Self Studies

Engineering Mechanics Test 1

Result Self Studies

Engineering Mechanics Test 1
  • Score

    -

    out of -
  • Rank

    -

    out of -
TIME Taken - -
Self Studies

SHARING IS CARING

If our Website helped you a little, then kindly spread our voice using Social Networks. Spread our word to your readers, friends, teachers, students & all those close ones who deserve to know what you know now.

Self Studies Self Studies
Weekly Quiz Competition
  • Question 1
    2 / -0.33

    A constant force of 10 N is acting on a body of mass ‘m’ for 10 seconds and changes its velocity from 10m/s to 15m/s. Calculate the mass of the body

    Solution

  • Question 2
    2 / -0.33
    A particle moves in a straight line and its position is defined by equation \(x = 6{t^2} - {t^3}\) where t is expressed in seconds and x in meters. The maximum velocity(m/s) during motion is____
    Solution

    Concept:

    x = 6t2 – t3

    \(V = \frac{{dx}}{{dt}} = 12t - 3{t^2}\)

     Velocity will be maximum, when

    \(\frac{{dv}}{{dt}} = \frac{{d_x^2}}{{d{t^2}}} = 0\)

    ∴ 12 – 6t = 0

    ∴ t = 2 seconds

    \(\therefore V = \frac{{dx}}{{dt}} = 12t - 3{t^2}\) 

    Vmax = 12(2) – 3(2)2

    ∴ Vmax = 12 m/s

  • Question 3
    2 / -0.33

    The principle of virtual work can be applied to elastic system by considering the virtual work of

    Solution

    Concept:

    Principle of virtual work: (unit-load Method)

    Developed by Bernoulli:

    To find Δ at point A due to loads P1, P2, P3. Remove all loads, apply virtual load P’ on point A.

    For simplicity P’ = 1

    It creates internal load u on representative element.

    Now remove this load, apply P1, P2, P3 due to which pt. A will be displaced by Δ

    ∴ External virtual work = 1.Δ

    Internal virtual work = u.dL

    P' = 1 = external virtual unit load in direction of Δ.

    u = internal virtual load acting on element in direction of a dL.

    Δ = external displacement caused by real loads.

    dL = internal deformation caused by real loads.

  • Question 4
    2 / -0.33

    A solid cylinder of diameter 5.0 m has a height of 6.0 m. Find the meta-centric height of the cylinder if the specific gravity of the material of cylinder 0.45 and it is floating in water with its axis vertical. State whether the equilibrium is stable or unstable.

    Solution

    BG=Centre of pontoon – Centre of immersed portion=0.3-0.45*0.3=1.65

    Metacentric height=I/∀ -BG

    I = π*r⁴ = π*2.5⁴

    ∀ = π*r*r*h = π*2.5*2.5*6

    Metacentric height=-0.61.

  • Question 5
    2 / -0.33

    A toggle joint with equal arms is shown in figure. Find out the resistance offered by joint ‘A’ on horizontal direction.

    Solution

  • Question 6
    2 / -0.33
    A player hits a ball with a baseball but such that it repeats its path and goes back with incoming velocity of 20 m/s. if the mass of ball is 150 gm, then the impulse (magnitude) imparted by the bat is ____ kg.m/s (give magnitude only)
    Solution

    Concept:

    Impulse (I) = change in momentum

    Calculation:

    Given:

    V1 = 20 m/s, V2 = -20 m/s, M = 150 g = 0.15 kg

    Now,

    Impulse (I) = change in momentum

    I = m (V2 – V1)

    I = 0.15 (-20 - 20)

    ∴ I = - 6 kg m/s. (∵ it has been asked about the magnitude only hence the answer will be 6)
  • Question 7
    2 / -0.33

    What is the ratio of radius of gyrations of two bars of small diameters, in first case axis is at end and in other case axis at centre of bar?

    Solution

  • Question 8
    2 / -0.33

    A 50 kg block is pulled up on 30° inclined plane by a constant force 800 N. Co-efficient of friction between block and plane is 0.5. What is the velocity of block after 10 seconds?

    Solution

  • Question 9
    2 / -0.33

    For a hexagonal cross sectional bar as per designer specification held in such a way that the total bar is having line contact with ground, but manufacturer placed that bar in such a way that it has area contact with ground. In which case it has more strength?

    Solution

  • Question 10
    2 / -0.33

    A differential pulley is used to lift a weight of 200 N as shown in figure. What is the minimum force required to lift the weight? Take smaller pulley radius as 2 m and larger pulley radius as 5 m

    Solution

  • Question 11
    2 / -0.33
    Two blocks of equal masses are made. One of them is smooth and the other is rough with coefficient of friction 0.20 with the floor. The smooth block is moving at 20 m/s towards the rough block at rest. If their collision is perfectly elastic, then the distance travelled by the rough block will be ______
    Solution

    Concept:

    Conservation of momentum:

    20 m = m v1 + m v2 ; v1, v2 → velocity of smooth and rough after impact

    \(e = \frac{{velocity\;of\;separation}}{{velocity\;of\;approach}}\)

    \(e = \frac{{{v_2} - {v_1}}}{{20}}\)

    Perfectly elastic, e = 1

    Calculation:

    e = 1 ⇒ v2 – v1 = 20     

    ∴ v2 = v1 + 20

    or  v1 = v2 – 20

    Also, v1 + v2 = 20

    ∴ v2 = 20 m/s, v1 = 0 m/s

    Friction retardation on rough block, a = μg

    ∴ Distance travelled = v2 – u2 = 2as

    ⇒ - 400 = - 2μgs

    s = 200/μg

    ∴ s = 101.936 m

    Note:

    When perfect elastic impact occurs between two identical mass out of which one is at rest, then velocities are exchanged.

  • Question 12
    2 / -0.33

    The centre of Gravity of an equilateral triangle of side x lies at a height _______ measured on a median from any side.

    Solution

  • Question 13
    2 / -0.33
    A horizontal circular platform of radius 1m and mass 0.6 kg is free to rotate about its axis. Two massless guns, each carrying a bullet of mass 65 gm are attached at a distance of 0.4 m and 0.6 m from center and in opposite direction. If the guns fire simultaneously and speed of bullets are 25 m/s (each), then the magnitude of rotational speed of platform is
    Solution

    Concept:

    Angular momentum of the system about its center is conserved.

    Calculation:

    Given:

    R = 1m, M = 0.6 kg, m1 = m2 = 65g = 0.065 kg

    r1 = 0.4 m, r2 = 0.6 m, v1 = v2 = 25 m/s

    Initially, whole system is at rest, therefore

    Initial angular momentum (Li) = 0

    After fixing of guns, let system start rotating with angular velocity ‘ω’.

    Then,

    Final angular momentum (Lf)

    Lf = m1 u1 r1 + m2 u2 r2 + Iω

    \({{\rm{L}}_{\rm{f}}}{\rm{\;}} = {m_1}{v_1}\left( {{r_1} + {r_2}} \right) + \frac{1}{2}M{R^2}.\omega \)

    \({L_f} = 0.065 \times 25 \times \left( {0.4 + 0.6} \right) + \frac{1}{2} \times 0.6 \times {1^2} \cdot \omega \)

    Lf = 1.625 + 0.3 ω

    Conservation of angular momentum,

    Li = Lf

    0 = 1.625 + 0.3 ω

    ∴ ω = - 5.41 rad/s
  • Question 14
    2 / -0.33

    A solid pyramid height is 10m. Find out the centre of gravity distance from the base of pyramid.

    Solution

    a = h/4 = 10/4 = 2.5 m

  • Question 15
    2 / -0.33

    A ladder rests against a frictionless wall. The coefficient of friction between ladder and the ground is 0.8. What is the smallest angle θ at which the ladder will remain stationary?

    Solution

  • Question 16
    2 / -0.33

    A person of weight 60 kg and carrying a bag weight of 20 kg. He tries to climb wall where ladder of mass 200 kg is placed, co-efficient of reaction between wall and ladder is 0.8 and ladder and ground is 0.9. When he is at 3/5 of the way up the ladder, it starts to slip. What was the angle between ladder and land when he starts climbing?

    Solution

  • Question 17
    2 / -0.33

    A car moving with 96 kmph decides to overtake a truck which is moving with 96 kmph. So car accelerates the speed up to 120 kmph and immediately starts to decelerate until its speed again dropped to 96 kmph. The whole process takes 30 seconds, if the gap between car and truck was 35 m and truck is 10 m long while car is 4m long. What will be the gap between car and track after 30 seconds?

    Solution

  • Question 18
    2 / -0.33

    A wound watch spring possesses energy in the form of-

    Solution

    Explanation:

    A Wound Watch Spring and Its Energy Form

    • A wound watch spring is a tightly coiled strip of metal that stores energy in the form of mechanical potential energy when it is wound. This energy is later released to power the movement of the watch. When the spring is wound, it undergoes deformation, and the energy required to deform it is stored in the spring as potential energy. This is an example of elastic potential energy, which falls under the broader category of mechanical potential energy.
    • When you wind a watch spring, you apply a force to twist or coil the spring further than its relaxed state. This action stores energy in the spring due to its elastic properties, as the metal resists deformation and "wants" to return to its natural shape. As the watch operates, the spring gradually unwinds, releasing the stored energy to drive the gears and hands of the watch.

    Correct Option Analysis: The correct option is:

    Option 4: Mechanical potential energy

  • Question 19
    2 / -0.33

    The centre of gravity of a right circular cone that lies on the axis at a height from the base is equal to-

    Solution

    Explanation:

    Centre of gravity of right circular cone lies at a distance of h/4 from the base and at a distance of 3h/4 from the apex.

    Similarly, the centre of gravity for different shapes are:


  • Question 20
    2 / -0.33

    A block weighing W = 20 kN is resting on an inclined plane which makes an angle of 30° to the horizontal. The component of gravity force parallel to the inclined plane is-

    Solution

  • Question 21
    2 / -0.33
    A bullet is fired from a gun. The force on the bullet is given by F = 600 – 2 × 105 t where F is in newton and t in seconds. The force on the bullet becomes zero as soon as it leaves the barrel. What is the average impulse imparted to the bullet?
    Solution

    Concept:

    Impulse \((I) = \mathop \smallint \limits_0^t F.dt\)

    Calculation:

    Given:

    F = 600 - 2 × 105 t

    Now,

    When F = 0

    600 – 2 × 105 t = 0

    ⇒ t = 3 × 10-3 s

    Now,

    \(I = \mathop \smallint \limits_0^t F.dt = \mathop \smallint \limits_0^t \left( {600 - 2 × {{10}^5}t} \right)dt = 600t - {10^5}{t^2}\)

    I = 600 (3 × 10-3) – 105 (3 × 10-3)2

    ∴ I = 1.8 - 0.9

    ∴ I = 0.9 N.s

  • Question 22
    2 / -0.33

    A body of mass 2 kg is moving with a velocity of 50 m/s. What will be the kinetic energy of the body?

    Solution

  • Question 23
    2 / -0.33

    A vehicle having rectilinear motion is moving with a velocity of 36 km/h and accelerates uniformly to 54 km/h over a distance of 125 m. What will be the time taken to cover this distance?

    Solution

    Concept:

    Rate of change of velocity is known as acceleration. Its unit is m/s2. It is a vector quantity.

    a = change in velocity/time

    Equations of motion:

  • Question 24
    2 / -0.33

    An object starts from rest at x = 0 m and t = 0 s. It moves with a constant acceleration of 2m/s2 along the x–axis. What is its average velocity between time 1 s and 5 s?

    Solution

    Concept:

    • Average velocity = total displacement/ total time duration
    • Equation of motion:
    • v = u + at
    • v2 = u2 + 2as
    • s = ut + 1/2 at2

    Calculation:

    Given:

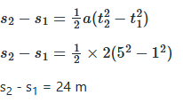
    Time interval = 5 s & 1 s, Initial velocity u = 0, and, Acceleration a = 2 m/s2

    ​When an object starts from rest, then the total distance covered in time 1 sec and 5 sec is,

    s = ut + 1/2 at2

    Object is at rest, so, u = 0 m/s.

    Total time taken, t = t2 - t1 = 5 - 1 = 4 sec

    Average velocity = total displacement/ total time duration

    Average velocity = 24/4 = 6 m/s

    Average velocity between time 1 s and 5 s = 6 m/s

  • Question 25
    2 / -0.33

    Which among the following is Not an application of Newton’s third Law of Motion?

    Solution

    A fielder pulling his hand backward while catching a ball is an application of newton’s second law of motion.

    Newton's Second Law of motion states that the rate of change of momentum of an object is proportional to the applied force in the direction of the force. ie., F=ma. Where F is the force applied, m is the mass of the body, and a is the acceleration produced.

    Newton's Third Law of Motion states that 'To every action there is an equal and opposite reaction'.

    A fielder pulls his hand backward; while catching a cricket ball coming with a great speed, to reduce the momentum of the ball with a little delay. According to Newton's Second Law of Motion; rate of change of momentum is directly proportional to the force applied in the direction.

Self Studies
User
Question Analysis
  • Correct -

  • Wrong -

  • Skipped -

My Perfomance
  • Score

    -

    out of -
  • Rank

    -

    out of -
Re-Attempt Weekly Quiz Competition
Self Studies Get latest Exam Updates
& Study Material Alerts!
No, Thanks
Self Studies
Click on Allow to receive notifications
Allow Notification
Self Studies
Self Studies Self Studies
To enable notifications follow this 2 steps:
  • First Click on Secure Icon Self Studies
  • Second click on the toggle icon
Allow Notification
Get latest Exam Updates & FREE Study Material Alerts!
Self Studies ×
Open Now