more murder in a given week is

  • Question 5
    2 / -0.33

    The random variable X is defined by the density

    The expected value of g(X) = X3 is

  • Question 6
    2 / -0.33

    The random variables X and Y have variances 0.2 and 0.5 respectively. Let Z= 5X-2Y. The variance of Z is?

  • Question 7
    2 / -0.33

    Let (𝑡) be a wide sense stationary (WSS) random process with power spectral density 𝑆𝑋(𝑓). If Y(t) is the process defined as 𝑌(𝑡) = 𝑋(2𝑡 − 1), the power spectral density 𝑆𝑌(𝑓) is

  • Question 8
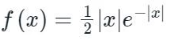
    2 / -0.33

    The variance of the random variable X with probability density function  is

  • Question 9
    2 / -0.33

    An on-off Baseband signal is transmitted and the probability of error was found to be \({P_{e1}} = Q\left( {\sqrt k } \right).\) The same signal was ASK modulated and the probability of error was \({P_{{e_2}}} = Q\left( {\sqrt {zk} } \right).\) The z = _____

    (Assume Amplitude of carrier in ASK = Maximum amplitude of on-off signal)

  • Question 10
    2 / -0.33

    The Bandwidth of a TV video plus audio signal is 4.5 MHz. If this signal is converted into PCM bit stream with 1024 quantization levels, the bitrate of the resulting signal will be:

    (Signal is sampled at a rate 10% above the Nyquist rate)

  • Question 11
    2 / -0.33

    Let x be a continuous Random variable with PDF

    \(f_{x}(x)=\frac{3}{x^4}\), for x ≥ 1

    The variance of X is:

  • Question 12
    2 / -0.33

    A source generates 4 symbols with probabilities P(x1) = 0.4, P(x2) = 0.3, P(x3) = 0.2 and P(x4) = 0.1. Find the amount of information contained in the message x1 x2 x1 x3

  • Question 13
    2 / -0.33

    Consider a random process Z(t) = 2X(t) + 3Y(t), where X(t) and Y(t) are mutually orthogonal stationary random processes with zero mean and autocorrelation functions \({R_{XX}}\left( \tau \right) = 5{e^{ - 2\tau }}\) and \({R_{YY}}\left( \tau \right) = 3\tau + 7\), respectively. The power in Z(t) is:

  • Question 14
    2 / -0.33

    A Random variable X is uniformly distributed on the interval (-5, 15). Another random variableY = e -X/5 is formed. The value of E[Y ] is

  • Question 15
    2 / -0.33

    An AM signal is represented by:

    x(t) = (20 + 4 sin 500 πt) cos (2π × 105 t) V

    which of the following conclusion is/are correct?

  • Question 16
    2 / -0.33

    A joint sample space for two random variable X and Y has four elements (1, 1), (2, 2), (3, 3) and (4, 4). Probabilities of these elements are 0.1, 0.35, 0.05 and 0.5 respectively.

    The probability of the event {X ≤ 2.5, Y ≤ 6} is

  • Question 17
    2 / -0.33

    In a system, voice signals with maximum frequency component of 3.5 kHz are sampled at twice the Nyquist rate. The sampled signal is quantized into levels that produce N symbols {s0, s1, s2, … , sN-2, sN-1}. These symbols occur independently with probabilities:

    \(\frac{1}{2},\;\frac{1}{4},\frac{1}{8}, \ldots ,\frac{1}{{{2^{N - 1}}}},\frac{1}{{{2^{N - 1}}}}\).

    The entropy as a function of N and the information rate of the message source for N = 8 is:

  • Question 18
    2 / -0.33

    Two random variable X and Y have the density function

    The X and Y are

  • Question 19
    2 / -0.33

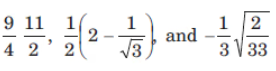
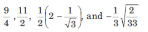
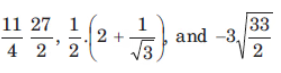
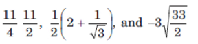
    The value of σx2, σy2, RXY and ρ are respectively

  • Question 20
    2 / -0.33

    The mean value of the random variable

    W = (X + 3Y)2 + 2X + 3 is

  • Question 21
    2 / -0.33

    A (7, 4) block code has a generator matrix as shown.

    \(G = \left[ {\begin{array}{*{20}{c}}1&0&0&0&1&1&0\\0&1&0&0&0&1&1\\0&0&1&0&1&1&{1}\\0&0&0&1&1&0&1\end{array}} \right]\)

    If there is error in the 7th Bit then syndrome for the same will be

  • Question 22
    2 / -0.33

    A superheterodyne receiver is to operate in the frequency range 550 kHz – 1650 kHz, with an intermediate frequency of 450 kHz. Let r = Cmax/Cmin denote the required capacitance ratio of the local oscillator and f’c denote the image frequency (in kHz) of the incoming signal.

    If the receiver is tuned to 700 kHz, then which of the following results is/are true?

  • Question 23
    2 / -0.33

    A CRT Terminal is used to enter alphanumeric data into a computer. The CRT is connected to the computer through a voice grade telephone line having a usable bandwidth of 3000 Hz and output \(\frac{S}{N}\) of 10dB. Assume that the terminal has 128 characters and the data sent from the terminal consists of independent sequence of equiprobabe characters maximum rate at which data can be transmitted from terminal to computer without errors.

  • Question 24
    2 / -0.33

    If machine is not properly adjusted, the product resistance change to the case where ax = 1050Ω . Now the rejected fraction is

  • Question 25
    2 / -0.33

    A The power spectrum of a random noise X(t) is defined as:

    \({S_X}\left( \omega \right) = \frac{3}{{49 + {\omega ^2}}}\)

    This is applied to a differentiator that has a transfer function H(ω) = jω. The output is then applied to a network for which h(t) = t2 e-7t u(t).

Submit Test
Self Studies
User
Question Analysis
  • Answered - 0

  • Unanswered - 25

  • 1
  • 2
  • 3
  • 4
  • 5
  • 6
  • 7
  • 8
  • 9
  • 10
  • 11
  • 12
  • 13
  • 14
  • 15
  • 16
  • 17
  • 18
  • 19
  • 20
  • 21
  • 22
  • 23
  • 24
  • 25
Submit Test
Self Studies Get latest Exam Updates
& Study Material Alerts!
No, Thanks
Self Studies
Click on Allow to receive notifications
Allow Notification
Self Studies
Self Studies Self Studies
To enable notifications follow this 2 steps:
  • First Click on Secure Icon Self Studies
  • Second click on the toggle icon
Allow Notification
Get latest Exam Updates & FREE Study Material Alerts!
Self Studies ×
Open Now