Self Studies

Digital Logic Test 2

Result Self Studies

Digital Logic Test 2
  • Score

    -

    out of -
  • Rank

    -

    out of -
TIME Taken - -
Self Studies
Weekly Quiz Competition
  • Question 1
    2 / -0.33
    Consider a quadratic equation x2 – 13x + 36 = 0 with coefficients in a base b. The solutions of this equation in the same base b are x = 5 and x = 6. Then b = _______.
    Solution

    Formula:

    In quadratic equation, ax+ bx + c = 0

    Sum of root = \(- \frac{b}{a}\)

    Product of roots = \(\frac{c}{a}\)

    Calculation:

    Quadratic equation:  x2 – 13x + 36 = 0

    Given base is b.

    Roots of the equation with base b is 5 and 6

    \({5_{b\;}} + \;{6_b} = \;{\left( {13} \right)_b}\)

    \(11 = b + 3\)

    b = 8

    Also, by considering the product of roots,

    \({5_{b\;}} \times {6_b} = {\left( {36} \right)_b}\)

    30 = 3b + 6,

    24 = 3b, b = 8

    In both cases, base b = 8 

  • Question 2
    2 / -0.33

    Simplify Y = AB’ + (A’ + B)C

    Solution

    The expression Y = AB' + (A' + B)C can be simplified using Boolean algebra rules. First, distribute C across the terms in the parentheses: Y = AB' + (A' + B)C = AB' + A'C + BC. This expression AB' + A'C + BC represents the fully simplified form according to Boolean algebra.

  • Question 3
    2 / -0.33

    A function (A, B, C) defined by three boolean variables A, B, and C when expressed as the sum of products is given by:

    F = A̅.B̅.C̅ + A̅.B.C̅ + A.B̅.C̅

    where, A̅, B̅, and C̅ are the complements of the respective variables. The product of sums (POS) form of the function F is

    Solution

    F = A̅.B̅.C̅ + A̅.B.C̅ + A.B̅.C̅

    In terms of minterms, this can be represented as:

    F = ∑m (0, 2, 4)

    The equivalent maxterm will contain the terms not present in the minterm representation, i.e.

    F = ∑m (0, 2, 4) = π(1, 3, 5, 6, 7) = M1. M3. M5. M6. M7

    ⇒ (A + B + C̅) (A + B̅ + C̅) (A̅ + B + C̅) (A̅ + B̅ + C) (A̅ + B̅ + C̅)
  • Question 4
    2 / -0.33

    Find values of Boolean variables A,B,C which satisfy the following equations:

    Solution

    From A + B = 1 and AB = 0
    We get either of A,b is 1 and another is 0.
    Now AC = BC ,here C has to be 0 (because A,b  has different values)
    C = 0
    Now A + C = 1
    So, A = 1 and Ab = 0, So,  B = 0
    So we get
    A = 1, B = 0 , C = 0
    These are the values.

  • Question 5
    2 / -0.33

    What are the first eight bits of mantissa part and the decimal value stored in exponent if  (-28.375)10 is represented in single-precision IEEE 754 format?

    Solution

    Single precision IEEE 754 format

    Signed (S)

    Mantissa (M)

    Exponent (E)

    1 bit

    23 bits

    8 bits

    1 (negative)

    11000110

    131 (decimal)

    Since (-28.375)10 is negative therefore S = 1.

    (28.375)10 = (11100.0110)2

    (11101.011)2 = 1.11000110 × 24

    Mantissa = 11000110

    Since it is excess 127

    Exponent = 4 + 127 + 131

  • Question 6
    2 / -0.33

    Complement of the expression A’B + CD’ is:

    Solution

    (A’B + CD’)’ = (A’B)'(CD’)’ = (A” + B’)(C’ + D”) = (A + B’)(C’ + D).

  • Question 7
    2 / -0.33

    In boolean algebra, the OR operation is performed by which properties?

    Solution

    The expression for Associative property is given by A+(B+C) = (A+B)+C & A*(B*C) = (A*B)*C.

    The expression for Commutative property is given by A+B = B+A & A*B = B*A.

    The expression for Distributive property is given by A+BC=(A+B)(A+C) & A(B+C) = AB+AC.

  • Question 8
    2 / -0.33

    Solution

  • Question 9
    2 / -0.33

    Solution

    x'y' + x'y = x'(y+y') = x'

    x' + xy = x' + y

  • Question 10
    2 / -0.33

    The clock frequency of 12 MHz is applied to a cascaded counter of modulus-4 counter, modulus-5 counter and modulus-6 counter.

    Solution

    The overall modulus of the cascaded counter is the multiplication of the modulus of the individual counters.

    Overall modulus (N) = 4 × 5 × 6 = 120

    The clock frequency (fclk) = 12 MHz

    The lowest output frequency \(= \frac{{{f_{clk}}}}{N}\) 

    \(= \frac{{12 \times {{10}^6}}}{{120}} = 100\;kHz\)

  • Question 11
    2 / -0.33

    The simplified Sum of Product form of the following Boolean expression:

    \((P + \bar Q + \bar R )(P + Q+R)(P+Q+\bar R )\) is

    Solution

    \((P+\bar Q+ \bar R).(P+Q+R).(P+Q+\bar R)\)

    \((P+\bar Q+\bar R).(P+(Q+R)(Q+\bar R))\)

    \((P+\bar Q+\bar R).(P+Q)\)

    \((P+(\bar Q+\bar R)Q)\)

    \(P+Q\bar R\)

  • Question 12
    2 / -0.33

    In the circuit shown below, X and Y are digital inputs, and Z is a digital output. The equivalent circuit is a

    Solution

    Concept:

    XOR GATE

    Symbol:

    Truth Table:

    Input A

    Input B

    Output

    Y = A ⊕ B

    0

    0

    0

    0

    1

    1

    1

    0

    1

    1

    1

    0

    Z = X̅Y + XY̅

    The output represents the equation of the XOR gate.

  • Question 13
    2 / -0.33

    Consider the unsigned 8-bit point binary number representation below:

    X7X6X5X4 .X3X2X1X0

    where the position of the binary point is between X4 and X3. X7 is the MSB. Which of the decimal numbers cannot be represented exactly in the above representation:

    (a) 14.1875

    (b) 16.125

    (c)  3.03125

    (d) 1.6875

    Solution

    (a) 14.1875 = 1110. 0011

    Therefore, it can be represented

    (b) 16.125 = 10000.0010

    Since 5 bits is consumed by 16 ∴ it cannot be executed

    (c) 3.03125 = 0011.00001

    Since 5 bits is consumed by 0.3125 ∴ it cannot be executed

    (d) 1.6875 = 0001.1011

    Therefore, it can be represented

    Hence (b) and (c) cannot be represented

  • Question 14
    2 / -0.33

    The function AB’C + A’BC + ABC’ + A’B’C + AB’C’ is equivalent to

    Solution

    So, the equivalent expression will be A'C + AC' + AB'

  • Question 15
    2 / -0.33

    Which of the following expressions is equivalent to 

    Solution

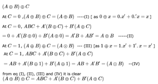
  • Question 16
    2 / -0.33

    Solution

    P:
    Y * Z = Y * (X*Y)
    = Y * (XY + X'Y')
    = Y (XY + X'Y') + Y' (XY + X'Y')'
    = XY + Y' ((X' + Y') (X+ Y))
    = XY + Y' (X'Y + XY')
    = XY + XY'
    = X(Y + Y')
    = X
    So, P is valid.

    Q: 
    X * Z = X * (X*Y)
    = X * (XY + X'Y')
    = X (XY + X'Y') + X' (XY + X'Y')'
    = XY + X' ((X' + Y') (X+ Y))
    = XY + X' (X'Y + XY')
    = XY + X'Y
    = Y(X + X')
    = Y
    So, Q is also valid.

    R:
    X * Y * Z = (X * Y) * (X * Y)
    = (XY + X'Y') * (XY + X'Y')
    = (XY + X'Y') (XY + X'Y') + (XY + X'Y')' (XY + X'Y')'
    = (XY + X'Y') + (XY + X'Y')' (Since, AA = A)  = 1 (Since A + A' = 1)

    So, R is also valid. 

    Hence, D choice.

  • Question 17
    2 / -0.33

    If P,Q,R are Boolean variables, then

    Solution

  • Question 18
    2 / -0.33

    In boolean algebra, the OR operation is performed by which properties?

    Solution

    The expression for Associative property is given by A + (B + C) = (A + B) + C & A * (B * C) = (A * B) * C. 

    The expression for Commutative property is given by A + B = B + A & A * B = B * A. 

    The expression for Distributive property is given by A + BC = (A + B)(A + C) & A(B + C) = AB + AC.

  • Question 19
    2 / -0.33

    Consider the function F = A + B̅C, where F is a three-variable Boolean function in which A is MSB and C is LSB. Which of the following is/are false among the given options?

    Solution

    Concept:

    Sum of product (SOP) – The concept of sum of products mainly includes min-term. Min-term is a Boolean expression resulting in 1 for the output of a single cell and 0’s for all other cells in K-Map. Min-term is all the 1’s in the truth table.

    Product of sum (POS) – Product of sum mainly includes max term. Max term is a Boolean expression resulting in 0 for the output of a single cell and 1 for all other cells in K-Map. Maxterm is all the 0’s in the truth table.

    Explanation:

    Function: X = A + B̅C

    Construct the truth table for this function:

    A

    B

    C

    A + B̅C

    0

    0

    0

    0

    0

    0

    1

    1

    0

    1

    0

    0

    0

    1

    1

    0

    1

    0

    0

    1

    1

    0

    1

    1

    1

    1

    0

    1

    1

    1

    1

    1


    Here F = ∑ (1, 4, 5, 6, 7) means sum of product which is all the 1’s in output of truth table.

    F = ∏ (0, 2, 3) means product of sum which is all the 0’s in the output of truth table.

    Option 2 and 3 are false.

     

  • Question 20
    2 / -0.33

    Consider the 64-bit register which stops floating point number in IEEE Double precision format

    What is the value of the number if 64 bits are given below?

    1

    10000000111

    010111000…

    Solution

    In IEEE 64-bit format,

    signed(s)

    Exponent(E)

    Mantissa(M)

    1 bit

    11 bits

    52 bits

     

    (-1)s × 1.M × 2E – 1023

    (-1)1 × 1.010111 × 21031 – 1023

    (-1)1 × 1.010111 × 28

    -1×(1 + 2-2 + 2-4 + 2-5 + 2-6)×28

    -1(256 + 64 + 16 + 8 + 4) = -348

  • Question 21
    2 / -0.33

    Which one of the following expressions does NOT represent exclusive NOR of x and y?

    Solution

    A: means both are either true OR both are false. then it will be true = ExNOR

    B & C: Whenever any one of the literal is complemented then ExOR can be turned to ExNOR and complement sign on the literal can be removed. So these two also represents ExNOR operation of x and y.

    Hence, the correct answer is option D it is the ExOR operation b/w the two.

  • Question 22
    2 / -0.33

    P, Q, and R are the decimal integers corresponding to the 4-bit binary number 1100 considered in signed magnitude, 1’s complement, and 2’s complement representations, respectively. The 6-bit 2’s complement representation of (P + Q + R) is

    Solution

    Concept:

    1. Signed magnitude representation uses the most significant bit (MSB) a sign bit.

    • If the sign bit is ‘0’ then the number is positive.
    • If the sign bit is ‘1’ then the number is negative.

    The remaining bits represent the magnitude of the binary number.

    2. 1’s complement representation:

    It is a representation of a binary number obtained by toggling all bits in it i.e. transforming the 0 bit to 1 and the 1 bit to 0.

    3. 2’s complement representation:

    It is obtained by simply adding 1 to the 1’s complement of that binary number.

    Calculation:

    Given: 4-bit binary number = 1100

    Signed magnitude representation (P): - 4

    1’s complement representation (Q): - 3

    2’s complement representation (R): - 4

    So,

    P + Q + R = (-4) + (-3) + (-4) = -11

    (-11)10 is represented in 2’s complement as:

    -(11)10 = 10101

    Since the Options are in 6 bits so, we copy sign bit once towards left.

    So 6-bit representation of (-11)10 is 110101

  • Question 23
    2 / -0.33

    denote the exclusive OR (XOR) operation. Let '1' and '0' denote the binary constants. Consider the following Boolean expression for F over two variables P and Q:

    The equivalent expression for is

    The equivalent expression for F is

    Solution

  • Question 24
    2 / -0.33

    How many functions does f1.f2 and f1 + f2 represents respectively if the given function is

    \({\rm{f}}1{\left( {{\rm{a}},{\rm{b}},{\rm{c}}} \right)_{}} = \mathop \sum \nolimits_M \;\left( {0,{\rm{\;}}1,{\rm{\;}}4} \right) + {\rm{\;}}\mathop \sum \limits_\emptyset \left( {3,{\rm{\;}}5,{\rm{\;}}7} \right)\)

    \({\rm{f}}2\left( {{\rm{a}},{\rm{b}},{\rm{c}}} \right) = \mathop \sum \nolimits_M \;\left( {2,3} \right) + {\rm{\;}}\mathop \sum \limits_\emptyset \left( {1,{\rm{\;}}6,{\rm{\;}}7} \right)\)

    where ∑m represents sum of min-terms and ∑ϕ represents and don’t care
    Solution

    Given:

    \(f1.f2\left( {a,b,c} \right) = \mathop \sum \limits_\emptyset \left( {1,3,7} \right)\)

    \(f1 + f2\left( {a,b,c} \right) = \sum \left( {0,1,2,3,4} \right) + \mathop \sum \limits_\emptyset \left( {5,6,7} \right)\)

    It is given in min-term form with the don’t care.

    In table form it is represented as :

    a

    b

    c

    f1

    f2

    f1.f2

    f1+f2

    0

    0

    0

    1

    0

    0

    1

    0

    0

    1

    1

    Ø

    Ø

    1

    0

    1

    0

    0

    1

    0

    1

    0

    1

    1

    Ø

    1

    Ø

    1

    1

    0

    0

    1

    0

    0

    1

    1

    0

    1

    Ø

    0

    0

    Ø

    1

    1

    0

    0

    Ø

    0

    Ø

    1

    1

    1

    Ø

    Ø

    Ø

    Ø

     

    Now,

    \(f1\left( {a,b,c} \right) = \sum \left( {0,\;1,\;4} \right) + \;\mathop \sum \limits_\emptyset \left( {3,\;5,\;7} \right)\)

    \(f2\left( {a,b,c} \right) = \sum \left( {2,3} \right) + \;\mathop \sum \limits_\emptyset \left( {1,\;6,7} \right)\)

    As, in f1.f2(a ,b ,c), there are 3 don’t cares .So, number of functions possible in this are : 23 = 8

    Similarly, in f1 + f2(a, b, c), there are 3 don’t cares. So, number of functions possible are : 2= 8

  • Question 25
    2 / -0.33
    D input of a clocked D-flip-flop receives and input A ⊕ Qn where A is an external logic input and Qn is the output of the nth D-FF before the clock appears. The circuit works as
    Solution

    Characteristic equation of a D flip flop is, Q (n + 1) = D

    Characteristic equation of a T flip flop is, Q (n + 1) = T ⊕ Qn

    The input of the D flip flop = A ⊕ Qn

    The output of the D flip flop will be, Q (n + 1) = A ⊕ Qn

    It represents, the characteristic equation of T flip flop.

Self Studies
User
Question Analysis
  • Correct -

  • Wrong -

  • Skipped -

My Perfomance
  • Score

    -

    out of -
  • Rank

    -

    out of -
Re-Attempt Weekly Quiz Competition
Self Studies Get latest Exam Updates
& Study Material Alerts!
No, Thanks
Self Studies
Click on Allow to receive notifications
Allow Notification
Self Studies
Self Studies Self Studies
To enable notifications follow this 2 steps:
  • First Click on Secure Icon Self Studies
  • Second click on the toggle icon
Allow Notification
Get latest Exam Updates & FREE Study Material Alerts!
Self Studies ×
Open Now