Self Studies

Digital Electronics Test 2

Result Self Studies

Digital Electronics Test 2
  • Score

    -

    out of -
  • Rank

    -

    out of -
TIME Taken - -
Self Studies
Weekly Quiz Competition
  • Question 1
    2 / -0.33
    An 8 –bit D/A converter has step size of 20 mV. The full-scale output and the resolution will be nearly
    Solution

    Concept:

    Resolution is defined as the smallest change in the analog output voltage corresponding to a change of one bit in the digital output.

    The percentage resolution of an n-bit DAC is given by:

    \(\%R = \frac{1}{{{2^n} - 1}} × 100\)

    Also, the full-scale output for the given step size (Δ) is given by:

    VFS = (2n - 1) × Δ

    where 2n - 1 = Number of levels

    Calculation:

    Given Δ = 20 mV and n= 8.

    The full-scale output will be:

    VFS = (28 - 1) × 20 mV

    VFS = 5.1 V

    also, the percentage resolution will be:

    \(\%R = \frac{1}{{{2^8} - 1}} × 100\)

    %R = 0.4 %

  • Question 2
    2 / -0.33

    Match the Boolean expression with its minimal realization

     

    Boolean expression

     

    Minimal realization

    P

    X̅ Y̅ Z̅ + X̅ Y Z̅ + X̅ Y Z

    K

    X (Y + Z)

    Q

    X Y Z + X Y̅ Z + X Y Z̅

    L

    X̅ (Y + Z̅)

    R

    X Y + X Y Z + X Y Z̅ + X̅ Y Z

    M

    Z

    S

    X̅ Y̅ Z + X̅ Y Z + X Y̅ Z + X Y Z

    N

    Y (X + Z)

    Solution

    (P) X̅ Y̅ Z̅ + X̅ Y Z̅ + X̅ Y Z

    = X̅ Y̅ Z̅ + X̅ Y̅ Z̅ + X̅ Y Z̅ + X̅ Y Z

    = X̅ Z̅ (Y̅ + Y) + X̅ Y (Z̅ + Z)

    = X̅ Z̅ + X̅ Y

    = X̅ (Y + Z̅) = L

    (Q) X Y Z + X Y̅ Z + X Y Z̅

    = X Y Z + X Y̅ Z + X Y Z + X Y Z̅

    = X Z (Y + Y̅) + X Y (Z + Z̅)

    = XZ + X Y

    = X (Y + Z) = K

    (R) X Y + X Y Z + X Y Z̅ + X̅ Y Z

    = XY (1 + Z + Z̅) + X̅ Y Z

    = X Y + X̅ Y Z

    = Y (X + X̅ Z) = Y (X + Z) = N

    (S) X̅ Y̅ Z + X̅ Y Z + X Y̅ Z + X Y Z

    = X̅ Z (Y̅ + Y) + XZ (Y̅ + Y)

    = X̅ Z + X Z = Z (X̅ + X)

    = Z = M

  • Question 3
    2 / -0.33

    In the truth table of an N-input OR gate, in the column for the output of the gate,

    Solution

    A two input OR gate truth table is shown below:

    From the truth table of OR gate it is clear tha output is 0’s only when all the inputs are 0’s otherwise for all other input combination outpu is always 1's. Hence, in the column for the outpu of the OR gate, the number of zeros is always 1's.

  • Question 4
    2 / -0.33

    Solution

  • Question 5
    2 / -0.33

    The simplified version of the logic circuit shown below consists of

    Solution

  • Question 6
    2 / -0.33

    The circuit shown in figure is a ECL OR-AND- INVERTER circuit. The output Z is

    Solution

    In case of ECL circuit, the floating inputs are considered as logic ‘0’. Hence output

  • Question 7
    2 / -0.33

    A switching function of four variable, f (w, x y, z) is to equal the product of two other function f1 and f2, of the same variable f = f1f2. The function f and f1 are as follows :

    f = ∑m(4,7,15)

    f = ∑m(0,1,2, 3, 4,7, 8,9,10,11,15)

    The number of full specified function, that will satisfy the given condition, is

    Solution

    f = ∑m(4,7,15)

    f1 = ∑m(0,1,2, 3, 4,7, 8,9,10,11,15)

    f2 = ∑m(4,7,15) + ∑dc(5, 6, 12, 13, 14)

    There are 5 don't care condition. So 25 = 32 different functions f2

  • Question 8
    2 / -0.33

    A four-variable switching function has minterms m6 and m9. If the literals in these minterms are complemented, the corresponding minterm numbers are

    Solution

  • Question 9
    2 / -0.33

    The minimum function that can detect a “divisible by 3’’ 8421 BCD code digit (representation D8 D4 D2 D1) is given by

    Solution

  • Question 10
    2 / -0.33

    Solution

  • Question 11
    2 / -0.33

    If f(t) is 1 MHz sinusoid with 1 Vp-p and sampling frequency fs is 25 kHz, the output:

    Solution

    Concept:

    A 1 Vp – Vp sinusoidal wave is drawn as shown:

    Given,

    fs = Sampling frequency = 25 kHz,

    So, Ts = 1/fs = 40 μsec.,

    ft is a harmonic of fs,i.e.

    ft = 40 fs.

    The following observations are made:

    • If sampling starts exactly at “0” sec, then the output is only 0V.
    • If sampling starts exactly at 0.25 μsec, then the output is 0.5 V DC value only
    • If sampling starts at 0.75 μsec then the output will be -0.5 V DC value only

    So, we conclude that whatever be the sampling start time, the output will be a DC value anywhere between 0.5 and -0.5 V depending on the instance the sampling starts.

  • Question 12
    2 / -0.33

    For a binary half subtractor having two input A and B, the correct set of logical expressions for the outputs D = (A - B) and X (borrow) are

    Solution

  • Question 13
    2 / -0.33

    What type of logic circuit is represented by the figure shown below?

    Solution

    After solving the circuit we get (A’B’)+AB as output, which is XNOR operation. Thus, it will produce 1 when inputs are even number of 1s or all 0s, and produce 0 when input is odd number of 1s.

  • Question 14
    2 / -0.33

    The building block shown in fig. is a active high output decoder.

    The output X is

    Solution

  • Question 15
    2 / -0.33

    The building block shown in fig. is a active high output decoder.

    The output Y is

    Solution

  • Question 16
    2 / -0.33

    A logic circuit consist of two 2 x 4 decoder as shown in fig.

    Solution

  • Question 17
    2 / -0.33

    Number of 2 × 1 Multiplexers are required to implement 64 × 1 Multiplexers

    Solution

    A 64 × 1 multiplexer has 64 inputs so if we use 2 × 1 multiplexers 32 are needed in the first stage for 64 inputs, the output of these 32 multiplexers are connected to inputs of 16 multiplexers in the second stage.

    Similarly, in third stage, 8 (2 × 1) multiplexers are used, in fourth stage 4 are used and finally 2 (2 × 1) multiplexers in the fifth stage, 1 in the sixth stage.

    Total 2 × 1 multiplexers needed are 32 + 16 + 8 + 4 + 2 + 1 = 63

  • Question 18
    2 / -0.33

    The network shown in fig. implements

    Solution

  • Question 19
    2 / -0.33

    The MUX shown in fig. P4.2.31 is 4 * 1 multiplexer. The output Z is

    Solution

    Correct Answer :- c

    Explanation : Z = (bar AB)C + (bar A)B + (bar B)A + AB

    = (bar A)[(barB)C + B) + A[(bar B) + B]

    = (bar A)[(B + C)] + A

    = A + B + C

  • Question 20
    2 / -0.33

    The MUX shown in fig. is a 4 x 1 multiplexer. The output Z is

    Solution

  • Question 21
    2 / -0.33

    Solution

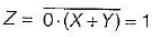
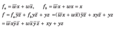
    The output from the upper first level multiplexer is fa and from the lower first level multiplexer is fb

  • Question 22
    2 / -0.33

    For the logic circuit shown in fig.the output Y is

    Solution

  • Question 23
    2 / -0.33

    The logic function F(A, B, C) = Σm(1, 3, 5, 6) can be implemented using

    Solution

    Given function,

     has three variables. Hence, it can be implemented using a multiplexer ( 4 x 1 M U X) with two select inputs and four data inputs.

    The implementation table is shown below:

    Now, the given three variable functions can be implemented using 4-to-1 multiplexer as shown below:

    Hence, for implementation of given function we require one 4 x 1 MUX and a NOT gate

  • Question 24
    2 / -0.33

    In a binary adder with two inputs X and Y, the correct set of logical expression for the output S (sum) and C (carry) are respectively

    Solution

  • Question 25
    2 / -0.33

    A certain multiplexer can switch one of 32 data inputs to its output. The number of control inputs in this multiplexer

    Solution

    No. of input lines = 2m (where, m = No. of select/ control inputs) or, 32 = 2m or m = 5.

Self Studies
User
Question Analysis
  • Correct -

  • Wrong -

  • Skipped -

My Perfomance
  • Score

    -

    out of -
  • Rank

    -

    out of -
Re-Attempt Weekly Quiz Competition
Self Studies Get latest Exam Updates
& Study Material Alerts!
No, Thanks
Self Studies
Click on Allow to receive notifications
Allow Notification
Self Studies
Self Studies Self Studies
To enable notifications follow this 2 steps:
  • First Click on Secure Icon Self Studies
  • Second click on the toggle icon
Allow Notification
Get latest Exam Updates & FREE Study Material Alerts!
Self Studies ×
Open Now