Self Studies

Signals and Systems Test 2

Result Self Studies

Signals and Systems Test 2
  • Score

    -

    out of -
  • Rank

    -

    out of -
TIME Taken - -
Self Studies
Weekly Quiz Competition
  • Question 1
    2 / -0.33

    Two systems H1(z) and H2(z) are connected in cascade as shown below. The overall output y(n) is the same as the input x(n) with a one-unit delay. The transfer function of the second system H2(z) is

    Solution

    The overall output y(n) is the same as the input x(n) with a one-unit delay.

    y(n) = x(n - 1)

    By applying z-transform,

    Y(z) = z-1X(z)

    \( \Rightarrow H\left( z \right) = \frac{{Y\left( z \right)}}{{X\left( z \right)}} = {z^{ - 1}}\) 

    ⇒ H1(z) H2(z) = z-1

    \( \Rightarrow \left( {\frac{{1 - 0.2{z^{ - 1}}}}{{1 - 0.4{z^{ - 1}}}}} \right){H_2}\left( z \right) = {z^{ - 1}}\) 

    \(\Rightarrow {H_2}\left( z \right) = \frac{{{z^{ - 1}}\left( {1 - 0.4{z^{ - 1}}} \right)}}{{1 - 0.2{z^{ - 1}}}}\) 

  • Question 2
    2 / -0.33

    A function f(t) is an even function, if for all values of (t)

    (T is the time-period of the function)

    Solution

    For even function, f(t) = f(-t)

    For odd function, f(t) = -f(-t)

  • Question 3
    2 / -0.33

    A control system transfer function is H(s) = 1/s3. Express its impulse response in terms of unit step signal

    Solution

    Convolution in the time domain implies multiplication in S(or frequency) domain

    The Laplace transform of any signal h(t) is given by

    So we observe that the H(s) = 1/s3, corresponds to a unit step signal convoluted with itself thrice.

    Therefore the correct answer is option 1

  • Question 4
    2 / -0.33

    The unit impulse response of a linear time invariant system is the unit step function u(t) for t > 0, the response of the system to an excitation e-at u(t), a > 0 will be

    Solution

  • Question 5
    2 / -0.33

    A system with an input x(t) and output y(t) is described by the relation: y(t) = tx(t). This system is

    Solution

    y(t) = tx(t)

    y1(t) = t.x1(t) = r1(t)

    y2(t) = tx2(t) = r2(t)

    y1(t) + y2(t) = t(x1(t) + x2(t))

    = r1(t) + r2(t)    ∴ linear

    y(t) = t.x(t)

    y( t - to) = (t - to) x ( t - to)

    and for delayed input signal,

    y(t) = t x (t - to)

    y(t) ≠ y( t-to)

    ∴ Time varying signal

  • Question 6
    2 / -0.33

    If F(ω) is the Fourier transform of f(t), then which of the following is/are true?

    Solution

    F(ω) is the Fourier transform of f(t).

    f(t)

    F(ω)

    Even

    Even

    real and even

    real and even

    imaginary and even

    imaginary and even

    odd

    odd

    real and odd

    imaginary and odd

    imaginary and odd

    real and odd

  • Question 7
    2 / -0.33

    What is the signal corresponding to the following z-transform? (Where u[n] is the unit-step signal)

    \(X\left( z \right) = \frac{{6{z^2}}}{{\left( {2z - 1} \right)\left( {3z - 1} \right)}},\frac{1}{3} < \left| z \right| < \frac{1}{2}\)

    Solution

    Concept:

    The Z-transform of standard signals with their ROC are:

    \({a^n}u\left( n \right) \leftrightarrow \frac{z}{{z - a}};\left| z \right| > \left| a \right|\)

    \( - {a^n}u\left( { - n - 1} \right) \leftrightarrow \frac{z}{{z - a}};\left| z \right| < \left| a \right|\)

    Application:

    \(X\left( z \right) = \frac{{6{z^2}}}{{\left( {2z - 1} \right)\left( {3z - 1} \right)}}\)

    \( = \frac{{{z^2}}}{{\left( {z - \frac{1}{2}} \right)\left( {z - \frac{1}{3}} \right)}}\)

    \(= z[\frac{z}{{\left( {z - \frac{1}{2}} \right)\left( {z - \frac{1}{3}} \right)}}\)

    \(= z\left[ {\frac{3}{{\left( {z - \frac{1}{2}} \right)}} - \frac{2}{{\left( {z - \frac{1}{3}} \right)}}} \right]\)

    \(= \frac{{3z}}{{\left( {z - \frac{1}{2}} \right)}} - \frac{{2z}}{{\left( {z - \frac{1}{3}} \right)}}\)

    For \(\left| z \right| < \frac{1}{2},\;\frac{{3z}}{{\left( {z - \frac{1}{2}} \right)}} \leftrightarrow \; - 3{\left( {\frac{1}{2}} \right)^n}u\left[ { - n - 1} \right]\) 

    For \(\left| z \right| > \frac{1}{3},\;\frac{{2z}}{{\left( {z - \frac{1}{3}} \right)}} \leftrightarrow 2{\left( {\frac{1}{3}} \right)^n}u\left[ n \right]\) 

    \(x\left[ n \right] = - 3{\left( {\frac{1}{2}} \right)^n}u\left[ { - n - 1} \right] + 2{\left( {\frac{1}{3}} \right)^n}u\left[ n \right]\)

  • Question 8
    2 / -0.33
    Let \(X\left( {{e^{j\omega }}} \right) = 10 - 4{e^{ - j2\omega }}\). If y(t) = x(t - 2) then what is value of Y(e) at ω = π is ________
    Solution

    \(X\left( {{e^{j\omega }}} \right) = 10 - 4{e^{ - j2\omega }}\)

    y(t) = x(t - 2)

    By applying Fourier transform,

    \( \Rightarrow Y\left( {{e^{j\omega }}} \right) = {e^{ - j2\omega }}X\left( {{e^{j\omega }}} \right)\)

    \(= {e^{ - j2\omega }}\left( {10 - 4\;{e^{ - j2\omega }}} \right)\) 

    \(= 10{e^{ - j2\omega }} - 4{e^{ - j4\omega }}\) 

    \(Y\left( {{e^{j\omega }}} \right){\left. \right|_{\omega = \pi }} = Y\left( {{e^{j\pi }}} \right) = 10{e^{ - j2\left( \pi \right)}} - 4{e^{ - j4\pi }}\) 

    = 10 (cos 2π - j sin 2π) - 4(cos 4 π - j sin 4π)

    = 10(1) - 4(1) = 6

  • Question 9
    2 / -0.33
    If a 100 Hz sinusoidal signal is sampled at the rates of 140 Hz, 90 Hz, and 30 Hz, then the aliased frequencies correspond to each sampling rate will be respectively
    Solution

    Concept:

    Aliased frequency component is given by:

    fa = |fs – fm|

    fs = sampling frequency

    fm = message signal frequency

    Calculation:

    For a sampling rate of 140 Hz, since fs > fm:

    Aliased Frequency = fs - fm,               

    = 140 – 100 = 40 Hz

    For a sampling rate of 90 Hz, since fs < fm:

    Aliased Frequency = fm – fs,       

    = 100 – 90 = 10 Hz

    For a sampling rate of 30 Hz, since fs < fm:

    Aliased Frequency = fm – fs    

    = 100 – 30 = 70 Hz

  • Question 10
    2 / -0.33

    If a function f(t) u(t) is shifted to the right side by t0, then the function can be expressed as

    Solution

    Since f(t) u(t) = f(t) for t > 0 also we know

    u ( t - to) = 1, for t > to

    Here in right side shifting that means to > 0

    by property on shifting right side,

  • Question 11
    2 / -0.33
    The DTFT of x[n] = 0.5n u[n] using geometric series is:
    Solution

    The Discrete-Time Fourier transform of a signal of infinite duration x[n] is given by:

    \(X\left( \omega \right) = \mathop \sum \limits_{n = - \infty }^\infty x\left[ n \right]{e^{ - j\omega n}}\)

    For a signal x(n) = an u(n), the DTFT will be:

    \(X\left( \omega \right) = \mathop \sum \limits_{n = - \infty }^\infty a^nu\left[ n \right]{e^{ - j\omega n}}\)

    Since u[n] is zero for n < 0 and a constant 1 for n > 0, the above summation becomes:

    \(X\left( \omega \right) = \mathop \sum \limits_{n = 0 }^\infty a^n{e^{ - j\omega n}}\)

    \(X\left( \omega \right) = \mathop \sum \limits_{n = 0 }^\infty (a{e^{ - j\omega n})}\)   ---(1)

    The geometric series states that:

    \(\mathop \sum \limits_{n = 0 }^\infty r^n=\frac{1}{1-r}\), for 0 < r < 1

    Equation (1) can now be written as:

    \(X\left( \omega \right) =\frac{1}{1-ae^{-j\omega}}\)    ---(2)

    Application:

    Given x[n] = 0.5u[n], i.e. a = 0.5

    The DTFT of the above given sequence using Equation (2) will be:

    \(X\left( \omega \right) =\frac{1}{1-0.5e^{-j\omega}}\)

  • Question 12
    2 / -0.33
    A discrete time signal x[n] and its discrete Fourier transform X(k) related by \(x\left[ n \right]\mathop \leftrightarrow \limits^{DFS\;12} X\left( k \right)\). Another discrete series with Fourier coefficients Y(k) given as Y(k) = X(k - 4) + X(k + 4) then the corresponding sequence y[n] will be
    Solution

    Given, \(x\left[ n \right]\mathop \leftrightarrow \limits^{DFS\;12} X\left( k \right)\)

    \(\Rightarrow {\rm{\Omega }} = \frac{{2\pi }}{{12}} = \frac{\pi }{6}\)

    And Y(k) = X(k + 4) + X(k - 4)

    \(\begin{array}{l} \Rightarrow y\left[ n \right] = {e^{ - \frac{{j4\pi }}{6}n}}x\left[ n \right] + {e^{\frac{{j4\pi }}{6}n}}x\left[ n \right]\\ = 2\cos \left( {\frac{{2\pi }}{3}n} \right)x\left[ n \right] \end{array}\)

  • Question 13
    2 / -0.33

    The impulse response of a causal, linear, time- invariant, continuous time system is h(t). The output y(t) of the same system to an input x(t). Where x(t) = 0 for t < -2 is

    Solution

  • Question 14
    2 / -0.33

    The unit step response of a system is given by (1 - e-αt) u(t), the impulse response is given by

    Solution

  • Question 15
    2 / -0.33

    Figure I and Figure II, shows the input x(t) to a linear time invariant system and the impulse response h(t) of the system

    the output of the system is zero everywhere except for the time interval.

    Solution



    Thus, we conclude that the output of the system is zero everywhere except for the time interval.

    1 < t < 5

  • Question 16
    2 / -0.33
    Consider a signal y(t) = x1(t) * x2(t). If x1(t) = 2 cos 4t u(t) and x2(t) = sin 2t u(t). The value of y(t) at t = π / 2 is _______
    Solution

    y(t) = x1(t) * x2(t)

    x1(t) = (2 cos 4t) u(t)

    x2(t) = (sin 2t) u(t)

    We know convolution in time domain is multiplication in frequency domain

    So, y(t) = x1(t) * x2(t)

    y(t) = x1(s) ⋅ x2(s)

    \({x_1}\left( s \right) = \frac{{2s}}{{{s^2} + 16}},\;{x_2}\left( s \right) = \frac{2}{{{s^2} + 4}}\) 

    \(Y\left( s \right) = \frac{{4s}}{{\left( {{s^2} + 16} \right)\left( {{s^2} + 4} \right)}} = \frac{{As + B}}{{{s^2} + 16}} + \frac{{Cs + D}}{{{s^2} + 4}}\) 

    4s = (As + B) (s2 + 4) (Cs + D) (s2 + 16)

    Put s = 0 ⇒ 0 = 4B + 16D → 1)

    Put s = 1 ⇒ 4 = (A + B) (5) + (C + D) (17) → 2)

    Put s = 2 ⇒ 8 = (2A + B) (8) + (2C + D) (20) → 3)

    Put s = 3 ⇒ 12 = (3A + B) (13) + (3C + D) (25) → 4)

    Solving 1), 2), 3) and 4) we get

    A = B = 1 / 3

    C = D = -1 / 3

    \(Y\left( s \right) = \frac{1}{3}\left( {\frac{s}{{{s^2} + 4}} - \frac{s}{{{s^2} + 16}}} \right)\) 

    Applying inverse Laplace transform,

    \(y\left( t \right) = \frac{1}{3}\left( {\cos 2t-\cos 4t} \right)u\left( t \right)\) 

    \(\frac{{\left( {y\left( t \right)} \right)}}{t} = \frac{\pi }{2} = \frac{1}{3}\left( {\cos \pi - \cos 2\pi } \right)u\left( {\frac{\pi }{2}} \right)\) 

    \(= \frac{1}{3}\left( { - 1 - 1} \right) = - \frac{2}{3}\) 

    = -0.666

  • Question 17
    2 / -0.33
    The total area under the function \(x\left( t \right) = 10\;sinc\;\left( {\frac{{t + 4}}{7}} \right)\) is
    Solution

    Given signal is \(x\left( t \right) = 10\;sinc\;\left( {\frac{{t + 4}}{7}} \right)\)

    Area \( = \mathop \smallint \limits_{ - \infty }^\infty x\left( t \right)dt = \mathop \smallint \limits_{ - \infty }^\infty 10\;sinc\;\left( {\frac{{t + 4}}{7}} \right)dt\)

    \(= \mathop \smallint \limits_{ - \infty }^\infty 10\frac{{\sin \left( {\frac{{\pi \left( {t + 4} \right)}}{7}} \right)}}{{\frac{{\pi \left( {t + 4} \right)}}{7}}}dt\)

    To solve this, we can use the relation

    \(X\left( 0 \right) = {\left[ {\mathop \smallint \limits_{ - \infty }^\infty x\left( t \right){e^{ - j2\pi ft}}dt} \right]_{f \to 0}} = \mathop \smallint \limits_{ - \infty }^\infty x\left( t \right)dt\)

    The Fourier transform of the given signal x(t) is,

    \(X\left( f \right) = 70\;rect\left( {7f} \right){e^{j8\pi f}}\)

    The area = X(0) = 70

  • Question 18
    2 / -0.33

    A signal f(t) = cos8πt + 0.5cos4πt is instantaneously sampled. The maximum allowable value of sampling interval Ts in sec is

    Solution

    The problem involves a signal f(t) = cos8πt + 0.5cos4πt. To find the maximum allowable sampling interval, we utilise the Nyquist-Shannon sampling theorem, which states that the sampling rate must be at least twice the highest frequency present in the signal.

    • The signal consists of two cosine terms: cos8πt and 0.5cos4πt.
    • The frequencies of these terms are 4 Hz and 2 Hz respectively.
    • The highest frequency component is 4 Hz.
    • According to the sampling theorem, the minimum sampling rate is 2 × 4 Hz = 8 Hz.
    • The maximum allowable sampling interval Ts is the reciprocal of the sampling rate, thus 1/8 sec.
  • Question 19
    2 / -0.33

    The unilateral z-transform of signal x[n] = u[ n + 4 ] is

    Solution

  • Question 20
    2 / -0.33

    The sequence x[n] is (0.7)n u(n) and y (n) is x (n)*x (n). Then which of the following statement(s) is/are true?

    Solution

    y(n) = x(n) * x(n)

    By taking z-transform both sides

    Y(z) = X(z) ⋅ X(z)

    x(n) = (0.7)n u(n)

    \( \Rightarrow X\left( z \right) = \left[ {\frac{1}{{1 - 0.7\;{z^{ - 1}}}}} \right]\)

    \(Y\left( z \right) = {\left( {\frac{1}{{1 - 0.7{z^{ - 1}}}}} \right)^2}\)

    We know that; \(Y\left( z \right) = \mathop \sum \nolimits_{ - \infty }^\infty y\left( n \right){z^{ - n}}\)

    \(z = 1\;;Y\left( 1 \right) = \mathop \sum \nolimits_{ - \infty }^\infty y\left( n \right)\)

    \(\mathop \sum \nolimits_{ - \infty }^\infty y\left( n \right) = Y\left( z \right){\left. \right|_{z = 1}} = {\left( {\frac{1}{{1 - 0.7}}} \right)^2} = \frac{{100}}{9} = 11.11\)

  • Question 21
    2 / -0.33
    Consider a system with frequency response of \(H\left( {j\omega } \right) = \frac{{j\omega + 2}}{{\left( {j\omega + 1} \right)\left( {j\omega + 3} \right)}}\) and suppose that the input to the system is x(t) = e-t u(t). If the output response is y(t), the value of y(1) is _______ (answer up to two decimal places)
    Solution

    Frequency response of \(H\left( {j\omega } \right) = \frac{{j\omega + 2}}{{\left( {j\omega + 1} \right)\left( {j\omega + 3} \right)}}\)

    Input to the system is x(t) = e-t u(t)

    \(X\left( {j\omega } \right) = \frac{1}{{j\omega + 1}}\)

    The output in frequency domain is given by

    \(Y\left( {j\omega } \right) = H\left( {j\omega } \right)X\left( {j\omega } \right) = \frac{{j\omega + 2}}{{\left( {j\omega + 1} \right)\left( {j\omega + 3} \right)}} \times \frac{1}{{j\omega + 1}}\)

    \( = \frac{{j\omega + 2}}{{{{\left( {j\omega + 1} \right)}^2}\left( {j\omega + 3} \right)}}\)

    By applying partial fraction method,

    \(Y\left( {j\omega } \right) = \frac{1}{4}\frac{1}{{\left( {j\omega + 1} \right)}} + \frac{1}{2}\frac{1}{{{{\left( {j\omega + 1} \right)}^2}}} + \frac{1}{4}\frac{1}{{\left( {j\omega + 3} \right)}}\)

    By applying the inverse Fourier transform,

    \(y\left( t \right) = \left[ {\frac{1}{4}{e^{ - t}} + \frac{1}{2}t{e^{ - t}} - \frac{1}{4}{e^{ - 3t}}} \right]u\left( t \right)\)

    At t = 1, y(t) = 0.263

  • Question 22
    2 / -0.33

    Solution

  • Question 23
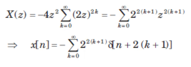
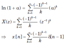
    2 / -0.33

    X(z) = ln(1 + z-1), |z| > 0

    Solution

  • Question 24
    2 / -0.33

    Let X(e) denote the Fourier transform of the signal x[n], where:

    \(x\left( n \right) = \left\{ { - 1,0,1,\begin{array}{*{20}{c}} 2\\ \uparrow \end{array},1,0,1,2,1,0, - 1} \right\}\)

    The value of F-1 {Re{X(e)}} at n = 0 will be ________. (The arrow represents the origin)
    Solution

    Concept:

    The DTFT of a discrete sequence is a complex quantity, which can be defined as:

    X(e) = Real {X(e)} + Img. {X(ejω)}

    Where the Real {X(ejω)} is nothing but the DTFT of the even part of the signal.

    Proof:

    A signal can be written as the sum of the even part and odd part, is:

    \({x_e}\left( n \right) = \frac{{x\left( n \right) + x\left( { - n} \right)}}{2}\)

    \({x_0}\left( n \right) = \frac{{x\left( n \right) - x\left( { - n} \right)}}{2}\)

    \(x\left( -n \right)\mathop \leftrightarrow \limits^{DTFT} X\left( {{e^{ - jω }}} \right)\)

    Taking the Fourier transform of the even part, we get:

    \({X_e}\left( {{e^{jω }}} \right) = \frac{{X\left( {{e^{jω }}} \right) + X\left( {{e^{ - jω }}} \right)}}{2}\)

    This can be written as:

    \({X_e}\left( {{e^{jω }}} \right) = \frac{{R\dot e\left\{ {X\left( {{e^{jω }}} \right)} \right\} + jIm\left\{ {X\left( {{e^{jω }}} \right)} \right\} + Re\left\{ {X\left( {{e^{jω }}} \right)} \right\} - jIm\left\{ {X\left( {{e^{jω }}} \right)} \right\}}}{2}\)  

    Xe(e) = Re{X(e)}

    Application:

    We are required to find F-1{Re{X(e)}} at n = 0

    The inverse DTFT of Re{X(e)} is xe(n)

    Given:

    \(x\left( n \right) = \left\{ { - 1,0,1,\begin{array}{*{20}{c}} 2\\ \uparrow \end{array},1,0,1,2,1,0, - 1} \right\}\)

    \(x\left( { - n} \right) = \left\{ { - 1,0,1,2,1,0,1,\begin{array}{*{20}{c}} 2\\ \uparrow \end{array},1,0, - 1} \right\}\)

    xe(n) will be:

    \(\frac{{x\left( n \right) + x\left( { - n} \right)}}{2} = \left\{ {\frac{{ - 1}}{2},0,\frac{1}{2},1,0,0,1,\begin{array}{*{20}{c}} 2\\ \uparrow \end{array},1,0,0,1,\frac{1}{2},0,\frac{{ - 1}}{2}} \right\}\)

    ∴ At n = 0, we have:

    \({F^{ - 1}}\left\{ {Re\left\{ {X\left( {{e^{jw}}} \right)} \right\}} \right\} = {x_e}\left( 0 \right) = 2\)

  • Question 25
    2 / -0.33

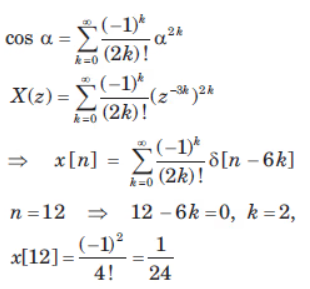
    If z-transform is given by

    X(z) = cos(z-3), |z| > 0

    The value of x[12] is

    Solution

Self Studies
User
Question Analysis
  • Correct -

  • Wrong -

  • Skipped -

My Perfomance
  • Score

    -

    out of -
  • Rank

    -

    out of -
Re-Attempt Weekly Quiz Competition
Self Studies Get latest Exam Updates
& Study Material Alerts!
No, Thanks
Self Studies
Click on Allow to receive notifications
Allow Notification
Self Studies
Self Studies Self Studies
To enable notifications follow this 2 steps:
  • First Click on Secure Icon Self Studies
  • Second click on the toggle icon
Allow Notification
Get latest Exam Updates & FREE Study Material Alerts!
Self Studies ×
Open Now