Self Studies

Discrete Mathematics Test 1

Result Self Studies

Discrete Mathematics Test 1
  • Score

    -

    out of -
  • Rank

    -

    out of -
TIME Taken - -
Self Studies
Weekly Quiz Competition
  • Question 1
    2 / -0.33

    What is the solution of the recurrence relation?

    \({a_n} = 8{a_n}_{ - 1} - 16{a_n}_{ - 2}\) ? 

    Solution

    The characteristic equation of  \({a_n} = 8{a_n}_{ - 1} - 16{a_n}_{ - 2}\) is

    \({r^2} - 8r + 16 = 0\)

    \(\left( {r - 4} \right)\left( {r - 4} \right) = 0\)

    \({a_n} = {\alpha _1}{\left( {{r_1}} \right)^n} + {\alpha _2}n{\left( {{r_1}} \right)^n}\)

    \({a_n} = {\alpha _1}{\left( 4 \right)^n} + {\alpha _2}n{\left( 4 \right)^n}\)

  • Question 2
    2 / -0.33

    The following propositional statement is

    [(p → r) ∧ (q → r)] → [(p ∨ q) → r]
    Solution

    [(p → r) ∧ (q → r)] → [(p ∨ q) → r]

    ≡ [(p̅ + r).(q̅ +r)] →[  \(\overline{p+q}\) + r]     .....p → r =p̅ + r        

    ≡ [(p̅.q̅ + p̅r + rq̅ + r] →[  p̅.q̅ + r] 

    ≡  [(p̅.q̅ + r(p̅ + q̅ + 1)] →[ p̅.q̅ + r] 

    ≡ [(p̅.q̅ + r] →[ p̅.q̅  + r] 

    ≡ True               (T → T = T or F → F = T)

    The following propositional statement is tautology

    Important Point:

    For each combination of truth value of p,q,r given expression produce always true value therefore it is tautology. Hence option b is correct.

  • Question 3
    2 / -0.33

    Let f: Z -> N be defined by 

    \(f\left( x \right) = \;\left\{ {\begin{array}{*{20}{c}} {4x - 1,\;\;if\;x > 0} \\ { - 4x,\;if\;x \leqslant 0} \end{array}} \right.\)

    Which of the following is true?

    Solution

    Concept:

    One - one function: A function is one-one if the images of distinct elements of x under f are distinct. For every x1 and x2, f(x1) = f(x2) implies x1 = x2.

    Onto function: if there are two sets X and Y. If for every element of B, there is atleast one or more than one element matching with A, then the function is said to be onto function.

    Explanation:

    Let x1, x2 belongs to Z and f(x1) = f(x2). Then with f(x1) and f(x2) there are two cases either both are even or both are odd.

    To prove one-one

    CASE 1: if both are even, then f(x1) = f(x2)

    i.e. -4x1 = -4x2, x1 = x2

    CASE 2: If both are odd, then 4x1 – 1 = 4x2 – 1

    i.e. x1 = x2

    So, f is one one function

    To prove onto

    Let n belongs to N

    CASE 1: if n is even, then –n/4 belongs to Z and (-n/4) < 0

    f(-n/4) = -4(-n/4) = n

    CASE 2: if n is odd, then n+1/4 belongs to Z and (n+1)/4 >0

    F((n+1)/4) = 4 (n+1)/4 – 1 = n

    So, f is onto.

    So, given function is bijective.
  • Question 4
    2 / -0.33
    If \(f\left( z \right) = \frac{1}{{{{\left( {1 - z} \right)}^2}}}\) then the coefficient of z13 is _____
    Solution
     
    \(\frac{1}{{1 - z}} = 1 + z + {z^2} + {z^3} + {z^4} \ldots \)

    Differentiating with respect to x

    \(\frac{1}{{{{\left( {1 - z} \right)}^2}\;}} = 1 + 2z + 3{z^2} + 4{z^3} + 5{z^4} + 6{z^5} \ldots \)

    \(\frac{1}{{{{\left( {1 - z} \right)}^2}}} = \mathop \sum \limits_{k = 0}^{k = \infty } \left( {k + 1} \right){z^k}\)

    Coefficient of z13 = 13 + 1 = 14
  • Question 5
    2 / -0.33
    Which of the following statement is false about the given set G = {1, 3, 5, 7} with respect to ⊗8 (Multiplication modulo 8)?
    Solution

    8

    1

    3

    5

    7

    1

    1

    3

    5

    7

    3

    3

    1

    7

    5

    5

    5

    7

    1

    3

    7

    7

    5

    3

    1

     

    • It is closed
    • Multiplicative modulo is associative
    • 1 is the identity element
    • Inverse exists of every element

    ∴ it is a group

    ∴ it is a also a monoid

    ⊗ 8 x = 1 

    ∴ x = 3

    3 is a inverse of 3  

    But identity element of G is 1 not 3

    Notes:

    Question is asking which is false (not true) 

  • Question 6
    2 / -0.33

    The function y=|2 - 3x|

    Solution


    as y is polynomial it is continuous and differentiable at all points but don't know at = 2/3

  • Question 7
    2 / -0.33

    If f(x) = \(\frac{{3{\rm{x\;}} + {\rm{\;}}2}}{{4{\rm{x\;}}-{\rm{\;}}1}}\) and g(x) = \(\frac{{{\rm{x\;}} + {\rm{\;}}2}}{{4{\rm{x}} - {\rm{\;}}3}}\) then

    I. fog(x) = 2x

    II. gof(x) = x

    Solution

    fog(x) = f(g(x)) = \(\frac{{3\frac{{x\; + \;2}}{{4x - 3}}{\rm{\;}} + {\rm{\;}}2}}{{4\frac{{x + \;2}}{{4x\; - 3}}{\rm{\;}}-{\rm{\;}}1}}\) = \(\frac{{11x}}{{11}}\) = x

    gof(x) = g(f(x)) = \(\frac{{\frac{{3x\; + \;2}}{{4x - 1}}{\rm{\;}} + {\rm{\;}}2}}{{4\frac{{3x + 2}}{{4x\; - \;1}} - {\rm{\;}}3}}\) = \(\frac{{11x}}{{11}}\) = x
  • Question 8
    2 / -0.33
    Consider a 4-ary tree T consisting of 17 vertices. What is the sum of the degree of T?
    Solution

    Concept:

    By using handshaking theorem of graph theory, the sum of degree of all the vertices in a tree is equal to twice the number of edges in a graph.

    Formula:

    \(\mathop \sum \limits_{i = 1}^{i = n} {d_i} = 2 \times e\)

    where di is the degree of vertex i and e is the total number of edges in a graph

    Calculation:

    For a tree,

    number of edges = e = n – 1

    \(\mathop \sum \limits_{i = 1}^{i = n} {d_i} = 2 \times \left( {n - 1} \right) = 2 \times \left( {17 - 1} \right) = 32\)

    sum of the degrees of all the vertices in T is 32.

  • Question 9
    2 / -0.33

    What is the contrapositive of the following assertion?

    If your GATE score is 80+ in CS, then you’ll get a single digit rank.
    Solution

    Let p and q be two prepositional statement

    If p then q ≡ p → q

    Contrapositive of p → q is ~q → ~p

    Let p: you’re GATE score is 80 in CS.

    q: you’ll get a single digit rank.

    If you’re GATE score is 80 in CS, then you’ll get a single digit rank ≡ p → q

    Contrapositive of above statement

    If you do not get a single digit rank then you’re GATE score is not 80 in CS ≡ ~q → ~p

    Important Points:

    If: p → q

    then:

    Contrapositive: ~q → ~p

    Converse: q → p

    Inverse: ~p → ~q

    CS stands for Computer Science
  • Question 10
    2 / -0.33

    A function f(x) is continuous in the interval [0,2] f(0) = f(2) = -1 and f(1) = 1. Which one of the following statements must be true?

    Solution

    Let's define a new function g,
    g(y) = f(y) -f(y+1)

    Since function f is continuous in [0,2], therefore g would be continuous in [0,1] g(0) = -2, g(1) = 2
    since g is continuous and goes from negative to positive value in [0,1]. therefore at some point g would be 0 in (0,1).
    g=0 ⇒ f(y) = f(y+1) for some y in (0,1)

    Therefore, correct answer would be (A).

  • Question 11
    2 / -0.33
    The minimum number of edges and vertices required to form 12 faces whose minimum degree is 4, in a simple connected planar graph are x and y. Find x + y?
    Solution

    Data:

    Dmin = 4, F = 12

    In a planar graph,

    Dmin × F ≤ 2E

    4 × F ≤ 2E

    4 × 12 ≤ 2E

    E ≥ 24 (1)

    Emin = 24

    ∴ x = 24

    Euler’s Formula:

    V – E + F = 2

    E = V + F – 2

    Substitute the value of E in equation 1

    V + F – 2 ≥ 24

    V + 12 – 2 ≥ 24

    V ≥ 14

    Vmin = 14

    ∴ y = 14

    x + y = 24 + 14 = 38
  • Question 12
    2 / -0.33
    The number of edges in a regular graph of degree d and n vertices is
    Solution

    Data:

    degree = d

    vertices = n

    Formula:

    By handshaking Lemma:

    \(\mathop \sum \limits_{{\text{i}} = 1}^{{\text{i}} = {\text{n}}} {{\text{d}}_{\text{i}}} = 2 \times {\text{e}}\)

    Calculation:

    For a regular graph,

    n × d = 2 × e

    \(e = \frac{{nd}}{2}\)
  • Question 13
    2 / -0.33

    Solution

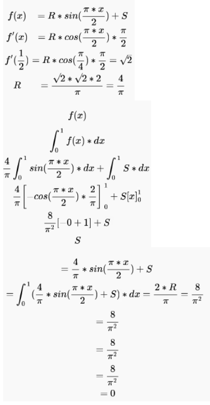
  • Question 14
    2 / -0.33
    Find the total number of relations which is neither reflexive nor irreflexive on a set A where A = {a, b, c, d} and 1K = 1024?
    Solution

    |A| = n

    Total number relation: \({2^n}^2 = {2^{16}} = 64K\)

    Total number reflexive relation R1 on set of n elements: \({2^{{n^2} - n}} = {2^{12}} = 4K\)

    Total number irreflexive relation R2 on set of n elements: \({2^{{n^2} - n}} = {2^{12}} = 4K\)

    Since intersection between R1 and R2 = 0

    ∴ relations which is neither reflexive nor irreflexive = 64K – 4K – 4k = 56K
  • Question 15
    2 / -0.33

    Which of the following statement for the connected graph is/are CORRECT?

    Solution

    Option 1: CORRECT

    A graph is bipartite if and only if it is two colorable.

    Option 2: CORRECT

    A cycle graph with even vertices is bipartite.

    Option 3: CORRECT

    A graph is bipartite if and only if it does not contain odd cycle.

    Option 4: CORRECT

    A tree is a bipartite graph.

  • Question 16
    2 / -0.33
     Let A and B denote the sets containing 3 and 25 distinct objects respectively and G denote the set of all possible functions defined from set A to set B. Let g be randomly selected function from G. What is the probability of g being one-to-one is _____. (answer upto 2 decimal places)
    Solution

    n(A) = 3

    n(B) = 25

    From A to B

    Total number of function possible = n(B)n(A) = 253

    Total number of one-to-one function possible = 25P3  = 25 × 24 × 23

    the probability of g being one-to-one =  \(\frac{25 \times 24 \times 23}{25^3} = 0.8832\)

  • Question 17
    2 / -0.33

    The following is the incomplete operation Cayley table of a 4- element group in which e is the identity element of group.

    *

    p

    q

    e

    s

    p

    q

    r

    p

    e

    q

     

     

     

     

    e

    p

    q

    e

    s

    s

     

     

     

     


    The last row of the table is 

    Solution

    In a Cayley table,

    Last row: _ _ _ _

    Since e is the identity element

    s * e = s

    Last row: _ _ s _

    p * s = e

    If s is the inverse of p then p is also the inverse of s

    ∴ s * p = e

    Last row: e _ s _

    Since each column and row is unique

    ∴ q * p = s

    Also, q * s ≠ e ∴ q * s = p

    ∴ q * q = e

    Which leads to s * q = p and s * s = q

    Last row: e p s q

    Cayley Table:

    *

    p

    q

    e

    s

    p

    q

    r

    P

    e

    q

    s

    e

    q

    p

    e

    p

    q

    e

    s

    s

    e

    p

    s

    q

  • Question 18
    2 / -0.33

    Consider the function . In this interval, the function is

    Solution

    It is continuous but not differentiable at x=0 as left hand limit will be negative while the right hand limit will be positive but for differentiation, both must be same.

  • Question 19
    2 / -0.33

    Solution

  • Question 20
    2 / -0.33

    If f(x) = x2 and g(x) = x sinx +cosx then

    Solution

  • Question 21
    2 / -0.33
    Consider graph H(V, E) where v ϵ vertices and e ϵ edges. H is a complete undirected graph on 7 vertices where each vertices of H are labeled. What is the number of distinct cycles of length 4 in H?
    Solution

    Data:

    Vertices = v = 7

    length of cycle = c = 4

    Formula:

    \({\rm{number\;of\;cycles}} = {{\rm{\;}}^{\rm{v}}}{{\rm{C}}_{\rm{c}}}{\rm{\;}} \times (c -1)!/2\)

    Calculation:

    \({\rm{number\;of\;cycles}} = {{\rm{\;}}^7}{{\rm{C}}_4}\times(4-1)!/2 =105\)

  • Question 22
    2 / -0.33

    The statement A → B is logically equivalent to which of the following below?

    Assume NOT is having higher precedence then ∨ and ∧ operator.

    Solution

    Formula:

    X → Y ≡ ~X ∨ Y ≡ X’ + Y

    AND ≡ ∧ ≡ .

    OR ≡ ∨ ≡ +

    Calculation:

    Option 1: TRUE

    A → B ≡ ~A ∨ B

    Option 2: TRUE

    ~(A ∧ ~B) ≡ ~A ∨ B ≡ A → B

    Option 3: TRUE

    ~A ∨ (~A ∧ B) ∨ (~A ∧ ~B) ∨ B

    ≡ A’ + (A’.B) + (A’.B’ ) + B

    ≡ A’(1 + B + B’) + B ≡ A’ + B

    ≡ ~A ∨ B ≡ A → B

    Option 4: TRUE

    ~B → ~A ≡ ~(~B) ∨ ~A

    ≡ B ∨ ~A ≡ A → B

    Hence option 4 is correct.
  • Question 23
    2 / -0.33

    Find the generating function for the sequence given recursively by

    an - 2an-1 - 4an-2 = 0 with a0 = 2 and a1 = 5?
    Solution

    an - 2an-1 - 4an-2 = 0

    an = 2an-1 + 4an-2 (given)

    a0 = 2, a1 = 5

    a2 = 2(5) + 4(2) = 18, a3 = 2(18) + 4(5) = 56

    a4 = 2(56) + 4(18) = 184

    ∴ sequence: 2, 5, 18, 56, 184

    G(x) = 2 + 5x + 18x2 + 56x3 + 184x4

    2xG(x) = 4x + 10x2 + 36x3 + 112x4

    4x2G(x) = 8 x2 + 20x3 + 72x4

    G(x)(1 – 2x – 4x2) = 2 + x

    \(G\left( x \right) = \frac{{2\; + \;x}}{{\left( {1 - 2x - 4{x^2}} \right)}}\)

  • Question 24
    2 / -0.33

    Let G be a graph with 100! vertices, with each vertex labelled by a distinct permutation of the numbers 1, 2, … , 100. There is an edge between vertices 𝑢 and 𝑣 if and only if the label of 𝑢 can be obtained by swapping two adjacent numbers in the label of 𝑣. Let 𝑦 denote the degree of a vertex in G, and 𝑧 denote the number of connected components in G.

    Then, 𝑦 + 10𝑧 = _____.

    Solution

    Every permutation of n numbers differs by at least 1 swap of adjacent pairs, hence each node will be connected, hence graph will have one connected component.

    Also degree of each node will be 99.

    Hence 99 + 10*1 = 109.

  • Question 25
    2 / -0.33

    Which of the below-given statements is/are false?

    Solution

    Option 1:  False 

    Because there can be some pair which is present in a relation R whose symmetric pair is not present in its superset.

    Option 2:  True

    Because Ɐi (i ≤ i).

    Option 3:  False 

    Because the smallest relation which is irreflexive contains 0 element. A null set is the smallest relation which is irreflexive

    Option 4:  True

    Because R1ꓴR2 will contain each element (i, i) which is present in R1 and R2.

    Therefore, both option 1 and option 3 are false.

Self Studies
User
Question Analysis
  • Correct -

  • Wrong -

  • Skipped -

My Perfomance
  • Score

    -

    out of -
  • Rank

    -

    out of -
Re-Attempt Weekly Quiz Competition
Self Studies Get latest Exam Updates
& Study Material Alerts!
No, Thanks
Self Studies
Click on Allow to receive notifications
Allow Notification
Self Studies
Self Studies Self Studies
To enable notifications follow this 2 steps:
  • First Click on Secure Icon Self Studies
  • Second click on the toggle icon
Allow Notification
Get latest Exam Updates & FREE Study Material Alerts!
Self Studies ×
Open Now