Self Studies

Theory of Compu...

TIME LEFT -
  • Question 1
    2 / -0.33

    Recursive language is not closed under

  • Question 2
    2 / -0.33

    Which of the following definitions generates the same languages as L, where L = { xnyn, n ≥ 1 }

    i. E → xEy | xy

    ii. xy | x+xyy+

    iii. x+y+

  • Question 3
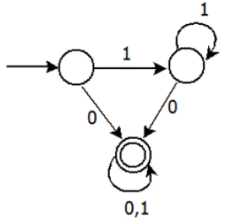
    2 / -0.33

    The FSM (Finite State Machine) machine pictured in the figure above

  • Question 4
    2 / -0.33

    Which of the following classes of languages can validate an IPv4 address in dotted decimal format? It is to be ensured that the decimal values lie between 0 and 255.

  • Question 5
    2 / -0.33

    Consider the languages L1 = \phi and L2 = {a}. Which one of the following represents L1 L2* U

    L1*

    (A) {∈}

    (B) Φ

    (C) a*

    (D) {∈, a}

  • Question 6
    2 / -0.33

    The language which is generated by the grammar S → aSa | bSb | a | b over the alphabet {a, b} is the set of

  • Question 7
    2 / -0.33

    Consider the DFA given.

    Which of the following are FALSE?

    1. Complement of L(A) is context-free.
    2. L(A) = L((11*0+0)(0 + 1)*0*1*)
    3. For the language accepted by A, A is the minimal DFA.
    4. A accepts all strings over {0, 1} of length at least 2.

  • Question 8
    2 / -0.33

    What is the complement of the language accepted by the NFA shown below?

  • Question 9
    2 / -0.33

    Let L be a language and L' be its complement. Which one of the following is true?

  • Question 10
    2 / -0.33

    Let the number of states in non-deterministic finite automaton be 'N' and the number of states in the corresponding deterministic finite automaton be 'D'. N, K, and D are positive integers. What is the correct relation between NK and D? 

  • Question 11
    2 / -0.33

    The grammar G = ({S, X, Y}, {p, q}, S, P) with productions

    S → X, X → qY | ϵ, Y → Xp is a _____.

  • Question 12
    2 / -0.33

    The Halting problem of Turing machines is

  • Question 13
    2 / -0.33

    Let L1 be a recursive language. Let L2 and L3 be languages that are recursively enumerable but not recursive. Which of the following statements is necessarily true?

    I L2 – L1 is recursively enumerable.

    II L1 – L3 is recursively enumerable

    III L2 ∩ L1 is recursively enumerable

  • Question 14
    2 / -0.33

    Given the language, L = {ab, aa, baa}, which of the following strings are in L*?

    1. abaabaaabaa

    2. aaaabaaaa

    3. baaaaabaaaab

    4. baaaaabaa

  • Question 15
    2 / -0.33

    Which of the following languages is context free but not regular?

    1) {aibjck | i>j>k}

    2) {aibjck | j = i+k}

    3) {w | w Є {a,b}*, |w| <= 100}

    4) {anb2n | n>=1}

  • Question 16
    2 / -0.33

    Which of the following are undecidable?

    P1: The language generated by some CFG contains any words of length less than some given number n.

    P2: Let L1 be CFL and L2 be regular, to determine whether L1 and L2 have common elements

    P3: Any given CFG is ambiguous or not.

    P4: For any given CFG G, to determine whether epsilon belongs to L(G

  • Question 17
    2 / -0.33

    What is the language generated by the below given grammar?

    S → aabbcc/aaAbbcc

    Abb → bbA

    Acc → Bbbcccc

    bbB → Bbb

    aaB → aaaa/aaaaA

    (let n be natural number in options)

  • Question 18
    2 / -0.33

    Consider the following language.

    L = {w ϵ {0, 1}*| number of 0’s in w is not divisible by 5 but divisible by 7}

    What is the minimum number of states in a DFA that accepts L?

  • Question 19
    2 / -0.33

    Consider the following problems L(G) denoted the language generated by a grammar G. L(M) denotes the language accepted by a machine M.

    Which of the following statements is/are correct?

    I. For a context sensitive grammar G, L(G) = ϕ.

    II. For a context free grammar G1 and G2, L(G1) ⊆ L(G2)

    III. For a recursive language L(G) and a string x, whether x ϵ L(M).

  • Question 20
    2 / -0.33

    Consider the following languages:

    L= pq5m r10n | n ≥ 1 and m ≥ 1

    L2 = p2m qa r2n sb | m = n and a = 2b where m, n, a, b ≥ 0

    L3 = pa qb rc  sx | a = b = c where a, b, c, x ≥ 0

    Which of the following is/are incorrect?

    I. L1 can be accepted by deterministic pushdown automaton.

    II. L2 can be accepted by the non-deterministic pushdown automaton

    III. L3 is a context-free language

  • Question 21
    2 / -0.33

    In the Given language L = {ab, aa, baaa}, _______ number of strings are in L*.

    (1) baaaba

    (2) aabaaaa

    (3) baaabaaaabaa

    (4) baaabaaa

  • Question 22
    2 / -0.33

    Consider the set of strings on {0,1} in which, every substring of 3 symbols has at most two zeros. For example, 001110 and 011001 are in the language, but 100010 is not. All strings of length less than 3 are also in the language. A partially completed DFA that accepts this language is shown below

    The missing arcs in the DFA are

  • Question 23
    2 / -0.33

    Let L1 be recursive language and L̅1 be its complement. Also, L2 be the rsively enumerable language which is not recursive and L̅2 be its complement. Let A and B be two languages such that L̅2 reduces to A and B reduces to L̅1 and the reduction is many to one. Which of the following is/are true?

    I. B is recursive language

    II. B may or may not be recursive language

    III. A can be recursively enumerable language

    IV. A is not recursively enumerable language

  • Question 24
    2 / -0.33

    A deterministic finite automation (DFA)D with alphabet {a,b} is given below

    Which of the following finite state machines is a valid minimal DFA which accepts the same language as D?

  • Question 25
    2 / -0.33

    Which of the following is not a deterministic context free language?

    I. L1 = ambm+ncn

    II. L2 = aar | a ϵ (x, y)* where ar is a reversal of string a

    III. L3 = ambncndm

    \({\rm{IV}}.{\rm{\;}}{{\rm{L}}_4} = {\rm{\;}}{{\rm{a}}^{\rm{n}}}{{\rm{b}}^{{n^2}}}\)

Submit Test
Self Studies
User
Question Analysis
  • Answered - 0

  • Unanswered - 25

  • 1
  • 2
  • 3
  • 4
  • 5
  • 6
  • 7
  • 8
  • 9
  • 10
  • 11
  • 12
  • 13
  • 14
  • 15
  • 16
  • 17
  • 18
  • 19
  • 20
  • 21
  • 22
  • 23
  • 24
  • 25
Submit Test
Self Studies Get latest Exam Updates
& Study Material Alerts!
No, Thanks
Self Studies
Click on Allow to receive notifications
Allow Notification
Self Studies
Self Studies Self Studies
To enable notifications follow this 2 steps:
  • First Click on Secure Icon Self Studies
  • Second click on the toggle icon
Allow Notification
Get latest Exam Updates & FREE Study Material Alerts!
Self Studies ×
Open Now