Self Studies

Electromagnetics Test 1

Result Self Studies

Electromagnetics Test 1
  • Score

    -

    out of -
  • Rank

    -

    out of -
TIME Taken - -
Self Studies
Weekly Quiz Competition
  • Question 1
    2 / -0.33
    If ‘C’ is a closed curve enclosing a surface S, then the magnetic field intensity H, the current density J, and the electric flux density D are related by:
    Solution

    As per Maxwell’s equation,

    \(\Rightarrow \bar{\nabla }\times \bar{H}=\bar{J}+\frac{\partial \bar{D}}{\partial t}\)

    \(\Rightarrow \mathop{\iint }_{s}\left( \bar{\nabla }\times \bar{H} \right).d\bar{s}=\mathop{\iint }_{s}\left( \bar{J}+\frac{\partial \bar{D}}{\partial t} \right).d\bar{s}\)

    Using Stokes Theorem, we can write:

    \(\mathop{\oint }_{C}\bar{H}.d\bar{l}=\mathop{\iint }_{s}\left( \bar{J}+\frac{\partial \bar{D}}{\partial t} \right).d\bar{s}\)

  • Question 2
    2 / -0.33
    In a transmission line, the adjacent maxima are found at 12.5 cm and 37.5 cm. The operating frequency
    Solution

    Concept:

    The distance between two adjacent maxima or minima points for standing waves is given by:

    \(d=\frac{λ}{2}\)

    λ = wavelength of the operating wave

    Also, frequency and wavelength are related by the relation:

    c = ν λ 

    c = Speed of light = 3 × 1010 cm/s

    Calculation:

    d = 37.5 - 12.5 = 25 cm

    \(25=\frac{λ}{2}\)

    λ = 50 cm

    \(ν =\frac{3\times10^{10}}{50}~Hz\)

    ∴ The operating frequency = 600 MHz

  • Question 3
    2 / -0.33

    An infinite plane dielectric slab of thickness d and having permittivity ϵ = 4 ϵ0 occupies the region 0 < z < d. If a uniform electric field E = E0 az is applied in free space, then which of the following statements is/are true?

    Solution

    Concept:

    The boundary condition for electrostatic fields are defined as:

    E1t = E2t (Tangential components are equal across the boundary surface)

    Also, the normal component satisfies the following relation:

    D1n – D2n = ρs

    For a charge-free boundary, ρs = 0, the above expression becomes:

    D1n – D2n = 0

    D1n = D2n

    Calculation:

    As the dielectric slab occupies the region 0 < z < d and the field intensity in the free space is in +az direction, the field will be normal to the boundary of the plane dielectric slab.

    So from the boundary condition, the field normal to the surface are related as:

    ε Ein = ε0 E

    With ε = 4ε0, we can write:

    \({E_{in}} = \frac{{{{\rm{\varepsilon }}_0}}}{{4{{\rm{\varepsilon }}_0}}}{E_0}{a_z} = \frac{{{E_0}}}{4}{a_z}\)

    ∴ The electric field intensity (Ein) inside the dielectric slab will be \(\frac{E}{4}{a_z}\) 

    \({D_{in}} = {\rm{\varepsilon \;}}{{\rm{E}}_{{\rm{in}}}} = 4{{\rm{\varepsilon }}_0}\frac{{{E_0}}}{4}{a_z}\)

    \({D_{in}} = {{\rm{\varepsilon }}_0}{E_0}{a_z}\)

    And the electric flux density (Din) inside the dielectric slab will remain unchanged.

  • Question 4
    2 / -0.33

    An electromagnetic wave is propagating in certain nonmagnetic material such that the magnetic field intensity at any point is given by:

    H = 3 cos (109 t – 5z) ax A / m

    The phase velocity of the wave in the medium will be _______ × 108 m/sec
    Solution

    Concept:

    The general equation of magnetic field intensity is given by:

    H = H0 cos (ωt - βz)ax A / m

    The phase velocity is defined as the rate at which the phase of the wave propagates in space.

    Mathematically this is calculated as:

    \({v_p} = \frac{ω }{β }\)

    Calculation:

    Given magnetic field intensity in the non-magnetic medium is:

    H = 1.5 cos (109 t – 5z) ax A / m

    Comparing both the expressions, we get:

    ω = 109 rad / sec

    And β = 5

    So, the phase velocity of the wave in the medium will be:

    \({v_p} = \frac{ω }{β } = \frac{{{{10}^9}}}{5} = 2 \times {10^8}m/s\)

  • Question 5
    2 / -0.33
    For a wave propagating in an air-filled rectangular waveguide:
    Solution

    Concept:

    Guided wavelength:

    \({{\lambda }_{g}}=\frac{\lambda }{\sqrt{1-{{\left( \frac{{{f}_{c}}}{f} \right)}^{2}}~}}\)

    Where λ is the free space wavelength, f is the operating frequency and fc is the cut-off frequency.

    ∵ \(\sqrt{1-{{\left( \frac{{{f}_{c}}}{f} \right)}^{2}}~}\) is always less than 1

    ∴ λg > λ always

    ∴ Statement 1 is incorrect.

    Phase velocity:

    \({{v}_{p}}=\frac{c}{\sqrt{1-{{\left( \frac{{{f}_{c}}}{f} \right)}^{2}}~}}\)

    Where c is the free space velocity, f is the operating frequency and fc is the cut-off frequency.

    We can readily see that the phase velocity is a non-linear function of the operating frequency.

    ∴ Statement 2 is incorrect

    The intrinsic/waveguide impedance is defined as the ratio of the electric field and the magnetic field phasor (complex amplitude), i.e.

    \(η =\frac{E}{H}=\frac{j\omega \mu }{\gamma }\)

    For free-space, the intrinsic impedance is a real quantity, i.e.

    η  = η0 = 120π

    ∴ Statement 3 is incorrect

    For TE mode:

    Wave impedance

    \({{\eta }_{TE}}=\frac{\eta }{\sqrt{1-{{\left( \frac{{{f}_{c}}}{f} \right)}^{2}}~}}\)

    For TM mode:

    Wave impedance

    \({{\eta }_{TM}}=\eta \sqrt{1-{{\left( \frac{{{f}_{c}}}{f} \right)}^{2}}~}\)

    Where η is the free space impedance

    ∴ Wave impedance can be greater or less than the intrinsic impedance. It depends on the mode of propagation.

    ∴ Statement 4 is Correct.

  • Question 6
    2 / -0.33

    A receiving antenna is located 100 m away from the transmitting antenna, has an effective area of 10 m2. The electric field strength at the antenna is 2 mV/m

    The power received by the antenna is ______ nW.

    (Assume free space)
    Solution

    The power received Pr = Pavg Ae

    Pavg = Time average power

    \({P_r} = \frac{{E_0^2}}{{2\;\eta }}{A_e}\)

     \( = \frac{{{{\left( {2 \times {{10}^{ - 3}}} \right)}^2}}}{{240\;\pi }} \times 10\; \cong 53.07\;nW\)
  • Question 7
    2 / -0.33

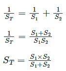
    Two magnetic circuits having reluctance S1 and S2 are connected in parallel. Total reluctance of the circuit will be:

    Solution

    Concept

    Reluctance is the opposition offered by a magnetic circuit to the establishment of magnetic flux.

    where, S = Reluctance

    l = Length

    μ = Permeability

    A = Cross-Sectional Area

    Explanation

    For two magnetic circuits connected in parallel, the total reluctance is found exactly like resistances in parallel (but with reluctance instead of resistance).

    For two magnetic circuits connected in series, the reluctance of the circuit is:

    S= S1 + S2

  • Question 8
    2 / -0.33

    Relative permeability of non-magnetic material is:

    Solution

    Relative Permeability of Non-Magnetic Materials

    Definition: Relative permeability (μr) is a measure of a material's ability to conduct magnetic flux relative to the magnetic permeability of free space (μ0). It is a dimensionless quantity defined as the ratio of the material's absolute permeability (μ) to the permeability of free space (μ0).

    For non-magnetic materials, the relative permeability is usually very close to 1, indicating that they do not significantly enhance or hinder the magnetic field. These materials do not exhibit strong magnetic properties and are not easily magnetized. Examples of non-magnetic materials include air, water, wood, and most non-metals.

    Correct Option Analysis:

    The correct option is:

    Option 3: Unity

    This is the correct answer because the relative permeability of non-magnetic materials is approximately equal to unity (1). This means that the material does not significantly alter the magnetic field passing through it. In mathematical terms:

    μr = μ / μ0

    For non-magnetic materials, μ ≈ μ0, which results in:

    μr ≈ 1

    Examples of such materials include air, vacuum, and most non-metallic substances. These materials do not have magnetic domains and hence do not exhibit strong magnetic properties.

  • Question 9
    2 / -0.33

    In magnetic circuit, ampere-turns (AT) is the unit of ________.

    Solution

    Magnetomotive Force (MMF) in Magnetic Circuits

    Definition: Magnetomotive force (MMF) is a measure of the magnetic potential in a magnetic circuit. It represents the ability to drive magnetic flux through the circuit. MMF is analogous to electromotive force (EMF) in electrical circuits and is measured in ampere-turns (AT).

  • Question 10
    2 / -0.33

    In air, a propagating wave has electric field intensity given by:

    E = 9 cos (4 × 108 t - βx) az V / m

    The time taken by the wave to travel one-fourth of its total wavelength is ________nano sec. (Correct up to two decimal places)
    Solution

    Concept:

    The general equation of electric field intensity of an EM wave propagating in ax direction in a medium is given as:

    E = Ecos (ωt - βx) ay A/m

    ω = Angular velocity defined as:

    \(\omega =\frac{2\pi }{T}\)

    T = Time period

    Calculation:

    Given:

    E = 9 cos (4 × 108 t - βx) az V / m

    Comparing it with the given expression of electric field intensity, we get:

    ω = 4 × 108 rad / s

    So, the time period of the wave in the air will be:

    \(T = \frac{{2\pi }}{ω } = \frac{{2\pi }}{{4 \times {{10}^8}}}\)

    = 15.71 ns

    Since in one time period, the wave covers one wavelength (λ), ∴ The time taken by the wave to travel λ / 4 distance will be:

    \(t = \frac{T}{4} = 3.93ns\)
  • Question 11
    2 / -0.33

    Current through an inductor coil is varied uniformly from 20 A to 10 A in 1 s. The emf induced as measured by a voltmeter is 40 V. what is the self-inductance of the coil?

    Solution

  • Question 12
    2 / -0.33
    In a losses transmission line, the velocity of propagation is 2.5 × 108 m/s. The capacitance of the line is 30 pF/m. The characteristics Impedance of the line is _____ ohms. (upto 2 decimals)
    Solution

    Concept:

    The velocity of propagation is given by:

    \(v = \frac{1}{{\sqrt {LC} }}\)

    Characteristic Impedance:

    \({Z_o} = \sqrt {\frac{L}{C}} \)

    Calculations:

    \(v = \frac{1}{{\sqrt {LC} }}\)

    \(L = \frac{1}{{C{v^2}}} \)

    \(L= \frac{1}{{\left( {30 \times {{10}^{ - 12}}} \right){{\left( {2.5 \times {{10}^8}} \right)}^2}}} \)

    \(L= 533\;nH/m\)

    Characteristic Impedance will be:

    \({Z_o} = \sqrt {\frac{L}{C}} = \sqrt {\frac{{533 \times {{10}^{ - 9}}}}{{30 \times {{10}^{ - 12}}}}} \)

    \(Z_0= 133.29\;{\rm{\Omega }}\)

  • Question 13
    2 / -0.33

    An air-filled rectangular waveguide R1 is operating at the frequency 2 GHz and another air-filled rectangular waveguide R2 is operating at 4 GHz. The guide wavelengths of these waveguides at their respective frequencies are equal. If the cut-off frequency of waveguide R1 is 1 GHz, what is the cut-off frequency of the waveguide R2 in GHz?

    Solution

    Calculation:

    Guided wavelength is given by:

    \({\lambda _g} = \;\frac{\lambda }{{\sqrt {1 - {{\left( {\frac{{{f_c}}}{f}} \right)}^2}} \;}}\) ; where

    fc = Cut-off frequency

    And f = Operating frequency.

    For waveguide R­1 : f1 = 2GHz and fc1 = 1 GHz

    For waveguide R2 : f2 = 4 GHz. We are to find fc­2.

    Given λg1 = λg2

    Equating the wavelength for Both waveguides ;

    \( \Rightarrow \frac{{{\lambda _1}}}{{\sqrt {1 - {{\left( {\frac{{{f_{c1}}}}{{{f_1}}}} \right)}^2}} }} = \;\frac{{{\lambda _2}}}{{\sqrt {2 - {{\left( {\frac{{f{c_2}}}{{{f_2}}}} \right)}^2}} }}\)

    \(\frac{{c/{f_1}}}{{\sqrt {1 - {{\left( {\frac{{f{c_1}}}{{{f_1}}}} \right)}^2}} }} = \frac{{c/{f_2}}}{{\sqrt {1 - {{\left( {\frac{{{f_{c2}}}}{{{f_2}}}} \right)}^2}\;} }}\)

    \(\sqrt {f_1^2 - f_{c1}^2} = \;\sqrt {f_2^2 - f_{c2}^2} \;\)

    \( \Rightarrow \sqrt {4 - 1} = \sqrt {16 - f_{c2}^2} \)

    ⇒ 3 = 16 – fc22

    fc22 = 13

    \({f_{c2}} = \sqrt {13} \)

    Option (4) is the correct option
  • Question 14
    2 / -0.33
    An Aluminium chamber is to be designed that attenuates a 1 MHz signal at its outside by a factor of 106. If the conductivity of Aluminium is 3.5 × 107 S/m and there is no reflection of plane EM wave at the outer surface of Aluminium, then the minimum thickness of Aluminium chamber required is _________ mm.
    Solution

    Concept:

    The electric field at a distance is given by:

    E = Eoe-αd

    Where ‘α’ is the attenuation constant

    For conductors, the attenuation constant is the inverse of the skin depth, i.e. the attenuation constant is given by:

    \({\rm{\alpha }} = \sqrt {{\rm{\pi f}}{{\rm{\mu }}_0}{\rm{\sigma }}}\)

    Calculations:

    If the Amplitude of election filed intensity is E0 on one side of the sheet, then the magnitude of the Electric field intensity on the other side is 10-6 Eo

    \({\rm{\alpha }} = \sqrt {{\rm{\pi f}}{{\rm{\mu }}_0}{\rm{\sigma }}}\)

    \(= \sqrt {{\rm{\pi }} \times {{10}^6} \times 4{\rm{\pi }} \times {{10}^{ - 7}} \times 3.7 \times {{10}^7}} \)

    = 1.21 × 104 Np/m

    The electric field is related as:

    10-6 Eo = Eo e-αd

    Taking log both sides

    -6 ln 10 = -αd

    \({\rm{d}} = \frac{{6{\rm{ln}}\left( {10} \right)}}{{\rm{\alpha }}} = 0.00142{\rm{\;m}}\)

    = 1.142 mm.
  • Question 15
    2 / -0.33
    A uniform plane wave in region 1 is normally incident on the planner boundary separating regions 1 and 2. Both regions are lossless and \(\epsilon_{r1}=\mu _{r1}^3\)\(\epsilon_{r2}=\mu _{r2}^3\). If 20% of the energy in the incident wave is reflected at the boundary, the ratio εr2 / εr1 can take the value:
    Solution

    Concept:

    The reflection coefficient for a wave propagating from medium 1 to medium 2 is defined as:

    \({\rm{Γ }} = \frac{{{\eta _2} - {\eta _1}}}{{{\eta _2} + {\eta _1}}}\)   ---(1)

    Where η1 and η2 are the intrinsic impedance of the two mediums respectively.

    For a given Electric field Ei incident at the interface, the reflected wave is given by:

    \({E_r} = {\rm{Γ }}{E_i}\)

    Analysis:

    Since 20% of the energy in the incident wave is reflected at the boundary, we can write:

    \((\frac{E_r}{E_i})^2 = Γ^2 =0.2\)

    \(\left| {\rm{Γ }} \right| = \sqrt {0.2} = \pm 0.447\), i.e. for both Γ = +0.447 and Γ = - 0.447, the reflected power will be 20% of the incident power.

    Using equation (1), we can write:

    \(\frac{{{\eta _2} - {\eta _1}}}{{{\eta _2} + {\eta _1}}} = \pm 0.447\)

    \(\frac{{{\eta _0}\sqrt {\frac{{{\mu _{r2}}}}{{{\varepsilon _{r2}}}}} - {\eta _0}\sqrt {\frac{{{\mu _{r1}}}}{{{\varepsilon _{r1}}}}} }}{{{\eta _0}\sqrt {\frac{{{\mu _{r2}}}}{{{\varepsilon _{r2}}}}} + {\eta _0}\sqrt {\frac{{{\mu _{r1}}}}{{{\varepsilon _{r1}}}}} }} = \pm 0.447\)

    With εr1 = μ3r1, and εr2 = μ3r2, the above expression becomes:

    \(\frac{{\sqrt {\frac{{{\mu _{r2}}}}{{\mu _{r2}^3}}} - \sqrt {\frac{{{\mu _{r1}}}}{{\mu _{r1}^3}}} }}{{\sqrt {\frac{{{\mu _{r2}}}}{{\mu _{r2}^3}}} + \sqrt {\frac{{{\mu _{r1}}}}{{\mu _{r1}^3}}} }} = \pm 0.447\)     

    \(\frac{{{\mu _{r1}} - {\mu _{r2}}}}{{{\mu _{r1}} + {\mu _{r2}}}} = \pm 0.447\)

    \(\frac{{{\mu _{r1}}}}{{{\mu _{r2}}}} = \frac{{1 \pm 0.447}}{{1 \mp 0.447}}\)

    \(\frac{{{\mu _{r1}}}}{{{\mu _{r2}}}} = 2.62\;or\;0.38\)

    So, \(\frac{{{\varepsilon _{r2}}}}{{{\varepsilon _{r1}}}} = {\left( {\frac{{{\mu _{r2}}}}{{{\mu _{r1}}}}} \right)^3}\)

    \(\frac{{{\varepsilon _{r2}}}}{{{\varepsilon _{r1}}}} = 0.054\;or\;17.9\)
  • Question 16
    2 / -0.33

    Electric flux is a _______ field, and its density is a _______ field.

    Solution

    Concept:

    Electric Flux:

    • It is defined as the number of electric field lines associated with an area element.
    • Electric flux is a scalar quantity, because it's the dot product of two vector quantities, electric field and the perpendicular differential area.
       ϕ = E.A = EA cosθ 
    • The SI unit of the electric flux is N-m2/C.

    Electric flux density (D) is a vector quantity because it is simply the product of the vector quantity electric field and the scalar quantity permittivity of the medium, i.e.

    Its unit is Coulomb per square meter.

  • Question 17
    2 / -0.33

    The thumb in Fleming's left hand rule indicate:

    Solution

    EXPLANATION:

    1. Forefinger (Index finger): Represents the direction of the magnetic field (magnetic flux). Therefore option 3 is correct.
    2. Middle finger: Represents the direction of motion of charge (current).
    3. The thumb : Represents the direction of force or motion experienced by positively charged particles.
  • Question 18
    2 / -0.33
    Two half-wave dipole antennas are operating at 100 MHz and separated by 1 km. If 80 W is transmitted by one, the power received by other is _____ μW.
    Solution

    \({P_r} = \frac{{{P_t}\left( {{G_r}} \right)\left( {{G_t}} \right)}}{{{d ^2}{4 \pi}}}\)

    Pr= Power received 

    Pt = Power of transmitting antenna 

    Gr= Gain of receiving antenna

    Gt= Gain of transmitting antenna

    d= distance between the two antenna

    \(Directivity = \frac{{4\pi {A_e}}}{{{\lambda ^2}}}\)

    Directivity = 1.63 for half wave dipole

    \({P_r} = \frac{{{P_t}\left( {\frac{{4\pi {A_{eT}}}}{{{\lambda ^2}}}} \right)\left( {\frac{{4\pi {A_{eR}}}}{{{\lambda ^2}}}} \right)}}{{4\pi {d^2}}}\)

    Where Ae is the effective area of the antenna'

    \(=\frac{{80\left( {A_e^2} \right)4\pi }}{{{d^2}{\lambda ^4}}}\)

    \(\lambda = \frac{C}{f} = \frac{{3 \times {{10}^8}}}{{100 \times {{10}^6}}} = 3m.\)

    substituting the values

    Prmax = 16.9 micro Watts
  • Question 19
    2 / -0.33

    A 1 mW optical signal is fed into an optical fibre having loss factor of 1.41 dB/km. The distance after which the power of signal is reduce to 0.5 mW is _________ km.

    Solution

    For the optical power

    \(\alpha = \frac{{10}}{L}\log \left( {\frac{{{P_{in}}}}{{{P_{out}}}}} \right)\) 

    \(L = \left( {\frac{{10}}{{1.41}}} \right)\log \left( {\frac{1}{{0.5}}} \right)\) 

    \(L = \left( {\frac{{10}}{{1.41}}} \right)\log \left( 2 \right)\) 

    L = 2.134 km

  • Question 20
    2 / -0.33
    Consider a transmission line having a characteristic impedance of 100 Ω and connected to a 50 Ω resistance load. The line is very long, and the voltage measured at the load has a magnitude of 50 V. The maximum voltage that appears on the line is:
    Solution

    Concept:

    The voltage at load is superposition of 2 waves

    1) Forward travelling wave

    2) Reflected wave

    If V+ is the amplitude of forward travelling wave

    Then voltage at load

    VL = V+ + VR

    VL = V+ + Γ V+

    VL = V+ (1 + Γ)

    Where VR = Reflected wave voltage

    Also:

    Vmax = |V+| (1 + (Γ(z)))

    \(=\left| {{V}^{+}} \right|\left( 1+\frac{SWR-1}{SWR+1} \right)\)

    \(=\left| {{V}^{+}} \right|\left( \frac{2~S\omega R}{S\omega R+1} \right)\)

    Similarly,

    \({{V}_{min}}=\left| {{V}^{+}} \right|\left( 1-\text{ }\!\!\Gamma\!\!\text{ }\left( z \right) \right)\)

    \(=\left| {{V}^{+}} \right|\left( \frac{2}{SWR+1} \right)\)

    Calculations:

    Reflection coefficient (ΓL)

    \({{\text{ }\!\!\Gamma\!\!\text{ }}_{L}}=\frac{{{Z}_{L}}-{{Z}_{0}}}{{{Z}_{L}}+{{Z}_{0}}}\)

    \(=\frac{50-100}{50+100}\)

    \(=\frac{-1}{3}\)

    \(=\frac{1}{3}{{e}^{j\pi }}\)

    \(\left| {{\text{ }\!\!\Gamma\!\!\text{ }}_{L}} \right|=\frac{1}{3}~,~{{\theta }_{L}}=-\pi \)

    \(SWR=\frac{1+\left| {{\text{ }\!\!\Gamma\!\!\text{ }}_{L}} \right|}{1-\left| {{\text{ }\!\!\Gamma\!\!\text{ }}_{L}} \right|}=\frac{3+1}{3-1}=2\)

    To calculate minimum and maximum voltage first calculate forward voltage amplitude.

    \({{V}_{L}}={{V}^{+}}\left( 1+{{\text{ }\!\!\Gamma\!\!\text{ }}_{L}} \right)\)

    \({{V}^{+}}=\frac{{{V}_{L}}}{\left( 1+{{\text{ }\!\!\Gamma\!\!\text{ }}_{L}} \right)}=\frac{50}{\left( 1-\frac{1}{3} \right)}=\frac{50}{\frac{2}{3}}\)

    = 75 V

    \({{V}_{max}}=\left| {{V}^{+}} \right|\left( \frac{2~SWR}{SWR+1} \right)\)

    \(=75\left( \frac{2\times 2}{2+1} \right)\)

    \(=75\times \frac{4}{3}=100~V\)
  • Question 21
    2 / -0.33

    1 Tesla = _______ Weber/m2

    Solution

    CONCEPT:

    • Magnetic field strength or magnetic field induction or flux density of the magnetic field is equal to the force experienced by a unit positive charge moving with unit velocity in a direction perpendicular to the magnetic field.
      • The SI unit of the magnetic field (B) is weber/meter2 (Wbm-2) or tesla.
    • The CGS unit of B is gauss.

    ​1 gauss = 10-4 tesla.

    EXPLANATION:

    • From the above explanation, we can see that the relation between tesla and Weber/m2 is given by:

    1 tesla = 1 Weber/m2

  • Question 22
    2 / -0.33

    The force between two charges is 200 N. If the distance between the charges is doubled, the force will be _______.

    Solution

    Concept:

    Coulomb's law:

    It states that the magnitude of the electrostatic force F between two point charges q1 and q2 is directly proportional to the product of the magnitudes of charges and inversely proportional to the square of the distance r between them.

    • It is represented mathematically by the equation:

  • Question 23
    2 / -0.33

    In the magnetic circuit shown below, what is the flux density produced if the relative permeability of the core material under the given condition is 1000?

    Solution

    Concept:

    Magnetic Field Strength (H): the amount of magnetizing force required to create a certain field density in certain magnetic material per unit length.

    The intensity of Magnetization (I): It is induced pole strength developed per unit area inside the magnetic material.

    The net Magnetic Field Density (Bnet) inside the magnetic material is due to:

    • Internal factor (I)
    • External factor (H)

    ∴ Bnet ∝  (H + I)

    Bnet = μ0(H + I) …. (1)

    Where μ0 is absolute permeability.

    Note: More external factor (H) causes more internal factor (I).

    ∴ I ∝  H

    I = KH …. (2)

    And K is the susceptibility of magnetic material.

    From equation (1) and equation (2):

    Bnet = μ0(H + KH)

    Bnet = μ0H(1 + K) …. (3)

    Dividing equation (3) by H on both side

  • Question 24
    2 / -0.33
    Two microwave signals having frequency 13 GHz and 18 GHz are transmitted through an dielectric filled waveguide (εr = 4) operating at TM21 mode. If the waveguide is 200 m long and dimension 2.5 cm × 1 cm, the time delay between two signals at the other end of waveguide is ________ ns.
    Solution

    In a waveguide the EM energy (signals) travel at the speed equal to group velocity:

    \({V_g} = {\frac{c}{\sqrt\epsilon_r}}\sqrt {{{1-\left( {\frac{{{f_c}}}{f}} \right)}^2}}\)

    \({f_c} = \frac{c}{{\sqrt 4 \times 2 \times {{10}^{ - 2}}}}\sqrt {{{\left( {\frac{2}{{2.5}}} \right)}^2} + {{\left( {\frac{1}{1}} \right)}^2}}\)

    = 9.6 GHz

    For 13 GHz pulse

    \({v_g} = {\frac{3}{2}} \times {10^8}\sqrt {1 - {{\left( {\frac{{9.6}}{{13}}} \right)}^2}}\)

    = 1.01 × 108m/s

    For 18 GHz pulse

    \({v_g} = {\frac{3}{2}} \times {10^8}\sqrt {1 - {{\left( {\frac{{9.6}}{{18}}} \right)}^2}}\)

    = 1.27 × 108m/s

    The time delay between two pulses at the end of 200 m tunnel is

    \({\rm{\Delta }}t = \frac{{200}}{{1.01 \times {{10}^8}}} - \frac{{200}}{{1.27\times {{10}^8}}}\)

    ≃ 405.39 ns
  • Question 25
    2 / -0.33

    Find H = ___________ A/m at the center of a circular coil of diameter 1 m and carrying a current of 2 A.

    Solution

    Concept:

    The magnetic field intensity (H) of a circular coil is given by

Self Studies
User
Question Analysis
  • Correct -

  • Wrong -

  • Skipped -

My Perfomance
  • Score

    -

    out of -
  • Rank

    -

    out of -
Re-Attempt Weekly Quiz Competition
Self Studies Get latest Exam Updates
& Study Material Alerts!
No, Thanks
Self Studies
Click on Allow to receive notifications
Allow Notification
Self Studies
Self Studies Self Studies
To enable notifications follow this 2 steps:
  • First Click on Secure Icon Self Studies
  • Second click on the toggle icon
Allow Notification
Get latest Exam Updates & FREE Study Material Alerts!
Self Studies ×
Open Now