Self Studies

Power Electronics Test 1

Result Self Studies

Power Electronics Test 1
  • Score

    -

    out of -
  • Rank

    -

    out of -
TIME Taken - -
Self Studies
Weekly Quiz Competition
  • Question 1
    2 / -0.33
    Due to low internal generation in GTO, the GTO has
    Solution
    • GTO being a monolithic p-n-p-n structure just like a thyristor. In particular, the p-n-p-n structure of a GTO can be thought of consisting of one p-n-p and one n-p-n transistor connected in the regenerative configuration.
    • Due to low internal generation in GTO, the GTO has both holding and latching current of a GTO are considerably higher compared to a similarly rated thyristor.
    • Since the holding current of a GTO is considerably higher than that of a thyristor anode current variation can generate serious problem because the GTO might unlatch at an inappropriate moment.
    • To avoid this problem the gate drive unit of a GTO must feed the gate terminal with a continuous “back porch” current during the entire on period of the GTO.
    • This back-porch current must be larger than the gate trigger current.
  • Question 2
    2 / -0.33
    The reverse recovery time of a diode is trr = 3 μs and the rate of fall is \(\frac{{di}}{{dt}} = 30\;A/\mu s\). The stored charge of the diode is
    Solution

    Important formulas:

    1) \({Q_{RR}} = \frac{1}{2} \times {I_{RR}} \times {t_{rr}}\)

    2) \({I_{RR}} = {\left[ {2\;{Q_{RR}}\frac{{di}}{{dt}}} \right]^{1/2}}\)

    3) \({t_{rr}} = {\left[ {\frac{{2{Q_{RR}}}}{{\frac{{di}}{{dt}}}}} \right]^{\frac{1}{2}}}\)

    Calculation:

    \({Q_{RR}} = \frac{1}{2}t_{rr}^2\;\left( {\frac{{di}}{{dt}}} \right)\)

    \( = \frac{1}{2} \times {\left( {3 \times {{10}^{ - 6}}} \right)^2} \times 30\frac{A}{{\mu s}}\;\)

    \({Q_{RR}} = 135\;\mu C\)

  • Question 3
    2 / -0.33

    To turn-off or commutate a thyristor

    Solution

    To turn-off a thyristor, anode current must be reduced below holding current and a reverse bias must be applied across thyristor for a finite period of time. If all these two conditions are not met simultaneously then forced commutation can be used to turn-off the thyristor.

  • Question 4
    2 / -0.33

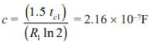
    A commutation circuit shown in figure

    What will be the maximum possible value of current through auxiliary thyristor

    TA when C = 0.3 mF L = 20 μH

    Solution

    The maximum value of capacitor voltage is Vc = 120 V after long time when TA, TA1 is ON

  • Question 5
    2 / -0.33

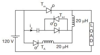
    A voltage commutation circuit shown in figure. If turn off time of SCR is 10 μs and safety margin of 1.5. What will be the minimum value of capacitor required for commutation.

    Solution

    The circuit turn off time for thyristors are
    c1 = R1 C ln 2
    t c2 = R2 C ln 2
    c1 = t c2
    R1 = R2
    safety margin = 1.5
    for safe turn off
    R1 c ln 2 = 1.5 t c1
    t c1 = 10 m sec

  • Question 6
    2 / -0.33

    Turn-on time (ton) of an SCR is related to its turn-off time (toff) in which of the following way?

    Solution

    The turn-on time of an SCR depends on time constant (L/R) of the load.

  • Question 7
    2 / -0.33

    In a class D commutation as, shown in figure. L = 1 μH & C = 2 μF. For a constant load current of 100 A, calculate circuit turn off time for auxiliary thyristor

    Solution

  • Question 8
    2 / -0.33

    For the simple chopper circuit shown, the average and rms value of currents for a duty cycle of 0.49, in amps, are (neglect the drop across chopper when ON)

    Solution

    Concept:

    For a step-down chopper, average voltage and current is given by

    V0(avg) = δVs

    \({I_{0\left( {avg} \right)}} = \frac{{\delta {V_s}}}{R}\)

    rms voltage and current is given by

    \({V_{0\left( {rms} \right)}} = {V_s}\sqrt \delta \)

    \({I_{0\left( {rms} \right)}} = \frac{{\sqrt \delta {V_s}}}{R}\)

    Where δ is duty cycle

    Calculation:

    We have given

    δ = 0.49

    Average load current \({I_{0\left( {avg} \right)}} = \frac{{0.49 \times 200}}{{10}} = 9.8\;A\)

    Rms value of load current \({I_{0\left( {rms} \right)}} = \frac{{\sqrt {0.49} \times 200}}{{10}} = 14\;A\)

  • Question 9
    2 / -0.33

    For the class-B commutation circuit shown below, the initial voltage across capacitor is 230 volt. For a constant load current of 300 A, the conduction time for the auxiliary thyristor is approximately equal to

    Solution

  • Question 10
    2 / -0.33

    For the circuit shown below, the peak value of the current through thyristors T1 and T2 are

    Solution

  • Question 11
    2 / -0.33
    A star-connected load of 20 Ω per phase is Fed from 450 V source through a 3-phase bridge inverter. For 180° mode determine load power in kW is ______ (correct up to 2 decimal places)
    Solution

    Concept:

    Three-phase power \(= 3\left( {{I_{ph}}} \right)_{rms}^2 \times R\)

    \({\left( {{I_{ph}}} \right)_{rm}} = \frac{{{{\left( {{V_p}} \right)}_{rms}}}}{{{R_{load}}}}\) 

    \({\left( {{V_L}} \right)_{rms}} = {V_{dc}}\sqrt {\frac{2}{3}} ,\;{\left( {{V_{ph}}} \right)_{rms}} = \frac{{{V_{dc}}}}{{\sqrt 3 }}\) 

    \({\left( {{V_{ph}}} \right)_{rms}} = \frac{{{V_{dc}}\sqrt 2 }}{3}\) 

    Calculation:

    Load resistance, RL = 20 Ω

    Source voltage, Vs = 450 V

    Mode of operation = 180°  

    \({\left( {{V_{ph}}} \right)_{rms}} = \frac{{450\; \times \;\sqrt 2 }}{3}\) 

    = 212.132 V

    \({\left( {{I_{ph}}} \right)_{rms}} = \frac{{212.132}}{{20}}\) 

    \({\left( {{I_{ph}}} \right)_{rms}} = 10.6\;A\) 

    Three-phase power is

    \( = 3\left( {{I_{ph}}} \right)_{rms}^2 \times R = 3 \times {10.6^2} \times 20\) 

    = 6741.6 W = 6.74 kW

  • Question 12
    2 / -0.33
    A star connected load of 15 Ω per phase is fed from 420 V DC source through a 3-phase bridge inverter. If the inverter is operating in 120° conduction mode, the RMS value of thyristor current is _________ (in A)
    Solution

    Concept:

    Parameter

    180° conduction mode

    120° conduction mode

    Phase voltage (Vph)

    \(\frac{{\sqrt 2 }}{3}{V_s}\)

    \(\frac{{{V_s}}}{{\sqrt 6 }}\)

    Line voltage (VL)

    \(\sqrt {\frac{2}{3}} {V_s}\)

    \(\frac{{{V_s}}}{{\sqrt 2 }}\)

    RMS load current (Ior)

    \(\frac{{\sqrt 2 }}{{3R}}{V_s}\)

    \(\frac{{{V_s}}}{{\sqrt 6 R}}\)

    RMS thyristor current (ITr)

    \(\frac{{{V_s}}}{{3R}}\)

    \(\frac{{{V_s}}}{{2\sqrt 3 R}}\)

     

    Calculation:

    The inverter is operating in 120° conduction mode.

    Supply voltage (Vs) = 420 V

    Load resistance (R) = 15 Ω

    The RMS value of thyristor current, \({I_{Tr}} = \frac{{420}}{{2\sqrt 3 \; \times \;15}} = 8.08\;A\)

  • Question 13
    2 / -0.33
    An IGBT chopper modulated power from a 200 V DC supply to a resistive load of 20 Ω. The switching frequency of the choppers is 1 kHz for VDS(sat) = 1.9 V. The chopper has a duty cycle, m = 0.8. The average power loss due to conduction is _______ (in W)
    Solution

    Given that, Vs = 200 V

    VDS(sat) = 1.9 V

    Load resistance (R) = 20 Ω

    Duty cycle (m) = 0.8

    Steady on-state current, \({I_l} = \frac{{{V_s} - {V_{DS\left( {sat} \right)}}}}{R} = \frac{{200 - 1.9}}{{20}} = 9.9\;A\)

    Conduction losses, \({P_c} = \frac{1}{T}\mathop \smallint \limits_0^{{t_{ON}}} {V_{DS\left( {sat} \right)}}{I_D}dt\)

    = VDC(sat) m ID = 1.9 × 0.8 × 9.9 = 15 W
  • Question 14
    2 / -0.33
    A 1000 V 25 A GTO controls power from a DC supply of 600 V to Rload of 30 Ω. The data sheet gives the following information: the on-state voltage drop, VGTO(ON) = 2.2 V; average gate power should not exceed 10 W; IG Turn-off = -25 A.
    Solution

    Concept:

    The load current, \({I_l} = \frac{{{V_s} - {V_{GTO\left( {ON} \right)}}}}{R}\)

    The load power, \(P = \frac{{V_l^2}}{R} = \frac{{{{\left( {{V_s} - {V_{GTO\left( {ON} \right)}}} \right)}^2}}}{R}\)

    The total power gain \( = \frac{P}{{{P_G}}}\)

    Calculation:

    Given that, DC supply voltage (Vs) = 600 V

    Load resistance (R) = 30 Ω

    the on-state voltage drop, VGTO(ON) = 2.2 V

    The average gate power, PG = 10 W

    The load current, \({I_l} = \frac{{600 - 2.2}}{{30}} = 19.93\;A\)

    The load power, \(P = \frac{{{{\left( {600 - 2.2} \right)}^2}}}{{30}} = 11912\;W\)

    The gate power, PG = 10 W

    The total power gain \( = \frac{P}{{{P_G}}} = \frac{{11912}}{{10}} = 1191.2\)
  • Question 15
    2 / -0.33

    The SCR in the circuit shown below is forced commutated by a circuitry not shown in the figure. The SCR has minimum charging current of 5 mA to turn it on and its junction capacitance is 25 pF.

    Solution

    Under steady-state condition, voltage across capacitor is Vs = 200 V and SCR conducts having a current through it equal to

  • Question 16
    2 / -0.33
    A single-phase AC supply is connected to a full wave rectifier through a transformer. The rectifier is required to supply an average DC output voltage of Vdc = 400 V to a resistive load of R = 10 Ω. The kVA rating of the transformer is __________ (in kVA)
    Solution

    Concept:

    In a full wave rectifier though a transformer,

    Average output voltage, \({V_0} = \frac{{2{V_m}}}{\pi }\)

    Average output current, \({I_0} = \frac{{{V_0}}}{R}\)

    RMS value of output voltage Vor = Vs

    RMS value of load current, \({I_{or}} = \frac{{{V_s}}}{R}\)

    Average value of diode current, \({I_d} = \frac{{{I_m}}}{2}\)

    RMS value of diode current, Idr = Ior

    Peak value of diode current, Idm = √2 Ior

    Power delivered to the load = Vor Ior

    Input voltamperes = Vs Ior

    Calculation:

    Given that, DC output voltage (VDC) = 400 V

    Average output voltage of rectifier (V0) = 400 V

    \( \Rightarrow \frac{{2{V_m}}}{\pi } = 400\)

    \( \Rightarrow \frac{{2 \times \sqrt 2 \times {V_s}}}{\pi } = 400\)

    ⇒ Vs = 444.28 V

    Load resistance (R) = 10 Ω

    RMS value of load current, \({I_{or}} = \frac{{444.28}}{{10}} = 44.428\;A\)

    kVA rating of transformer = 444.28 × 44.428 = 19.738 kVA
  • Question 17
    2 / -0.33

    The circuit shown below is initially relaxed. With switch closed at t = 0, the conduction time of diode is around

    Solution

    For the series RLC diode circuit, the current i(t) is given by

  • Question 18
    2 / -0.33
    A single-phase semi-converter, connected to 230 V 50 Hz source, is feeding a load R = 10 Ω in series with a large inductance that makes the load ripple-free. The firing angle is 30o, then the current distortion factor is_________
    Solution

    For a single-phase semi-converter, the peak value of the nth component of the current

    \({I_{{s_n}}} = \frac{{4{I_0}}}{{n\pi }}\cos n\frac{\alpha }{2}\)

    \({\left( {{I_{{s_1}}}} \right)_{rms}} = \frac{{2\sqrt 2 }}{\pi }{I_0}\cos \frac{\alpha }{2}\)

    (Is)rms = RMS value of source current

    \({I_{{s_n}}} = {I_0}{\left( {\frac{{\pi - \alpha }}{\pi }} \right)^{1/2}}\)

    Current distortion factor, \(g = \frac{{{I_{{s_1}}}}}{{{I_{{s_n}}}}} = \frac{{\frac{{2\sqrt 2 }}{\pi }{I_0}\cos \frac{\alpha }{2}}}{{{I_0}{{\left( {\frac{{\pi - \alpha }}{\pi }} \right)}^{\frac{1}{2}}}}}\)

    \(g = \frac{{2\sqrt 2 \cos \frac{\alpha }{2}}}{{\sqrt {\pi \left( {\pi - \alpha } \right)} }}\)

    Replacing the value of \(\alpha = \frac{\pi }{6}\) we get,

    \(g = \frac{{2\sqrt 2 \cos \left( {\frac{\pi }{{12}}} \right)}}{{\sqrt {\pi \left( {\pi - \frac{\pi }{6}} \right)} }} = 0.9526\)

  • Question 19
    2 / -0.33
    A three-phase three pulse converter, fed from three-phase 400 V, 50Hz supply, has a load R = 2 Ω, E = 200 V, and large inductance so that load current is constant at 20A. If the source has an inductance of 2 mH, then the value of overlap angle for inverter operation is 
    Solution

    Concept:

    Effect of source inductance: The presence of source inductance affects the rectifier output voltage

    V0 = Vd0 cos α – ΔVd0

    Where \({\rm{\Delta }}{V_{d0}} = \frac{{{V_{d0}}}}{2}\;\left[ {\cos \alpha - \cos \left( {\alpha + \mu } \right)} \right]\)

    μ is the overlap angle

    \({V_{d0}} = \frac{{2{V_m}}}{\pi }\) for 2 pulse

    \(= \frac{{3{V_{mL}}}}{{2\pi }}\) for 3 pulse

    \(= \frac{{3{V_m}}}{\pi }\) for 6 pulse

    Also, ΔVd0 = f Ls I0 (1 pulse)                                                      

    = 4 f Ls I0 (2 pulse)

    = 3 f Ls I0 (3 pulse)                                                                    

    = 6 f Ls I0 (6 pulse)

    Calculation:

    V0 = -E0 + I0 R

    Vd0 cos α – 3 f Ls I0 = -200 + (20)(2)

    \({V_{d0}} = \frac{{3{V_m}}}{{2\pi }}\)

    \(\frac{{3{V_m}}}{{2\pi }}\cos \alpha - 3\;f\;{L_s}\;{I_0} = - 160\)

    \(\frac{{3{V_m}}}{{2\pi }}\cos \alpha = - 154\)

    On solving we get cos α = - 0.57

    ⇒ α = 124.76°

    For three pulse converters:

    \(\frac{{{V_{d0}}}}{2}\left[ {\cos \alpha - \cos \left( {\alpha + \mu } \right)} \right] = 3f\;{L_s}{I_0}\)

    \(\frac{{3{V_m}}}{{2\pi \cdot 2}}\;\left[ {\cos \left( {127.76} \right) - \cos \left( {124.76 + \mu } \right)} \right] = 3\;f\;{L_s}{I_0}\)

    On solving the above equation for overlap angle (μ) we get

    cos (α + μ) = -0.6145

    μ = 3.15°   

  • Question 20
    2 / -0.33

    In the phase-controlled half-wave converter shown above, the thyristor is fired in every positive half cycle of the input voltage, at an angle α. The firing angle for the peak value of the instantaneous output voltage of 200 V would be close to

    Solution

    For α < 90° Vm = Vp
     For α > 90° Vm sinα = Vp
    VRMS = 200 V
    ⇒ Vm = 200 √2
    200 √2 sin α = 200

    α = 45°
    α = 90 + 45 = 135°

  • Question 21
    2 / -0.33

    A single-phase 230 V, 1 kW heater is connected across single-phase 230 V, 50 Hz supply through a diode as shown in figure. The power delivered to the heater element is

    Solution

  • Question 22
    2 / -0.33

    A single-phase full-bridge diode rectifier delivers a load current of 10 A, which is ripple free. The rms and average values of diode currents are respectively

    Solution

    Given, I0 = 10A

    The rms value of diode current,

  • Question 23
    2 / -0.33

    In the circuit shown below, the diode states at the extremely large negative value of the input voltage vi are

    Solution

    If vi is of very large negative value Ivi| > |E|, then diode D1 will be forward biased (ON) while diode D2 will be reverse biased (OFF).

  • Question 24
    2 / -0.33

    A diode whose internal resistance is 20 Q is to supply power to a 1 kΩ load from a 230 V (rms) source of supply as shown in figure below. The percentage regulation from no load to the given load is

    Solution

  • Question 25
    2 / -0.33
    A single-phase full-bridge inverter has RLC load of R = 4Ω, L = 35 mH, C = 155 μF. The DC input voltage is 230 V and the output frequency is 50 Hz. The third harmonic component in load current is:
    Solution

    Concept:

    General equation of nth harmonic voltage waveform for a single-phase full-bridge inverter is given by:

    \({V_{On}} = \frac{{4{V_s}}}{{n\pi }}\sin \left( {n\omega t} \right)\)

    3rd harmonic waveform:\({V_{03}} = \frac{{4{V_s}}}{{3\pi }}\sin \left( {3\omega t} \right)\)

    \({I_{03}} = \frac{{{{\left( {{V_{03}}} \right)}_{rms}}}}{{\left| {{Z_3}} \right|}}\)

    Calculation:

    Supply voltage (Vs) = 230 V

    \({\left( {{V_{03}}} \right)_{rms}} = \frac{{4{V_s}}}{{3\pi }} \times \frac{1}{{\sqrt 2 }} = \frac{{4 \times 230}}{{3\sqrt 2 \pi }}\)

    (V03)rns = 69.02 V

    \({Z_3} = R + j\left( {3\omega L + \frac{{\left( { - 1} \right)}}{{3\omega C}}} \right)\)

    \({Z_3} = 4 + j\left( {3\omega \left( {35 \times {{10}^{ - 3}}} \right) + \frac{{\left( { - 1} \right)}}{{3\omega \left( {155 \times - 6} \right)}}} \right)\)

    \(\left| {{Z_3}} \right| = \sqrt {{R^2} + {{\left( {{X_L} - {X_C}} \right)}^2}} \)

    |Z3| = 26.44 Ω

    ∴ 3rd harmonic current component

    \({I_{03}} = \frac{{{{\left( {{V_{03}}} \right)}_{rms}}}}{{\left| {{Z_3}} \right|}} = \frac{{69.02}}{{26.44}} = 2.61\;A\)

Self Studies
User
Question Analysis
  • Correct -

  • Wrong -

  • Skipped -

My Perfomance
  • Score

    -

    out of -
  • Rank

    -

    out of -
Re-Attempt Weekly Quiz Competition
Self Studies Get latest Exam Updates
& Study Material Alerts!
No, Thanks
Self Studies
Click on Allow to receive notifications
Allow Notification
Self Studies
Self Studies Self Studies
To enable notifications follow this 2 steps:
  • First Click on Secure Icon Self Studies
  • Second click on the toggle icon
Allow Notification
Get latest Exam Updates & FREE Study Material Alerts!
Self Studies ×
Open Now