Self Studies

Heat Transfer Test 2

Result Self Studies

Heat Transfer Test 2
  • Score

    -

    out of -
  • Rank

    -

    out of -
TIME Taken - -
Self Studies

SHARING IS CARING

If our Website helped you a little, then kindly spread our voice using Social Networks. Spread our word to your readers, friends, teachers, students & all those close ones who deserve to know what you know now.

Self Studies Self Studies
Weekly Quiz Competition
  • Question 1
    2 / -0.33

    The temperature variation under steady heat conduction across a composite slab of two materials of conductivities k1 and k2 is shown in Fig. Then which one of the following statements holds?

    Solution

    \(Q = \frac{{{T_1} - {T_2}}}{{\frac{L}{{kA}}}} = kA\frac{{{T_1} - {T_2}}}{L}\)

    \(Q = kA\frac{{dT}}{{dx}}\)

    For same heat transfer:

    \(k \propto \frac{1}{{\frac{{dT}}{{dx}}}}\)

    \({\rm{k}} \propto \frac{1}{{{\rm{Temperature\;gradient}}}}\)

    \({\left[ {\frac{{dT}}{{dx}}} \right]_1} > {\left[ {\frac{{dT}}{{dx}}} \right]_2} \Rightarrow {k_1} < {k_2}\)

    Note:

    Heat conduction through plane wall

    \(Q = \frac{{{T_1} - {T_2}}}{{\frac{L}{{kA}}}}\)

    Heat conduction through a hollow cylinder

    \(Q = \frac{{{T_1} - {T_2}}}{{\frac{{\ln \left( {\frac{{{r_o}}}{{{r_i}}}} \right)}}{{2\pi kL}}}}\)

    Heat conduction through hollow sphere

    \(Q = \frac{{{T_1} - {T_2}}}{{\frac{{{r_o} - {r_i}}}{{4\pi k{r_o}{r_i}}}}}\)

  • Question 2
    2 / -0.33
    Two finned surfaces with long fins are identical, except that the convention heat transfer coefficient for the first finned surface is twice that of second one. Then the correct statement for the efficiency and effectiveness of the first finned surface relative to second one.
    Solution

    Concept:

    The efficiency of a fin is defined as the ratio of the actual heat transferred by the fin to the maximum heat transferable by fin, if entire fin area were at base temperature, for infinitely long fin:

    \(\eta = \frac{{{Q_{fin}}}}{{{Q_{max}}}} = \frac{{\sqrt {Phk{A_c}\left( {{t_o} - {t_a}} \right)} }}{{hPL\left( {{t_o} - {t_a}} \right)}} = \sqrt {\frac{{k{A_c}}}{{hP}}}.\frac{1}{L}\)

    \(\begin{array}{l} \eta = \frac{1}{{mL}}\\ \eta \propto \frac{1}{{\sqrt h }} \end{array}\)

    As, h1 = 2h2

    ⇒ η1 < η2

    Effectiveness of the fin is the ratio of the fin heat transfer rate to the heat transfer rate that would exist without fin.

    \({\epsilon_{fin}} = \frac{{{Q_{with\;fin}}}}{{{Q_{without\;fin}}}} = \frac{{\sqrt {Phk{A_c}} \;\left( {{t_o} - {t_a}} \right)}}{{h{A_c}\left( {{t_o} - {t_a}} \right)}} = \sqrt {\frac{{Pk}}{{h{A_c}}}}\)

    \({\epsilon_{fin}} \propto \frac{1}{{\sqrt h }},{h_1} = 2{h_2} \Rightarrow {\epsilon_1} < {\epsilon_2}\)

    Calculation:

    \(\begin{array}{l} \eta \propto \frac{1}{{\sqrt h }}\;\; and\;\; \epsilon \propto \frac{1}{{\sqrt h }} \end{array}\)

    \({h_1} = 2{h_2} \Rightarrow {\epsilon_1} < {\epsilon_2} \; and \; \; {\eta_1} < {\eta_2}\)

  • Question 3
    2 / -0.33
    A metal sphere of surface area 0.0225 m2 is an evacuated enclosure whose walls are held at very low temperature. Electric current is passed through resistors embedded in the sphere causing electrical energy to be dissipated at rate of 75 watts. If sphere surface temperature is measured to be 560 K while is steady state. The reflectivity of sphere is
    Solution

    Explanation:

    Heat energy lost by radiation = Electrical energy to be dissipated

    σϵAT4 = 75

    ϵ × 5.67 × 10-8 × 0.0225 × (560)4 = 75

    ϵ = 0.598

    Now,

    For gray surface, ϵ = α = 0.598

    In this case,

    α + ρ = 1

    ∴ ρ = 1 - α = 0.402
  • Question 4
    2 / -0.33

    A wall of thickness 0.6 m has width has a normal area 1.5 m2 and is made up of material of thermal conductivity 0.4 W/mK. The temperatures on the two sides are 800°C. What is the thermal resistance of the wall?

    Solution

  • Question 5
    2 / -0.33

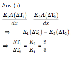
    A composite wall of a furnace has 2 layers of equal thickness having thermal conductivities in the ratio of 3 : 2. What is the ratio of the temperature drop across the two layers?

    Solution

  • Question 6
    2 / -0.33
    A fluid (Prandtl number, Pr = 0.7) at 500 K flows over a flat plate 500 mm length, maintained at 300 K. The velocity of the fluid is 10 m/s. Assuming kinematic viscosity = \(30 \times {10^{ - 6}}{m^2}/s\), then which of the following statements are true regarding the boundary layer thickness at 5 mm from the leading edge?
    Solution

    Concept:

    \(\frac{{{\delta _h}}}{{{\delta _t}}} = \;P{r^{1/3}}\)

    Here,

    δh = Hydrodynamic boundary layer thickness, δt = Thermal boundary layer thickness

    Calculation:

    Given:

    Pr = 0.7, x = 5 mm

    \({\rm{Kinematic\;viscosity\;}}\left( \gamma \right) = 30 \times {10^{ - 6}}\frac{{{m^2}}}{s}\)

    Velocity u() = 10 m/s

    \({\delta _h} = \frac{{5x}}{{\sqrt {R{e_x}} }}\)

    \(R{e_x} = \frac{{ux}}{\gamma } = \;\frac{{10 \times 5\times 10^-3}}{{30 \times {{10}^{ - 6}}}} = 1666.66\)

    \({\delta _h} = \frac{{5x}}{{\sqrt {R{e_x}} }} = \;\frac{{5\left( {5 } \right)}}{{\sqrt {1666.66} }}\)

    δh = 0.6123 mm

    Now,

    \(\frac{{{\delta _h}}}{{{\delta _t}}} = \;P{r^{1/3}}\)

    \(\frac{{0.6123 }}{{{\delta _t}}} = \;{\left( {0.7} \right)^{1/3}}\)

    ∴ δt = 0.6896 mm
  • Question 7
    2 / -0.33
    It is proposed to coat a 1 mm diameter wire with enamel paint (k = 0.1 W/mK) to increase the heat transfer with air. If the air side heat transfer coefficient is 100 W/m2K, the optimum thickness of enamel paint should be
    Solution

    Concept:

    For maximum heat dissipation, the thickness of insulation should be critical thickness.

    The critical thickness for wire is given as, \(r_c=\frac{k}{h}\)

    Calculation:

    Given:

    k = 0.1 W/mK, h = 100 W/m2K

    \({r_c} = \frac{k}{h} = \frac{{0.1}}{{100}} = 0.001~m = 1~mm\)

    Thickness of insulation = rc - r

    ⇒ 1 – 0.5 = 0.5 mm

  • Question 8
    2 / -0.33
    The effectiveness of a counter-flow heat exchanger has been estimated as 0.25. Hot gases enter at 200°C and leave at 75°C. Cooling air enters at 40°C. The temperature of the air leaving the unit will be:
    Solution

    Concept:

    Heat exchanger effectiveness:

    \(\epsilon= \frac{{{{\rm{Q}}_{{\rm{actual}}}}}}{{{{\rm{Q}}_{{\rm{max}}}}}}\)

    \({{\rm{Q}}_{{\rm{actul}}}} = {{\rm{\dot m}}_{\rm{h}}}{{\rm{c}}_{{\rm{ph}}}}\left( {{{\rm{T}}_{{\rm{h}}1}} - {{\rm{T}}_{{\rm{h}}2}}} \right) = {{\rm{\dot m}}_{\rm{c}}}{{\rm{c}}_{{\rm{pc}}}}\left( {{{\rm{T}}_{{\rm{c}}2}} - {{\rm{T}}_{{\rm{c}}1}}} \right)\)

    \({{\rm{Q}}_{{\rm{max}}}} = {{\rm{C}}_{{\rm{min}}}}\left( {{{\rm{T}}_{{\rm{h}}1}} - {{\rm{T}}_{{\rm{h}}2}}} \right)\)

    \(\epsilon= \frac{{{{\rm{Q}}_{{\rm{actual}}}}}}{{{{\rm{Q}}_{{\rm{max}}}}}} = \frac{{{{\rm{C}}_{\rm{h}}}\left( {{{\rm{T}}_{{\rm{h}}1}} - {{\rm{T}}_{{\rm{h}}2}}} \right)}}{{{{\rm{C}}_{{\rm{min}}}}\left( {{{\rm{T}}_{{\rm{h}}1}} - {{\rm{T}}_{{\rm{h}}2}}} \right)}} = \frac{{{{\rm{C}}_{\rm{c}}}\left( {{{\rm{T}}_{{\rm{c}}2}} - {{\rm{T}}_{{\rm{c}}1}}} \right)}}{{{{\rm{C}}_{{\rm{min}}}}\left( {{{\rm{T}}_{{\rm{h}}1}} - {{\rm{T}}_{{\rm{c}}1}}} \right)}}\)

    \({{\rm{\dot m}}_{\rm{n}}}{{\rm{C}}_{{\rm{pn}}}} = {{\rm{\dot m}}_{\rm{c}}}{{\rm{C}}_{{\rm{pc}}}} \Rightarrow {{\rm{C}}_{\rm{h}}} = {{\rm{C}}_{\rm{c}}} = {{\rm{C}}_{{\rm{min}}}} = {{\rm{C}}_{{\rm{max}}}}\)

    \({\rm{\eta }} = \frac{{{{\rm{C}}_{\rm{h}}}\left( {{{\rm{T}}_{{\rm{h}}1}} - {{\rm{T}}_{{\rm{h}}2}}} \right)}}{{{{\rm{C}}_{{\rm{min}}}}\left( {{{\rm{T}}_{{\rm{h}}1}} - {{\rm{T}}_{{\rm{C}}1}}} \right)}} = \frac{{{{\rm{T}}_{{\rm{h}}1}} - {{\rm{T}}_{{\rm{h}}2}}}}{{{{\rm{T}}_{{\rm{h}}1}} - {{\rm{T}}_{{\rm{c}}1}}}}\)

    \({\rm{\eta }} = \frac{{{{\rm{C}}_{\rm{h}}}\left( {{{\rm{T}}_{{\rm{h}}1}} - {{\rm{T}}_{{\rm{h}}2}}} \right)}}{{{{\rm{C}}_{{\rm{min}}}}\left( {{{\rm{T}}_{{\rm{h}}1}} - {{\rm{T}}_{{\rm{C}}1}}} \right)}} = \frac{{{{\rm{T}}_{{\rm{h}}1}} - {{\rm{T}}_{{\rm{h}}2}}}}{{{{\rm{T}}_{{\rm{h}}1}} - {{\rm{T}}_{{\rm{c}}1}}}}\)

    Calculation:

    \(\epsilon =\frac{\left( {{T}_{ce}}-{{T}_{ci}} \right)}{\left( {{T}_{hi}}-{{T}_{ci}} \right)}\)

    \(0.25=\frac{{{T}_{ce}}-40}{200-40}\)

    Tce - 40 = 40

    Tce = 80°C
  • Question 9
    2 / -0.33

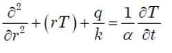
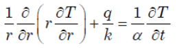
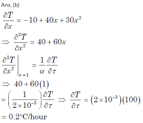
    One dimensional unsteady state heat transfer equation for a sphere with heat generation at the rate of 'q' can be written as

    Solution

    Here's why:

    • The term  represents the heat conduction in spherical coordinates, accounting for the radial symmetry of the sphere.

    • q/k represents the heat generation term, where q is the rate of heat generation per unit volume and k is the thermal conductivity.

    • ​ represents the time-dependent change in temperature, where α is the thermal diffusivity.

    This form is specific to spherical coordinates and correctly accounts for the geometry of the problem.

  • Question 10
    2 / -0.33

    For the three-dimensional object shown in thefigure below, five faces are insulated. Thesixth face (PQRS), which is not insulated,interacts thermally with the ambient, with aconvective heat transfer coefficient of 10 W/m2.K. The ambient temperature is 30°C. Heatis uniformly generated inside the object at therate of 100 W/m3. Assuming the face PQRS tobe at uniform temperature, its steady statetemperature is:

     

    Solution

  • Question 11
    2 / -0.33
    Air at 1 atmospheric pressure and 27 °C blows across a 12 mm diameter sphere at a a small heater inside the sphere maintains the surface temperature at 77 °C. With k = 0.026 W/m (kelvin) and with (Nu) = 31.4, the heat loss by the sphere would be
    Solution

    Concept:

    Heat loss through the convection is given by

    Qloss = h × A × (∆T)

    Nusselt number \(Nu = \frac{{h{l_c}}}{k}\)

    Where l­c is the characteristic length, in case of heater it is equal to the diameter of the sphere

    Calculation:

    Given, Nu = 31.4, k = 0.026 W/mK, D = 12 mm ⇒ r = 6 × 10-3 m , Surface temperature Ts = 27°C and atmospheric temperature T = 77°C

    \(Nu = \frac{{h{l_c}}}{k}\)

    ⇒ \(h = \frac{{Nu\times{k}}}{l_c}\)

    \(h = \frac{{31.4 \times 0.026}}{{0.012}} = 68.03\;W/{m^2}K\;\)

    Surface area of sphere A = 4 × π × r2 = 4 × 3.14 × (6 × 10-3)2

    Qloss = 68.03 × 4 × 3.14 × (6 × 10-3)2 × (77 – 27) = 1.54 J/s

  • Question 12
    2 / -0.33
    A sphere with radius 20 cm has density 2500 kg/m3 and specific heat of 0.52 kJ/kg K has a uniform heat generation rate of 100 kW/m3. If heat received over it’s surface in 240 W, the rate of change of temperature of solid is ______ (°C/sec)
    Solution

    Explanation:

    Given:

    ρ = 2500 kg/m3, Cp = 0.52 kJ/kg k, Q = 1000 kW/m3, a = 240 W

    \({\rm{Volume}} = \frac{4}{3}\pi {r^3} = \frac{4}{3}\pi \times {\left( {0.2} \right)^3} = 0.03351\;{m^3}\)

    Now,

    Heat received + total heat generated = Rate of change of internal energy

    \(Q + q \times Volume = \rho \;{C_p}V\frac{{\partial T}}{{\partial t}}\)

    \(\frac{{\partial T}}{{\partial t}} = \frac{{Q + q \times Volume}}{{\rho {C_p}V}}\)

    \(\frac{{\partial T}}{{\partial t}} = \frac{{240 + 100 \times {{10}^3} \times 0.03351}}{{2500 \times 520 \times 0.03351}}\)

    \(\therefore \frac{{\partial T}}{{\partial t}} = 0.082\)
  • Question 13
    2 / -0.33

    An air stream flows with a velocity of 3 m/s. The temperature of which is to be measured by a thermocouple which can be approximated as a sphere of diameter 0.25 cm. Initially the junction and air are at a temperature of 25°C. The air temperature suddenly changes and is maintained at 215°C. The time required for the thermocouple to indicate a temperature of 165°C is:

    Take ρ = 8750 kg/m3, c = 380 J/kg°C, k (thermocouple) = 28 W/m°C and h = 145 W/m2°C
    Solution

    Concept:

    For a lumped parameter problem, the time-temperature dependence is given by:

    \({\rm{ln}}\left[ {\frac{{{\rm{T}} - {T_\infty }}}{{{T_i} - {T_\infty }}}} \right] = - \frac{{hA}}{{mc}}t = - \frac{{hA}}{{\rho V{\rm{c}}}}t\)

    \(\frac{{{\rm{T}} - {T_\infty }}}{{{T_i} - {T_\infty }}} = {e^{ - \frac{{hA}}{{\rho V{\rm{c}}}}t}} = {e^{ - \frac{1}{\tau }t}}\)

    \(\frac{{T - {T_\infty }}}{{{T_0} - {T_\infty }}} = {e^{ - \frac{t}{\tau }}}\)

    Where, T = final temperature, T = air temperature, Ti = initial temperature, t = time, τ = time constant = ρVc/hA

    Calculation:

    Ti = 25°C, T = 215°C, T = 165°C

    ρ = 8750 kg/m3, c = 380 J/kg°C, k (thermocouple) = 28 W/m°C and h = 145 W/m2°C

    For a sphere:

    \(\frac{V}{A} = \frac{{\frac{4}{3}\pi {R^3}}}{{4\pi {R^2}}} = \frac{R}{3} = \frac{D}{6}\)

    Time constant:

    \(\tau = \frac{{\rho Vc}}{{hA}} = \frac{{\rho cD}}{{6h}} = \frac{{8750 \times 380 \times 0.0025}}{{6 \times 145}} = 9.554\)

    Putting the values in the equation:

    \(\frac{{T - {T_\infty }}}{{{T_0} - {T_\infty }}} = {e^{ - \frac{t}{\tau }}}\)

    \(\frac{{165 - 215}}{{25 - 215}} = {e^{ - \frac{t}{{9.554}}}}\)

    t = 12.754 sec
  • Question 14
    2 / -0.33

    A bar of Cu of length 75 cm and a steel bar of 125 cm length are joined together end to end. Both the bars are having same diameter of 2 cm. The free ends of the Cu and the steel bars are maintained at 100°C and 0°C respectively. The curved surfaces of the bars are thermally insulated, what is the approximate temperature at Cu-steel junction? (consider conductivity k of Cu = 400 Js-1m-1 C-1 and k for steel 50 Js-1m-1 C-1)

    Solution

    Concept:

    The heat conducted through Copper bar is equal to the heat conducted through steel bar, i.e., 

    QCu = QSteel

    \((\frac{kA\Delta T}{L})_{Cu}=(\frac{kA\Delta T}{L})_{Steel}\)

    Let Ti is the intermediate temperature between both rod.

    ⇒ \((\frac{kA(T_1-T_i)}{L})_{Cu}=(\frac{kA(T_i-T_2)}{L})_{Steel}\)

    Calculation:

    Given:

    For Copper:

    k = 400  Js-1m-1C-1,T1 = 100°C, L = 0.75 m

    For Steel:

    k = 50 Js-1m-1C-1, T2 =  0°C, L = 1.25 m

    Therefore, \(\frac{{k\left( {100 - T_i} \right)}}{{0.75}} = \frac{{k\left( {T_i - 0} \right)}}{{1.25}}\)

    \(\frac{{400\left( {100 - T} \right)}}{{0.75}} = \frac{{50\left( T \right)}}{{1.25}}\)

    5.33 (100 - Ti) = 0.4 Ti

    Ti = 93°C

  • Question 15
    2 / -0.33

    A steel ball of mass 1kg and specific heat 0.4 kJ/kg is at a temperature of 60°C. It is dropped into 1kg water at 20°C. The final steady state temperature of water is:

    Solution

    1 kg steel ball and 1 kg water are both having finite heat capacity

    Let the final temperature (at which thermal equilibrium is attained) be T

    Heat lost by steel ball = Heat gained by water

    1 (kg) x 0.4 (kJ/kg-°C) x (60 – T) (°C) = 1 (kg) x 4.18 (kJ/kg-°C) x (T – 20)

    T = 23.5°C

  • Question 16
    2 / -0.33
    A fin has 5 mm diameter and 100 mm length with insulated tip. The thermal conductivity of fin material is 400 Wm-1K-1. One end of the fin is maintained at high temperature and its remaining surface is exposed to ambient air. If the convective heat transfer coefficient is 40 Wm-2K-1, then
    Solution

    Concept:

    Efficiency of fin is calculated as

    \(\eta = \frac{{{Q_{fin}}}}{{{Q_{max}}}}\)

    \({Q_{max}} = h{A_s}\left( {{T_b} - {T_a}} \right)\)

    As = Surface area of fin = πDL, Tb = Base temperature, Ta = Ambient temperature

    Effectiveness of fin is calculated as

    \(\varepsilon = \;\frac{{{Q_{fin}}}}{{{Q_{no\;fin}}}}\)

    \({Q_{no\;fin}} = h{A_c}\left( {{T_b} - {T_a}} \right)\)

    \({A_c} = Cross - sectional\;area\;of\;fin = \;\frac{{\pi {D^2}}}{4}\)

    Calculation:

    Given:

    D = 5 mm, L = 100 mm, K= 400 Wm-1K-1, h = 40 Wm-2K-1,

    Now,

    Perimeter (P) = πD = 0.0157 m

    \({A_c} = \;\frac{{\pi {D^2}}}{4} = 1.9634\; \times {10^{ - 5}}{m^2}\)

    \(m = \;\sqrt {\frac{{hP}}{{K{A_C}}}} = 8.944\;{m^{ - 1}}\)

    mL = 0.894

    Now,

    \(\eta = \;\frac{{{Q_{fin}}}}{{{Q_{max}}}} = \frac{{\sqrt {hPk{A_c}} \left( {{T_b} - {T_a}} \right){\rm{tanh}}\left( {mL} \right)}}{{h{A_s}\left( {{T_b} - {T_a}} \right)}} = \;\frac{{{\rm{tanh}}\left( {mL} \right)}}{{mL}} = 79.93\% \)

    \(\varepsilon = \;\frac{{{Q_{fin}}}}{{{Q_{no\;fin}}}} = \frac{{\sqrt {hPk{A_c}} \left( {{T_b} - {T_a}} \right)\tanh \left( {mL} \right)}}{{h{A_c}\left( {{T_b} - {T_a}} \right)}}\)

    ∴ ϵ = 63.66
  • Question 17
    2 / -0.33

    A long 15 cm diameter shaft of stainless steel (K = 14.9 W/mK), ρ = 7900 kg/m3 C = 477 J/kgK and α = 3.95 × 10-6 m2/s is at a uniform temperature of 450 °C. The shaft is allowed to cool slowly in a chamber at 150°C with heat transfer coefficient of h = 85 W/m2K. Calculate the temperature (℃) at the end of 25 min after the cooling starts.

    Use (θ0 = 0.49 at Bi-1 = 2.337 and Fo = 1.053) and (θ0 = 0.88 at Bi-1 = 4.672 and Fo = 1.053)
    Solution

    Concept:

    Biot number = hL/K

    If biot > 0.1

    Then lumped system analysis is not applicable and we use Heisler charts.

    For Heisler charts Bi = hR/K

    Fourier number = αt/L2

    \({\theta _0} = \;\frac{{T - {T_\infty }}}{{{T_i} - \;{T_\infty }}}\)

    Ti, T= initial temperature and surrounding temperature respectively.

    T= temperature at time‘t’

    After finding out θ0 we can calculate the temperature ‘T’

    Calculation:

    L = 1m, R = 0.075 m, α = 3.95 × 10-6 m2/s, k = 14.9 W/mK

    C = 477 J/kgK, ρ = 7900 kg/m3

    Ti = 450°C, T = 150°C

    h = 85 W/m2k, t = 1500 s

    \(Bi = h\frac{{R/2}}{k} = 0.214 > 0.1\)

    (Lumped analysis not applicable)  

    For Heisler chart,

    Bi = hR/k = 0.428

    \(\frac{1}{{{B_i}}} = 2.337\)

    \({F_0} = \frac{{\alpha t}}{{{L^2}}} = \frac{{\alpha t}}{{{R^2}}} = 1.053\)

    ∴ θ0 = 0.49

    \(0.49 = \frac{{T - {T_\infty }}}{{{T_i} - {T_\infty }}}\)

    T = T + 0.49 (Ti – T)

    T = 297°C

  • Question 18
    2 / -0.33

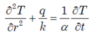
    A large concrete slab 1 m thick has one dimensional temperature distribution:

    T = 4 – 10x + 20x2 + 10x3

    Where T is temperature and x is distance from one face towards other face of wall. If the slab material has thermal diffusivity of 2 × 10-3 m2/hr,what is the rate of change of temperature at the other face of the wall?

    Solution

  • Question 19
    2 / -0.33
    A cylindrical insulated pipe of diameter 0.3m has a surface temperature of 330K and is exposed to surrounding s at 298K. The emissivity and absorptivity of the pipe material are 0.89 and 0.92 respectively. If the surrounding are assumed to be transparent, find the % contribution of radiation to total heat transfer rate to surroundings. (Take convective heat transfer coefficient = 4.5 W/m2K)
    Solution

    Concept:

    Heat transfer due to radiation, \(Q = \sigma A\left( \epsilon {T_1^4 - \alpha T_2^4} \right)\)

    Heat transfer due to convection, = \(hA\Delta T\) 

    Calculation:

    d = 0.3 m, Ts = 3.30 K = T1, T = 298K = T2, E = 0.89, α = 0.92

    σ = 5.67 × 10-8 W/m2 k4

    Q1 = σA ( T14E - α T24 )

    Q1 = 187.078 A

    Q2 = hA ΔT

    Q2 = 4.5 A (330 - 298)

    Q2 = 144 A

    \({\rm{\% \;of\;radiation\;}} = \frac{{{\theta _1}}}{{{\theta _1} + {\theta _2}}} \times 100\)

    \({\rm{\% \;of\;radiation\;}} = \frac{{187.078}}{{331.078}} \times 100\)

    % of radiation = 56.5057     

  • Question 20
    2 / -0.33

    Liquid metal flows through a circular tube in which the velocity and temperature profiles are governed by:

    \(U\left( r \right) = {\rm{A}};\;T\left( r \right) - {T_W} = B\left[ {1 - {{\left( {\frac{r}{R}} \right)}^2}} \right]\)

    Where, TW and R are the wall radius and temperature respectively, and A, B are constants. The bulk mean temperature of water TM is given by:
    Solution

    Concept:

    Just as the absence of a free stream velocity requires use of a mean velocity to describe an internal flow, the absence of a fixed free stream temperature necessitates using a mean temperature.

    The mean (or bulk) temperature of a fluid at a given cross section is defined in terms of the thermal energy transported by the fluid it moves past the cross section.

    The bulk mean temperature of internal flow is given by the expression:

    \({T_M} = \frac{2}{{{U_M}{R^2}}}\mathop \smallint \nolimits_0^R T\left( r \right)U\left( r \right)r\;dr\)

    Calculation:

    Given:

    As, U(r) = A, so the mean velocity UM = A

    \(T\left( r \right) - {T_W} = B\left[ {1 - {{\left( {\frac{r}{R}} \right)}^2}} \right]\)

    \({T_M} = 2\frac{A}{{{\rm{A}}{R^2}}}\mathop \smallint \nolimits_0^R \left\{ {{T_W}\; + B\left[ {1 - {{\left( {\frac{r}{R}} \right)}^2}} \right]} \right\}r\;dr\)

    \({T_M} = \frac{2}{{{R^2}}}\mathop \smallint \nolimits_0^R \left\{ {{T_W}r\; + B\left[ {r - \frac{1}{{{R^2}}}{r^3}} \right]} \right\}\;dr\)

    \({T_M} = \frac{2}{{{R^2}}}\left[ {\left\{ {{T_W}\frac{{{r^2}}}{2}\; + B\left[ {\frac{{{r^2}}}{2} - \frac{1}{{{R^2}}}\frac{{{r^4}}}{4}\;} \right]} \right\}} \right]_0^R\)

    \({T_M} = \frac{2}{{{R^2}}}\left\{ {{T_W}\frac{{{R^2}}}{2}\; + B\left[ {\frac{{{R^2}}}{2} - \frac{{{R^2}}}{4}\;} \right]} \right\} = \;\frac{2}{{{R^2}}}\left\{ {{T_W}\frac{{{R^2}}}{2}\; + B\left( {\frac{{{R^2}}}{4}} \right)} \right\} = {T_W} + \frac{B}{2}\)

    \({T_M} = {T_W} + \frac{B}{2}\)
  • Question 21
    2 / -0.33
    A fluid (k = 0.6 W/m°C and ν = 10-5 m2/s) enters a 10mm diameter and 15 m long tube at 298 K with a velocity of 0.5 m/s and leave the tube at 330 K. The tube is subjected to a uniform heat flux of 3 kW/m2 on its surface. Calculate the temperature of the surface at the exit in (K)
    Solution

    Concept:

    \({\rm{Reynold\;Number\;}}\left( {{\rm{Re}}} \right) = \frac{{\rho vD}}{\mu }\)

    For constant heat flux, Nusselt number (Nu) = 4.36 and Nu = hd/k

    Heat flux (Q/A) = h(∆T)

    Calculation:

    Given:

    ν = 10-5 m2/s, D = 0.01 m, L = 15 m, V = 0.5 m/s

    Twi = 298 K = 25°C, Two = 330 K = 57°C

    Now,

    \(Re = \frac{{VD}}{\nu } = \frac{{0.5 \times 0.01}}{{{{10}^{ - 5}}}} = 500 < 2300\;\left( {laminar} \right)\)

    For constant heat flux in laminar flow

    Nu = 4.36

    \(\therefore \frac{{hd}}{k} = 4.36\)

    ∴ h = 4.36 × 0.6/0.01

    ∴ h = 261.6 W/m2°C

    Heat flux = h (ΔT)

    \({\rm{\Delta T}} = \frac{{3000}}{{261.6}} = 11.467\)

    \({{\rm{T}}_{\rm{s}}} = 11.467 + 57 = 68.46^\circ C\)

    ∴ Ts = 68.46 °C = 341.46 K
  • Question 22
    2 / -0.33

    Thermal diffusivity of a substance is:

    Solution

    Ans. (b) Thermal diffusivity

  • Question 23
    2 / -0.33

    A furnace is made of a red brick wall of thickness 0.5 m and conductivity 0.7 W/mK. For the same heat loss and temperature drop,this can be replaced by a layer of diatomite earth of conductivity 0.14W/mK and thickness

    Solution

    Ans. (b) For thick place homogeneous wall, heat loss =

  • Question 24
    2 / -0.33

    A plate of dimensions 35 cm × 15cm (width) is kept vertically. The plate is initially at a temperature of 413 K and the ambient temperature may be taken as 293K. Calculate the maximum possible rate of heat dissipation (W) from both sides neglecting any radiation effects and use the following data for reference.

    Nu = 0.60(Ra) 0.25, ϑ = 41.09 × 10-6 m2/s, Pr = 0.723, k = 0.05W/mK
    Solution

    Concept:

    Rayleigh number (Ra) is given by,

    \(Ra = Gr.\Pr = \frac{{g\beta \Delta T{L^3}Pr}}{{{\vartheta ^2}}}\;\)

    Where, \(\beta = \frac{1}{{{T_f}}}\) and Tf = Mean temperature

    Nusselt number, Nu = \(0.60{\left( {Ra} \right)^{0.25}}\) = hL/K

    We will calculate ‘h’ from this

    And then calculate the heat dissipation as, Q = 2hA∆T

    Calculation:

    Ra = Gr – Pr \( = g\frac{{\beta {\rm{\Delta }}T\;{L^3}}}{{{V^2}}}Pr\)

    β = 1/Tf, and

    ∵  \({T_f} = \frac{{293 + 413}}{2} = 353\;K\; = {\rm{\;}}80^\circ {\rm{C}}\;\)

    Now,

    \(Ra = \frac{{9.81 \times \frac{1}{{353}} \times 120 \times {{\left( {0.35} \right)}^3}}}{{{{\left( {41.09 \times {{10}^{ - 6}}} \right)}^2}}} \times 0.723\)

    Ra= 61227382.83

    Nu = 0.60 (Ra) 0.25 = 53.07 = hL/k

    \(h = 53.07 \times \frac{{0.05}}{{0.35}}\)

    h = 7.58 W/m2K

    Now,

    Q = 2hA ΔT

    ∴ Q = 95.53 watts.
  • Question 25
    2 / -0.33
    A long rod 20 mm in diameter has one end maintained at 110°C. The surface of the rod is exposed to ambient air at 20°C with convection coefficient of 5 W/m2k. Calculate the heat loss (in W) from the rod having thermal conductivity of 15 W/mK.
    Solution

    \({\rm{m}} = \sqrt {\frac{{{\rm{hp}}}}{{{\rm{k}}{{\rm{A}}_{\rm{c}}}}}} \)

    Concept:

    Heat dissipation from an infinitely long fin:

    \({{\rm{Q}}_{{\rm{long\;fin}}}} = - {\rm{k}}{{\rm{A}}_{\rm{c}}}{\left. {\frac{{{\rm{dT}}}}{{{\rm{dx}}}}} \right|_{{\rm{x}} = 0}} = \sqrt {{\rm{hpk}}{{\rm{A}}_{\rm{c}}}} {\rm{\;}}\left( {{{\rm{T}}_{\rm{b}}} - {{\rm{T}}_\infty }} \right)\)

    \(\frac{{{\rm{T}} - {{\rm{T}}_\infty }}}{{{{\rm{T}}_{\rm{o}}} - {{\rm{T}}_\infty }}} = {{\rm{e}}^{ - {\rm{mx}}}}\)

    Heat dissipation form a fin insulated at the flip negligible heat loss fin tip.

    \(\frac{{\rm{\theta }}}{{{{\rm{\theta }}_{\rm{o}}}}} = \frac{{{\rm{T}} - {{\rm{T}}_\infty }}}{{{{\rm{T}}_{\rm{o}}} - {{\rm{T}}_\infty }}} = \frac{{\cos {\rm{h}}\left( {{\rm{m}}\left( {{\rm{l}} - {\rm{x}}} \right)} \right)}}{{\cos {\rm{h}}\left( {{\rm{ml}}} \right)}}\)

    \({{\rm{Q}}_{{\rm{insulated\;fin}}}} = - {\rm{k}}{{\rm{A}}_{\rm{c}}}{\left. {\frac{{{\rm{dT}}}}{{{\rm{dx}}}}} \right|_{{\rm{x}} = 0}} = \sqrt {{\rm{hPk}}{{\rm{A}}_{\rm{c}}}} \left( {{{\rm{T}}_{\rm{o}}} - {{\rm{T}}_\infty }} \right)\tan {\rm{h}}\left( {{\rm{mL}}} \right)\)

    Calculation:

    A long rod applies that it is an infinity long fin

    Given: D = 20 mm = 0.02 m, Tb = 110°C, T = 20°C

    h = 5 W/m2K , k = 15 W/mK

    P = πd = π (0.02) = 0.063 m

    \(A = \frac{\pi }{4}{d^2} = \frac{\pi }{4}{\left( {0.02} \right)^2} = 3.14 \times {10^{ - 4}}{m^2}\)

    \(Q = \sqrt {hPkA} \left( {{T_b} - {T_\infty }} \right)\)

    \(Q = \sqrt {5 \times 0.063 \times 3.14 \times {{10}^{ - 4}} \times 15} \;\left( {110 - 20} \right)\)

    Q = 0.03852 × 90 = 3.47 W
Self Studies
User
Question Analysis
  • Correct -

  • Wrong -

  • Skipped -

My Perfomance
  • Score

    -

    out of -
  • Rank

    -

    out of -
Re-Attempt Weekly Quiz Competition
Self Studies Get latest Exam Updates
& Study Material Alerts!
No, Thanks
Self Studies
Click on Allow to receive notifications
Allow Notification
Self Studies
Self Studies Self Studies
To enable notifications follow this 2 steps:
  • First Click on Secure Icon Self Studies
  • Second click on the toggle icon
Allow Notification
Get latest Exam Updates & FREE Study Material Alerts!
Self Studies ×
Open Now