Self Studies

Control Systems Test 2

Result Self Studies

Control Systems Test 2
  • Score

    -

    out of -
  • Rank

    -

    out of -
TIME Taken - -
Self Studies

SHARING IS CARING

If our Website helped you a little, then kindly spread our voice using Social Networks. Spread our word to your readers, friends, teachers, students & all those close ones who deserve to know what you know now.

Self Studies Self Studies
Weekly Quiz Competition
  • Question 1
    2 / -0.33

    The open-loop transfer function of a ufb control system is given by

    For the system to be stable the range of K is

    Solution

  • Question 2
    2 / -0.33
    Of the given systems transfer function, the system more relatively stable is
    Solution

    The relative stability of a control system is determined by the position of the dominant pole.

    Since the setting time is inversely proportional to the real part of pole hence faster-settling response is more stable i.e. the dominant pole of the system must be farther away from the origin (more negative) for the stability to improve.

    For option 1 poles: -1, 0.1

    For option 2 poles: -2, -2

    For option 3 poles: -5, -1

    For option 4 poles: -3, -1

    Transfer function in option 2 has dominant pole farther away from origin, hence it is most stable.
  • Question 3
    2 / -0.33
    The loop gain GH of a closed-loop system is given \(\frac{K}{{s\left( {s + 2} \right)\left( {s + 4} \right)}}\). What is the value of K for which the system just becomes unstable?
    Solution

    The loop gain of a closed-loop system is:

    \(G\left( s \right)H\left( s \right) = \frac{K}{{s\left( {s + 2} \right)\left( {s + 4} \right)}}\) 

    So, the characteristic equation of the system is

    1 + G(s) H(s) = 0

    Or \(1 + \frac{K}{{s\left( {s + 2} \right)\left( {s + 4} \right)}} = 0\) 

    Or \({s^3} + 6{s^2} + 8s + K = 0\) 

    Therefore, we form the Routh’s array for the characteristic equation as

    s3

    1

    8

    s2

    6

    K

    s1

    \(\frac{{48 - K}}{6}\)

     

    s0

    K

     

     

    For K = 48: s1 row is completely zero and two poles lie on jω axis. So, the system is marginally stable.

    For 0 < K < 48 : No sign change in first column. Hence, the system is stable.

    For K > 48: Two sign changes in the first column. Hence, unstable system.

    So, K = 48 is the value for which the system just becomes unstable.

  • Question 4
    2 / -0.33

    The state space representation of a system is given by

    \(\dot x = \left[ {\begin{array}{*{20}{c}}0&1\\0&{ - 3}\end{array}} \right]x + \left[ {\begin{array}{*{20}{c}}1\\0\end{array}} \right]u,y = \left[ {\begin{array}{*{20}{c}}1&0\end{array}} \right]x\)

    The transfer function \(\frac{{Y\left( s \right)}}{{U\left( s \right)}}\) of the system will be

    Solution

    \(\begin{array}{l}\dot x = \left[ {\begin{array}{*{20}{c}}0&1\\0&{ - 3}\end{array}} \right]x + \left[ {\begin{array}{*{20}{c}}1\\0\end{array}} \right]u\\y = \left[ {\begin{array}{*{20}{c}}1&0\end{array}} \right]x\\A = \left[ {\begin{array}{*{20}{c}}0&1\\0&{ - 3}\end{array}} \right]B = \left[ {\begin{array}{*{20}{c}}1\\0\end{array}} \right]C = \left[ {\begin{array}{*{20}{c}}1&0\end{array}} \right]\end{array}\)

    \(\begin{array}{l}\frac{{y\left( s \right)}}{{u\left( s \right)}} = c{\left[ {sI - A} \right]^{ - 1}}B + D\\\left[ {sI - A} \right] = \left[ {\begin{array}{*{20}{c}}s&{ - 1}\\0&{s + 3}\end{array}} \right]\\{\left[ {sI - A} \right]^{ - 1}} = \frac{1}{{s\left( {s + 3} \right)}}\left[ {\begin{array}{*{20}{c}}{s + 3}&1\\0&s\end{array}} \right]\end{array}\)

    \(\begin{array}{l}\frac{{y\left( s \right)}}{{u\left( s \right)}} = \left[ {\begin{array}{*{20}{c}}1&0\end{array}} \right]\frac{1}{{s\left( {s + 3} \right)}}\left[ {\begin{array}{*{20}{c}}{s + 3}&1\\0&s\end{array}} \right]\left[ {\begin{array}{*{20}{c}}1\\0\end{array}} \right]\\ = \frac{1}{{s\left( {s + 3} \right)}}\left[ {\begin{array}{*{20}{c}}{s + 3}&1\end{array}} \right]\left[ {\begin{array}{*{20}{c}}1\\0\end{array}} \right]\\ = \frac{1}{{s\left( {s + 3} \right)}}\left[ {s + 3} \right]\\ = \frac{1}{s}\end{array}\)

  • Question 5
    2 / -0.33
    The open loop transfer function of a unity feedback control system is given by G(s) = Ke-Ts. Where, K and T are constants and these are greater than zero. The stability of closed loop system depends on which of the following?
    Solution

    G(s) = Ke-Ts

    The characteristic equation:

    CE: 1 + G(s) = 0

    ⇒ 1 + K(e-Ts) = 0

    By using approximation, e-Ts ≈ 1 – Ts

    ⇒ 1 + K(1 – Ts) = 0

    ⇒ 1 + K – KTs = 0

    \(\Rightarrow s = \frac{{1 + T}}{{KT}} = \frac{1}{T}\left( {1 + \frac{1}{K}} \right)\)

    Given that K and T are greater than zero.

    So, for all values of K and T, S will be positive.

    So, the system is always unstable and stability is unaffected by K and T.
  • Question 6
    2 / -0.33

    If the roots have negative real parts, then the response is ____________

    Solution

    If the roots have negative real parts, then the response is bounded and eventually decreases to zero.

  • Question 7
    2 / -0.33

    The closed loop transfer function of a system is

    The number of poles in RHP and in LHP are

    Solution

  • Question 8
    2 / -0.33
    The transfer function of a system is \(\frac{{10\left( {s + 2} \right)}}{{s - 1}}\) the DC gain of the system is
    Solution

    The DC gain is the ratio of magnitude of steady state step response to the magnitude of step input.

    For stable systems it is evaluated using S = 0

    For unstable systems it is not defined

    Common error : S = 0 for DC gain is valid only if the system is stable and not for unstable systems.
  • Question 9
    2 / -0.33

    For the system shown in fig. the number of poles on RHP, LHP, and imaginary axis are:

    Solution

  • Question 10
    2 / -0.33

    A control system has 10 poles and 2 zeros. The slope of its very high frequency asymptote in magnitude bode plot is ________ in dB/dec

    Solution

    In magnitude bode plot each pole adds -20dB/dec slope and each zero adds +20dB/dec.

    At very high frequency slope of bode plot asymptote

    \(= 10\left( { - 20\frac{{dB}}{{{dec}}}} \right) + 2\left( {20\frac{{dB}}{{{dec}}}} \right)\)

    = -160 dB/dec

  • Question 11
    2 / -0.33
    A closed loop control system is stable if the Nyquist plot of the corresponding open-loop transfer function 
    Solution

    Concept:

    From the principal of Argument theorem,

    The number of encirclements about (-1, 0) is \({\rm{N}} = {\rm{P}}-{\rm{Z}}\) 

    Where P = Number of open-loop poles on Right – Half of s – plane

    Z = Number of Closed Loop Poles on Right Half of s – plane

    Given that the closed-loop system is stable means \({\rm{z}} = {\rm{}}0 \Rightarrow {\rm{N}} = {\rm{P}}\)

    ∴ So the Nyquist encircles the s – plane point (-1 +j0) in the counter-clockwise direction as many times as the number of right half s – plane poles

    Note:

    D(s) = 1 + G(s)H(s)

    D(s) gives the roots of characteristic equation i.e. closed-loop poles.

    Nyquist stability criteria state that the number of unstable closed-loop poles is equal to the number of unstable open-loop poles plus the number of encirclements of the origin of the Nyquist plot of the complex function D(s).

    It can be slightly simplified if instead of plotting the function D(s) = 1 + G(s)H(s), we plot only the function G(s)H(s) around the point and count encirclement of the Nyquist plot of around the point (-1, j0).

  • Question 12
    2 / -0.33

    If a system is given unbounded input then the system is:

    Solution

    If the system is given with the unbounded input then nothing can be clarified for the stability of the system.

  • Question 13
    2 / -0.33

    For the open loop system of fig. location of poles on RHP, LHP, and an jω - axis are

    Solution

    Them is two sign change from the s4 mw down to the s° row. So two roots are on RHS. Because of symmetry rest two roots must be in LHP. From s6 to s4 there is 1 sign change so 1 on RHP and 1 on LHP.

    Total LHP 3 root, RHP 3 root.

  • Question 14
    2 / -0.33

    For a linear time invariant system, an optimal controller can be designed if

    Solution

    An optimal controller for an LTI system can be designed provided the system is both controllable and observable

  • Question 15
    2 / -0.33

    The eigen values of linear system are the location of

    Solution

    Eigen value are given by | sI - A | = 0, which is the location of poles.

  • Question 16
    2 / -0.33

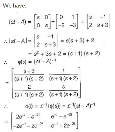
    If the system matrix of a linear time invariant continuous system is given by

    Its characteristic equation will be given by

    Solution

  • Question 17
    2 / -0.33

    The vector matrix differential equation of a system is given by

    The state transition matrix of the system is

    Solution

  • Question 18
    2 / -0.33

    The system matrix of a continous time system is given by:

    The characteristic equation is

    Solution

  • Question 19
    2 / -0.33
    The pole zero configuration of a closed loop control system is given by (s1, s2) = -2 ± j2. The undamped resonant frequency (in rad/sec) is ________.
    Solution

    Given that,

    s1 = -2 + j2

    s2 = -2 – j2

    Characteristic equation:

    (s – (-2 + j2)) (s – (-2 –j2)) = 0

    ⇒ (s + 2 – j2) (s + 2 + j2) = 0

    ⇒ (s+2)2 – (j2)2 = 0

    ⇒ s2 + 4s + 8 = 0

    By comparing the above equation with standard second order characteristic equation,

    s2 + 2ξωn s + ωn2 = 0

    \({\rm{\omega }}_n^2 = 8 \Rightarrow {{\rm{\omega }}_n} = 2\sqrt 2 \;rad/sec\)

    2ξωn = 4

    \(\Rightarrow \xi = \frac{4}{{2 \times 2\sqrt 2 }} = \frac{1}{{\sqrt 2 }}\) 

    Undamped resonant frequency, \({{\rm{\omega }}_r} = {{\rm{\omega }}_n}\sqrt {1 - 2{\xi ^2}}\)

    \(= 2\sqrt 2 \;\sqrt {1 - 2{{\left( {\frac{1}{{\sqrt 2 }}} \right)}^2}} = 0\)

  • Question 20
    2 / -0.33

    A system is described by the following equations:

    The transfer function of the system is

    Solution

  • Question 21
    2 / -0.33

    A system with impulse response is essentially a _______ compensator and used as a ________ filter.

    Solution

  • Question 22
    2 / -0.33

    Which of the following is true for the network shown below -

    Solution

    In general, the lead and lag compensator is represented by the below transfer function

    If a > b then that is lag compensator because pole comes first.
    If a < b then that is the lead compensator since zero comes first.
    Analysis:

    Lead compensator:
    1) When sinusoidal input applied to this it produces sinusoidal output with the phase lead input.
    2) It speeds up the Transient response and increases the margin for stability.

    A circuit diagram is as shown:

  • Question 23
    2 / -0.33

    For the system, whose open-loop transfer function is G(s) H(S) \(= \frac{K}{{{{\left( {s + 2} \right)}^2}\left( {s + 3} \right)}}\)

    What is the difference between the maximum value and minimum value of K which satisfies the following specifications:

    (i) Position error constant KP ≥ 2

    (ii) Gain margin ≥ 3

    Solution

    \(G\left( s \right)H\left( s \right) = \frac{K}{{{{\left( {s + 2} \right)}^2}\left( {s + 3} \right)}}\)

    Position error constant \(\mathop {{\rm{lt}}}\limits_{s \to 0} G\left( s \right)H\left( s \right)\)

    \(= \mathop {{\rm{It}}}\limits_{s \to 0} \frac{K}{{{{\left( {s + 2} \right)}^2}\left( {s + 3} \right)}}\)

    \(= \frac{K}{{12}}\)

    Given that, KP ≥ 2

    ⇒ K ≥ 24

    Gain margin \(= \frac{1}{{\left| {G\left( {j{\rm{\omega }}} \right)H\left( {j{\rm{\omega }}} \right)} \right|}}\;at\;{\rm{\omega }} = {{\rm{\omega }}_{pc}}\)

    At ωpc, ∠G(jω) H(jω) = -180°

    \(\Rightarrow - 2{\tan ^{ - 1}}\left( {\frac{{\rm{\omega }}}{2}} \right) - {\tan ^{ - 1}}\left( {\frac{{\rm{\omega }}}{3}} \right) = \; - 180^\circ\)

    \(\Rightarrow {\tan ^{ - 1}}\left( {\frac{{\rm{\omega }}}{2}} \right) + {\tan ^{ - 1}}\left( {\frac{{\rm{\omega }}}{2}} \right) + {\tan ^{ - 1}}\left( {\frac{{\rm{\omega }}}{3}} \right) = 180^\circ\)

    \(\Rightarrow {\tan ^{ - 1}}\left( {\frac{{\rm{\omega }}}{{\frac{{1 - {{\rm{\omega }}^2}}}{4}}}} \right) + {\tan ^{ - 1}}\left( {\frac{{\rm{\omega }}}{3}} \right) = 180^\circ\)

    \(\Rightarrow \left( {\frac{{\rm{\omega }}}{{\frac{{1 - {{\rm{\omega }}^2}}}{4}}}} \right) + \left( {\frac{{\rm{\omega }}}{3}} \right) = 0\)

    \(\Rightarrow \frac{{{{\rm{\omega }}^2}}}{4} - 1 = 3\)

    ⇒ ω = 4 rad/sec

    Gain margin \(= \frac{{\left( {{{\rm{\omega }}^2} + 4} \right)\left( {\sqrt {{{\rm{\omega }}^2} + 9} } \right)}}{K} = \frac{{\left( {20} \right)\left( 5 \right)}}{K} = \frac{{100}}{K}\)

    Given that,

    Gain margin ≥ 3

    \(\Rightarrow \frac{{100}}{K} \ge 3 \Rightarrow \;K \le \frac{{100}}{3}\)

    Range of K is: \(24 \le K \le \frac{{100}}{3}\)

    Maximum value \(= \frac{{100}}{3}\)

    Minimum value = 24

    Difference \(= \frac{{100}}{3} - 24 = \frac{{28}}{3} = 9.33\)

  • Question 24
    2 / -0.33

    The maximum phase shift that can be obtained by using a lead compensator with transfer function Gc(s) =  equal to

    Solution

  • Question 25
    2 / -0.33
    The response y(t) of a linear system to an excitation x(t) = e-3t u(t) is y(t) = (2t + 1) e-2t u(t). Poles and zeros will be at
    Solution

    x(t) = e-3t u(t)

    \(\Rightarrow X\left( s \right) = \frac{1}{{s + 3}}\) 

    y(t) = (2t + 1) e-2t u(t)

    = (2t e-2t + e-2t) u(t)

    = 2t e-2t u(t) + e-2t u(t)

    \( \Rightarrow y\left( s \right) = \frac{2}{{{{\left( {s + 2} \right)}^2}}} + \frac{1}{{s + 2}} = \frac{{s + 4}}{{{{\left( {s + 2} \right)}^2}}}\) 

    Transfer function,

    \(T\left( s \right) = \frac{{Y\left( s \right)}}{{X\left( s \right)}} = \frac{{\left( {s + 4} \right)\left( {s + 3} \right)}}{{{{\left( {s + 2} \right)}^2}}}\)

    Zeros of T(s) = -4 and -3

    Zeros of T(s) = -2 and -2
Self Studies
User
Question Analysis
  • Correct -

  • Wrong -

  • Skipped -

My Perfomance
  • Score

    -

    out of -
  • Rank

    -

    out of -
Re-Attempt Weekly Quiz Competition
Self Studies Get latest Exam Updates
& Study Material Alerts!
No, Thanks
Self Studies
Click on Allow to receive notifications
Allow Notification
Self Studies
Self Studies Self Studies
To enable notifications follow this 2 steps:
  • First Click on Secure Icon Self Studies
  • Second click on the toggle icon
Allow Notification
Get latest Exam Updates & FREE Study Material Alerts!
Self Studies ×
Open Now