Self Studies

Signals and Systems Test 1

Result Self Studies

Signals and Systems Test 1
  • Score

    -

    out of -
  • Rank

    -

    out of -
TIME Taken - -
Self Studies
Weekly Quiz Competition
  • Question 1
    2 / -0.33
    If δ(t) is a unit impulse function, then the value of integral \(\mathop \smallint \nolimits_{ - \infty }^\infty {e^{ - t}}\delta \left( {2t - 2} \right)\;dt\) equals to _______. (Correct up to two decimal places)
    Solution

    Concept:

    \(\delta \left( {at \pm b} \right) = \frac{1}{{\left| a \right|}}\delta \left( {t \pm \frac{b}{a}} \right)\)

    Also, according to the sampling property, we have:

    \(\mathop \smallint \nolimits_{ - \infty }^\infty x\left( t \right)\delta \left( {t - {t_0}} \right)dt = x\left( {{t_0}} \right)\) 

    Analysis:

    Given:

    \(x\left( t \right) = \mathop \smallint \nolimits_{ - \infty }^\infty {e^{ - t}}\delta \left( {2t - 2} \right)dt\) 

    This can also be written as:

    \(x\left( t \right) = \mathop \smallint \nolimits_{ - \infty }^\infty {e^{ - t}}.\frac{1}{2}\delta \left( {t - 1} \right)dt\) 

    \(x\left( t \right) = \frac{1}{2}\mathop \smallint \nolimits_{ - \infty }^\infty {e^{ - t}}.\delta \left( {t - 1} \right)dt\) 

    Using the sampling property, we can write:

    \(x\left( t \right) = \frac{1}{2}{e^{ - t}}{\left. \right|_{at\;t = 1}}\) 

    \(x\left( t \right) = \frac{1}{2}{e^{ - 1}}\) 

    \(x\left( t \right) = \frac{1}{2} \times 0.367 = 0.184\) 

  • Question 2
    2 / -0.33
    If the signal cos (15 t) is sampled at a sampling interval of Ts and the resulting discrete time signal is periodic with period 4. Then the sampling interval Ts may be:
    Solution

    Concept:

    Discrete signal is periodic if

    \(\frac{N}{K}=\frac{2\pi }{{{\omega }_{0}}}\) is integer

    Application

    \(\cos 15~t\underset{Sampling}{\mathop{\to }}\,\cos \left( 15\dot{n}{{T}_{s}} \right)\)

    Period:

    \(\frac{N}{K}=\frac{2\pi }{15\left( {{T}_{s}} \right)}\)

    \({{T}_{s}}=\frac{2\pi }{15}\times \frac{K}{N}\)

    \({{T}_{s}}=\frac{2\pi }{15}\times \frac{K}{4}\)

    \({{T}_{s}}=\frac{\pi }{30}K\)

    Sampling interval is Integral multiple of π/30
  • Question 3
    2 / -0.33

    The raised cosine pulse x(t) is defined as

    \(x\left( t \right) = \left\{ {\begin{array}{*{20}{c}} {\frac{1}{2}(\cos \omega t + 1),\;\;\;}\\ {0,} \end{array}\begin{array}{*{20}{c}} { - \frac{\pi }{\omega } \le t \le \frac{\pi }{\omega }}\\ {otherwise} \end{array}} \right.\)

    The total energy of x(t) is kπ / ω such that the value of k (Correct upto two decimal places) is _______. 
    Solution

    Concept:

    The energy of a signal x(t) is calculated as:

    \(E = \mathop \smallint \nolimits_{ - \infty }^\infty {\left( {x\left( t \right)} \right)^2}dt\) 

    Analysis:

    The given raised cosine pulse is defined as:

    \(x\left( t \right) = \left\{ {\begin{array}{*{20}{c}}{\frac{1}{2}(\cos \omega t + 1),}\\{0,}\end{array}\begin{array}{*{20}{c}}{ - \frac{\pi }{\omega } \le t \le \frac{\pi }{\omega }}\\{otherwise}\end{array}} \right.\) 

    For the defined range, the energy will be:

    \(E = \mathop \smallint \limits_{ - \frac{\pi }{\omega }}^{\frac{\pi }{\omega }} \frac{1}{4}{\left( {\cos \omega t + 1} \right)^2}dt\)

    Since the function inside the integration is an even function, we can write:

    \(E = \frac{2}{4}\mathop \smallint \nolimits_0^{\frac{\pi }{\omega }} {\left( {\cos \omega t + 1} \right)^2}dt\) 

    \( = \frac{1}{2}\mathop \smallint \nolimits_0^{\frac{\pi }{\omega }} \left( {{{\cos }^2}\omega t + 1 + 2\cos \omega t} \right)dt\) 

    \(= \frac{1}{2}\mathop \smallint \nolimits_0^{\frac{\pi }{\omega }} \left( {\frac{1}{2}\cos 2\omega t + \frac{1}{2} + 2\cos \omega t + 1} \right)dt\) 

    \( = \frac{1}{2}\left[ {\left. {\frac{1}{2}\frac{{\sin 2\omega t}}{{2\omega }}} \right|_0^{\frac{\pi }{\omega }} + \left. {\frac{3}{2}t} \right|_0^{\frac{\pi }{\omega }} + \left. {\frac{{2\sin \omega t}}{\omega }} \right|_0^{\frac{\pi }{\omega }}} \right]\) 

    \(= \frac{1}{2} \times \frac{3}{2}\left( {\frac{\pi }{\omega } - 0} \right)\) 

    \(= \frac{{3\pi }}{{4\omega }}\) 

    From the given problem, we have:

    \({E_x} = \frac{{k\pi }}{\omega }\) 

    Comparing the two, we get:

    \(k = \frac{3}{4} = 0.75\) 

  • Question 4
    2 / -0.33

    The signal x(t) = A cos(ωt + φ) is:

    Solution

    All bounded periodic signals are power signals, because they do not converge to a finite value so their energy is infinite and their power is finite.

  • Question 5
    2 / -0.33
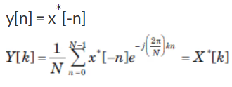
    Let x[n] = x[-n] Let X(z) be the Z-transform of x[n]. if 1 + j2 is a zero of X(z). Which one of the following must also be a zero of X(z)
    Solution

    Time reversal property of Z-transform

    X[n] ↔ X(z)

    X[-n] ↔ X(z-1)

    Given that x[n] = x[-n]

    X(z) = X(z-1)

    Zero of X(z) = 1 + j2

    Then another zero will be:

    \(\frac{1}{1+j2}=\frac{1-j2}{5}\)

    \(=0.2-0.4j\)

  • Question 6
    2 / -0.33
    Given that H(z) is a causal and stable IIR filter, if z in H(z) is replaced by \(\frac{1}{z}\), the resulting filter will be
    Solution

    Use the properties:

    • An LTI system is stable if and only if the ROC includes |z| = 1 (unit circle)
    • A causal LTI system with rational system function H(z) is stable is and only if all the poles of H(z) lie inside the unit circle.
    • On changing z by \(\frac{1}{z}\), the poles of H(z) will lie outside the unit circle.
    • But ROC of X(z-1) is opposite to ROC of X(Z) i.e. inside the innermost pole.

     

    For the given IIR filter that is both causal and stable, the poles will lie inside the unit circle and the ROC will include the |z| = 1 circle.

    By replacing z with 1/z, the poles will shift to the outside of the unit circle and the ROC will now be the inside portion which will still include the |z| = 1 circle.
    Thus changing z by \(\frac{1}{z},~H\left( z \right)\) becomes non-causal but stable.

  • Question 7
    2 / -0.33

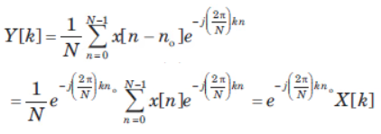
    Consider a periodic signal x[n] with period N and FS coefficients X [k]. Determine the FS coefficients Y [k] of the signal y[n] given in question.

    y[n] = x[ n - no]

    Solution

  • Question 8
    2 / -0.33

    Consider a periodic signal x[n] with period N and FS coefficients X [k]. Determine the FS coefficients Y [k] of the signal y[n] given in question.

    y[n] = x[n] - x[n-2 ]

    Solution

  • Question 9
    2 / -0.33

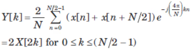
    Consider a periodic signal x[n] with period N and FS coefficients X [k]. Determine the FS coefficients Y [k] of the signal y[n] given in question.

    y[n] = x[n] + x[n + N/2 ] , (assume that N is even)

    Solution

    Note that y[n] =  x[n] + x[n + N/2 ] has a period of N/2 and N has been assumed to be even,

  • Question 10
    2 / -0.33

    Consider a periodic signal x[n] with period N and FS coefficients X [k]. Determine the FS coefficients Y [k] of the signal y[n] given in question.

    y[n] = x*[-n]

    Solution

  • Question 11
    2 / -0.33

    The frequency response and the main lobe width for rectangular window are

    Solution

    The rectangular window is the most common windowing technique to design a finite impulse response (FIR) filter.

    For the given rectangular sequence, the Fourier transform will be a sinc sequence given by:

  • Question 12
    2 / -0.33
    A function is given by f(t) = cos2t + cos 2t. Which of the following is true?
    Solution

    f(t) = cos2t + cos 2t

    \(= \frac{{1 + \cos 2t}}{2} + \cos 2t\) 

    \( = \frac{1}{2} + \frac{3}{2}\cos 2t\) 

    The function has a DC term and a cosine function. The frequency of cosine terms is

    ω = 2

    ⇒ 2πf = 2

    \(\Rightarrow f = \frac{1}{\pi }Hz\) 

    The given function f(t) has frequency components at 0 and 1/π Hz.
  • Question 13
    2 / -0.33

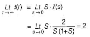
    A voltage having the laplace transform  is applied across a 2H inductor having zero initial current What is the current in the inductor at t = ∞?

    Solution

    1. Write the Laplace-domain relation for an inductor
    For an inductor of inductance L with zero initial current:
    V(s) = L s I(s)

    2. Express I(s) in terms of the given voltage transform
    Given V(s) = (4 s² + 3 s + 2) / (7 s² + 6 s + 5) and L = 2 H,
    I(s) = V(s) / (L s)
    = (4 s² + 3 s + 2) / [2 s (7 s² + 6 s + 5)]

    3. Apply the Final-Value Theorem to find the steady current
    The final-value theorem states that i(∞) = limₜ→∞ i(t) = limₛ→0 [s I(s)], provided all poles of s I(s) lie in the left half-plane.
    So
    i(∞) = limₛ→0 [s · (4 s² + 3 s + 2) / (2 s (7 s² + 6 s + 5))]
    = limₛ→0 [(4 s² + 3 s + 2) / (2 (7 s² + 6 s + 5))]
    = 2 / 10
    = 0.2 A

    Choose the correct option: The steady-state current is 0.2 A (Option B).

  • Question 14
    2 / -0.33

    The function f (t) shown in figure will have laplace transform as:

    Solution

  • Question 15
    2 / -0.33

    Solution

  • Question 16
    2 / -0.33

    Solution

  • Question 17
    2 / -0.33

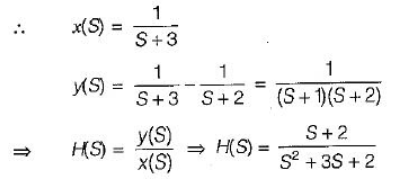
    If the input to LTI system is x(t) = e-3t u(t). Then the output is y(t) = [e-t - e-2t] u(t) the transfer function of the system is

    Solution

  • Question 18
    2 / -0.33

    If an all pass causal LTI system is described by the expression

    y[n] – ay[n - 1] = bx[n] + x[n - 1]

    Then the ratio b / a = ______
    Solution

    Given difference equation is:

    y(n) – ay(n - 1) = bx(n) + x(n - 1)

    Taking the fourier transform on both the sides, we get:

    Y(e) – ae-jω ⋅ y(e) = bX(e) + e-jω X(e)

    Y(e) (1 – ae-jω) = X(e) [b + e-jω]

    \(\frac{{Y\left( {{e^{j\omega }}} \right)}}{{X\left( {{e^{j\omega }}} \right)}} = H\left( {{e^{j\omega }}} \right)\)

    \(H\left( {{e^{j\omega }}} \right) = \frac{{b + {e^{ - j\omega }}}}{{1 - a{e^{ - j\omega }}}}\)

    For an all-pass system, the magnitude of the transfer function is always unity, i.e.

    |H(e)| = 1 for all ω.

    |b + e-jω| = |1 – ae-jω|

    |b + cosω  – j sin ω| = |1 – (a cos ω – aj sin ω)|

    (b + cos ω)2 + (-sin ω)2 = |(1 – a cos ω)2 + (-a sin ω)2|

    b2 + cos2 ω + 2b cos ω + sin2 ω  = 1 + a2 cos2 ω  – 2a cos ω  + a2 sin2 ω

    b2 + 1 + 2b cos ω  = 1 + a2 – 2a cos ω

    The above equality will hold true only when:

    b = -a, i.e.

    \(\frac{b}{a} = - 1\)

  • Question 19
    2 / -0.33

    The time-domain signal corresponding to the following z-transform is:

    \(X\left( z \right) = \mathop \sum \limits_{k = 5}^{10} \frac{1}{k}{z^{ - k}},\left| {\rm{z}} \right| > 0\)

    Solution

    Concept:

    The z- transform of an impulse function is:

    \(\delta \left( n \right)\overset{z-transfrom}{\longleftrightarrow} 1,\)

    with ROC the entire z – plane.

    Also according to the time-shifting property of the z-transform,

    If δ(n) ↔ 1

    δ(n- z0) ↔ z-zo

    Calculation:

    Given,

    \(X\left( z \right)=\mathop \sum \limits_{k = 5}^{10}\frac{1}{k}{{z}^{-k}},\left| \text{z} \right|>0\)

    Expanding the above, we get;

    \(\Rightarrow X\left( z \right)=\frac{1}{5}.{{z}^{-5}}+\frac{1}{6}{{z}^{-6}}+\frac{1}{7}{{z}^{-7}}+\frac{1}{8}{{z}^{-8}}+~---+\frac{1}{10}{{z}^{-10}}\)

    Taking the Inverse- z transform of the above, we get;

    \(x\left( n \right)=\frac{1}{5}\delta \left( n-5 \right)+\frac{1}{6}\delta \left( n-6 \right)+~----\frac{1}{10}\delta \left( n-10 \right)\)

    The above can be written as;

    \(x\left( n \right)=\mathop \sum \limits_{k = 5}^{10}\frac{1}{k}.\delta \left( n-k \right)\)

    So, Option (4) is correct.

  • Question 20
    2 / -0.33

    Solution

  • Question 21
    2 / -0.33

    The transfer functions of the sytem is given by  The impulse response of the system is

    Solution

  • Question 22
    2 / -0.33

    The Laplace transform of a continuous signal  If the Fourier transform of the signal exists, then x(t) is

    Solution

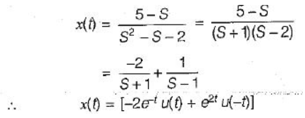
  • Question 23
    2 / -0.33

    The laplace transform of i(t) is given by  the value of i(t) tends to

    Solution

  • Question 24
    2 / -0.33

    Let X(e) denote the Fourier transform of the signal x[n], where:

    \(x\left( n \right) = \left\{ { - 1,0,1,\begin{array}{*{20}{c}} 2\\ \uparrow \end{array},1,0,1,2,1,0, - 1} \right\}\)

    The value of F-1 {Re{X(e)}} at n = 0 will be ________. (The arrow represents the origin)
    Solution

    Concept:

    The DTFT of a discrete sequence is a complex quantity, which can be defined as:

    X(e) = Real {X(e)} + Img. {X(ejω)}

    Where the Real {X(ejω)} is nothing but the DTFT of the even part of the signal.

    Proof:

    A signal can be written as the sum of the even part and odd part, is:

    \({x_e}\left( n \right) = \frac{{x\left( n \right) + x\left( { - n} \right)}}{2}\)

    \({x_0}\left( n \right) = \frac{{x\left( n \right) - x\left( { - n} \right)}}{2}\)

    \(x\left( -n \right)\mathop \leftrightarrow \limits^{DTFT} X\left( {{e^{ - jω }}} \right)\)

    Taking the Fourier transform of the even part, we get:

    \({X_e}\left( {{e^{jω }}} \right) = \frac{{X\left( {{e^{jω }}} \right) + X\left( {{e^{ - jω }}} \right)}}{2}\)

    This can be written as:

    \({X_e}\left( {{e^{jω }}} \right) = \frac{{R\dot e\left\{ {X\left( {{e^{jω }}} \right)} \right\} + jIm\left\{ {X\left( {{e^{jω }}} \right)} \right\} + Re\left\{ {X\left( {{e^{jω }}} \right)} \right\} - jIm\left\{ {X\left( {{e^{jω }}} \right)} \right\}}}{2}\)  

    Xe(e) = Re{X(e)}

    Application:

    We are required to find F-1{Re{X(e)}} at n = 0

    The inverse DTFT of Re{X(e)} is xe(n)

    Given:

    \(x\left( n \right) = \left\{ { - 1,0,1,\begin{array}{*{20}{c}} 2\\ \uparrow \end{array},1,0,1,2,1,0, - 1} \right\}\)

    \(x\left( { - n} \right) = \left\{ { - 1,0,1,2,1,0,1,\begin{array}{*{20}{c}} 2\\ \uparrow \end{array},1,0, - 1} \right\}\)

    xe(n) will be:

    \(\frac{{x\left( n \right) + x\left( { - n} \right)}}{2} = \left\{ {\frac{{ - 1}}{2},0,\frac{1}{2},1,0,0,1,\begin{array}{*{20}{c}} 2\\ \uparrow \end{array},1,0,0,1,\frac{1}{2},0,\frac{{ - 1}}{2}} \right\}\)

    ∴ At n = 0, we have:

    \({F^{ - 1}}\left\{ {Re\left\{ {X\left( {{e^{jw}}} \right)} \right\}} \right\} = {x_e}\left( 0 \right) = 2\)

  • Question 25
    2 / -0.33
    A three point filter with impulse response \(h\left[ n \right] = \begin{array}{*{20}{c}}{\left\{ {p,q,p} \right\}}\\ \uparrow \end{array}\) that completely blocks \(f = \frac{1}{4}\;Hz\) and passes \(f = \frac{1}{8}\;Hz\) with unity gain. The value of p +q is _____.
    Solution

    H(z) = pz + q + pz-1

    Z = ejωT

    \(f = \frac{1}{4}\;Hz\) 

    \(\omega = 2\pi \times \frac{1}{4} = \frac{\pi }{2}\) 

    \(f = \frac{1}{8}\;Hz\)

    \(\omega = 2\pi \times \frac{1}{8} = \frac{\pi }{4}\) 

    \(H\left( {{e^{j\omega }}} \right) = p\;{e^{j\omega }} + q + p\;{e^{ - j\omega }}\) 

    At \(\omega = \frac{\pi }{2}\)

    \(\left| {H\left( {{e^{j\omega }}} \right)} \right| = 0\)

    \(0 = p\;{e^{j\frac{\pi }{2}}} + q + p\;{e^{ - j\frac{\pi }{2}}}\)

    \(0 = p\left( {0 + j} \right) + q + p\left( {0 - j} \right)\) 

    0 = q

    At \(\omega = \frac{\pi }{4}\)

    \(H\left( {{e^{j\omega }}} \right) = p\;{e^{j\frac{\pi }{4}}} + q + p\;{e^{ - j\frac{\pi }{4}}}\) 

    q = 0

    \(= p\left( {\frac{1}{{\sqrt 2 }} - j\frac{1}{{\sqrt 2 }}} \right) + p\left( {\frac{1}{{\sqrt 2 }}\frac{{ - j}}{{\sqrt 2 }}} \right)\) 

    \(\frac{{2p}}{{\sqrt 2 }} = H\left( {{e^{j\omega }}} \right)\) 

    \(p = \frac{1}{{\sqrt 2 }}\)

    \(H\left( {{e^{j\omega }}} \right) = \frac{1}{{\sqrt 2 }}{e^{j\omega }} + \frac{1}{{\sqrt 2 }}{e^{ - j\omega }}\)
Self Studies
User
Question Analysis
  • Correct -

  • Wrong -

  • Skipped -

My Perfomance
  • Score

    -

    out of -
  • Rank

    -

    out of -
Re-Attempt Weekly Quiz Competition
Self Studies Get latest Exam Updates
& Study Material Alerts!
No, Thanks
Self Studies
Click on Allow to receive notifications
Allow Notification
Self Studies
Self Studies Self Studies
To enable notifications follow this 2 steps:
  • First Click on Secure Icon Self Studies
  • Second click on the toggle icon
Allow Notification
Get latest Exam Updates & FREE Study Material Alerts!
Self Studies ×
Open Now