Self Studies

Communications ...

TIME LEFT -
  • Question 1
    2 / -0.33

    For an AM system with modulation index μa = 0.6, the ratio of SSB signal power to the AM signal power is _________. (Correct up to three decimal places)

  • Question 2
    2 / -0.33

    An angle modulated signal s(t) is given as

    s(t) = Ac cos [ωct + 2 cos 60 πt + 5 cos 40πt]

    where ωc is the carrier frequency.

    What will be the peak phase deviation (in radians) of the signal? 

  • Question 3
    2 / -0.33

    Let x and y be two random variables. If x takes two values {+1, -1} and y is defined as y = -x further if E[x] = 0 and var[x] = 1. Then the variance of x + y is _________.

  • Question 4
    2 / -0.33

    A communication channel of bandwidth 75 kHz is required to transmit binary data at a rate of 0.1 Mb/s using raised-cosine pulses. The roll-off factor α will be ______.

  • Question 5
    2 / -0.33

    For the Hamming block code, if ‘n’ be total word length of the block and ‘k’ be the number of information bit, then an allowable code of this (n, k) family of Hamming code is

  • Question 6
    2 / -0.33

    In a certain course, letter grades A, B, C, D, and E are given with equal numbers/probability. When the instructor tells a student that his grade is not E, how much information in bits did the student receive?

  • Question 7
    2 / -0.33

    Suppose Y is a random variable representing the number of successes in 5 independent Bernoulli trials with success probability p = 0.6. What is the probability that Y equals 3?

  • Question 8
    2 / -0.33

    Consider a low-pass random process with a white-noise power spectral density  as shown in fig.

    The auto correlation function Rx(τ) is

  • Question 9
    2 / -0.33

    The modulating index of an AM-signal is reduced from 0.8 to 0.5. The ratio of the total power in the new modulated signal to that of the original signal will nearly be

  • Question 10
    2 / -0.33

    A random process consists of three samples function X(t, s1) = 2, X(t, s2) = 2cos t1 and X(t, s3) = 3sint - each occurring with equal probability. The process is

  • Question 11
    2 / -0.33

    A random variable X is uniformly distributed on the interval (-5, 15).

    Another random variable \(Y = {e^{ - \frac{X}{5}}}\) is formed. What is the expected value of Y?

  • Question 12
    2 / -0.33

    The auto correlation function of a stationary ergodic random process is shown in fig.

    The mean value E[X(t)] is

  • Question 13
    2 / -0.33

    An angle modulated signal is given as x(t) = 100 cos (2πfct + 4 sin 2πfm t) where fc = 1000 MHz and fm = 1000 Hz.

    For the given information, which of the following statements is/are correct?

  • Question 14
    2 / -0.33

    The auto correlation function of a stationary ergodic random process is shown in fig.

    The variance σx2 is

  • Question 15
    2 / -0.33

    A music signal band-limited to 15 kHz is sampled at 45 kHz samples/sec and it sent using 8 bit PCM. SNR of this system was found to be 10 dB. If the sampling rate is reduced to 35 × 103 samples/sec. The improvement in SNR assuming bit rate does not exceed previous case is _____ dB.

  • Question 16
    2 / -0.33

    A stationary zero mean random process X(t) is ergodic has average power of 24 W and has no periodic component. The valid auto correlation function is

  • Question 17
    2 / -0.33

    A stationary random process X(t) is applied to the input of a system for which  If E[X(t)] = 2, the mean value of the system's response Y(t) is

  • Question 18
    2 / -0.33

    White noise with power density N0/2 is applied to a low pass network for which |H(0)| = 2. It has a noise bandwidth of 2 MHz. If the average output noise power is 0.1 W in a 1 - Ω( resistor, the value of N0 is

  • Question 19
    2 / -0.33

    The two-level semi-random binary process is defined by X(t) = A or – A where (n – 1) T < t < nT and the levels A and -A occur with equal probability. T is a positive and n = 0, ± 1, ± 2.

    Which of the following statements is/are correct?

  • Question 20
    2 / -0.33

    A Binary PAM employs rectangular pulses of duration Tb and amplitudes ±A to transmit digital data at rate of Rb = 105 bits/sec. If the power spectral density of the additive Gaussian noise is \(\frac{{{N_o}}}{2}\) where No = 10-2 W/Hz. The value of pulse Amplitude to achieve probability of error 10-6 is

    Given Q (4 .75) = 10-6

  • Question 21
    2 / -0.33

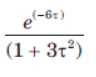
    An ideal filter with a mid-band power gain of 8 and bandwidth of 4 rad/s has noise X(t) at its input with power spectrum  The noise power at the network's output is (F(2) = 0.9773)

  • Question 22
    2 / -0.33

    White noise with power density N0/2 = 6 μW/Hz is applied to an ideal filter of gain 1 and bandwidth W rad/s. If the output's average noise power is 15 watts, the bandwidth W is

  • Question 23
    2 / -0.33

    Digital information is to be transmitted by carrier modulation through an additive Gaussian noise channel with a bandwidth of 100 kHz and N0 = 10-10 W/Hz. (Assume that \(\frac{sinx}{x}\) (sinc) pulse waveform is used)

    Which of the following statements is/are correct?

  • Question 24
    2 / -0.33

    A communication system using Binary phase shift keying uses signals 5cos (106t) for bit ‘1’ and -5cos (106t) for bit ‘0’. If two-sided power spectral density of noise is 0.125 × 10-7 W/Hz

    The bit error rate of the communication system for data rate of 20 mbps is

    \((Assume\;erfc{\left( z \right) \simeq \frac{{{e^{ - {z^2}}}}}{{\sqrt {\pi z}}}})\)

  • Question 25
    2 / -0.33

    In a transmission of a picture there are 2.25 x 106 picture elements per frame. For good reproduction 12 brightness levels are necessary. Assuming all these levels to be equiprobable, the minimum channel bandwidth required to transmit one picture in every three minutes for a signal to noise ratio of 30 decibels is ________ kHz

Submit Test
Self Studies
User
Question Analysis
  • Answered - 0

  • Unanswered - 25

  • 1
  • 2
  • 3
  • 4
  • 5
  • 6
  • 7
  • 8
  • 9
  • 10
  • 11
  • 12
  • 13
  • 14
  • 15
  • 16
  • 17
  • 18
  • 19
  • 20
  • 21
  • 22
  • 23
  • 24
  • 25
Submit Test
Self Studies Get latest Exam Updates
& Study Material Alerts!
No, Thanks
Self Studies
Click on Allow to receive notifications
Allow Notification
Self Studies
Self Studies Self Studies
To enable notifications follow this 2 steps:
  • First Click on Secure Icon Self Studies
  • Second click on the toggle icon
Allow Notification
Get latest Exam Updates & FREE Study Material Alerts!
Self Studies ×
Open Now