Self Studies

Control Systems...

TIME LEFT -
  • Question 1
    2 / -0.33

    The open-loop transfer function of a ufb control system is given by

    For the system to be stable the range of K is

  • Question 2
    2 / -0.33

    Of the given systems transfer function, the system more relatively stable is

  • Question 3
    2 / -0.33

    The loop gain GH of a closed-loop system is given \(\frac{K}{{s\left( {s + 2} \right)\left( {s + 4} \right)}}\). What is the value of K for which the system just becomes unstable?

  • Question 4
    2 / -0.33

    The state space representation of a system is given by

    \(\dot x = \left[ {\begin{array}{*{20}{c}}0&1\\0&{ - 3}\end{array}} \right]x + \left[ {\begin{array}{*{20}{c}}1\\0\end{array}} \right]u,y = \left[ {\begin{array}{*{20}{c}}1&0\end{array}} \right]x\)

    The transfer function \(\frac{{Y\left( s \right)}}{{U\left( s \right)}}\) of the system will be

  • Question 5
    2 / -0.33

    The open loop transfer function of a unity feedback control system is given by G(s) = Ke-Ts. Where, K and T are constants and these are greater than zero. The stability of closed loop system depends on which of the following?

  • Question 6
    2 / -0.33

    If the roots have negative real parts, then the response is ____________

  • Question 7
    2 / -0.33

    The closed loop transfer function of a system is

    The number of poles in RHP and in LHP are

  • Question 8
    2 / -0.33

    The transfer function of a system is \(\frac{{10\left( {s + 2} \right)}}{{s - 1}}\) the DC gain of the system is

  • Question 9
    2 / -0.33

    For the system shown in fig. the number of poles on RHP, LHP, and imaginary axis are:

  • Question 10
    2 / -0.33

    A control system has 10 poles and 2 zeros. The slope of its very high frequency asymptote in magnitude bode plot is ________ in dB/dec

  • Question 11
    2 / -0.33

    A closed loop control system is stable if the Nyquist plot of the corresponding open-loop transfer function 

  • Question 12
    2 / -0.33

    If a system is given unbounded input then the system is:

  • Question 13
    2 / -0.33

    For the open loop system of fig. location of poles on RHP, LHP, and an jω - axis are

  • Question 14
    2 / -0.33

    For a linear time invariant system, an optimal controller can be designed if

  • Question 15
    2 / -0.33

    The eigen values of linear system are the location of

  • Question 16
    2 / -0.33

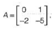
    If the system matrix of a linear time invariant continuous system is given by

    Its characteristic equation will be given by

  • Question 17
    2 / -0.33

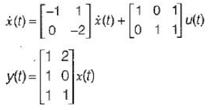
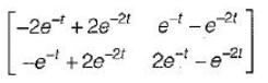
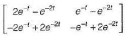
    The vector matrix differential equation of a system is given by

    The state transition matrix of the system is

  • Question 18
    2 / -0.33

    The system matrix of a continous time system is given by:

    The characteristic equation is

  • Question 19
    2 / -0.33

    The pole zero configuration of a closed loop control system is given by (s1, s2) = -2 ± j2. The undamped resonant frequency (in rad/sec) is ________.

  • Question 20
    2 / -0.33

    A system is described by the following equations:

    The transfer function of the system is

  • Question 21
    2 / -0.33

    A system with impulse response is essentially a _______ compensator and used as a ________ filter.

  • Question 22
    2 / -0.33

    Which of the following is true for the network shown below -

  • Question 23
    2 / -0.33

    For the system, whose open-loop transfer function is G(s) H(S) \(= \frac{K}{{{{\left( {s + 2} \right)}^2}\left( {s + 3} \right)}}\)

    What is the difference between the maximum value and minimum value of K which satisfies the following specifications:

    (i) Position error constant KP ≥ 2

    (ii) Gain margin ≥ 3

  • Question 24
    2 / -0.33

    The maximum phase shift that can be obtained by using a lead compensator with transfer function Gc(s) =  equal to

  • Question 25
    2 / -0.33

    The response y(t) of a linear system to an excitation x(t) = e-3t u(t) is y(t) = (2t + 1) e-2t u(t). Poles and zeros will be at

Submit Test
Self Studies
User
Question Analysis
  • Answered - 0

  • Unanswered - 25

  • 1
  • 2
  • 3
  • 4
  • 5
  • 6
  • 7
  • 8
  • 9
  • 10
  • 11
  • 12
  • 13
  • 14
  • 15
  • 16
  • 17
  • 18
  • 19
  • 20
  • 21
  • 22
  • 23
  • 24
  • 25
Submit Test
Self Studies Get latest Exam Updates
& Study Material Alerts!
No, Thanks
Self Studies
Click on Allow to receive notifications
Allow Notification
Self Studies
Self Studies Self Studies
To enable notifications follow this 2 steps:
  • First Click on Secure Icon Self Studies
  • Second click on the toggle icon
Allow Notification
Get latest Exam Updates & FREE Study Material Alerts!
Self Studies ×
Open Now