Self Studies

Design of Machine Elements Test 2

Result Self Studies

Design of Machine Elements Test 2
  • Score

    -

    out of -
  • Rank

    -

    out of -
TIME Taken - -
Self Studies
Weekly Quiz Competition
  • Question 1
    2 / -0.33

    For a plate with an elliptical hole subjected to tensile stress, σ as shown in the figure, the maximum tensile stress at point P is

    Solution

    Concept:

    Maximum Tensile stress at point P is \(= {\sigma _0}\left( {1 + \frac{{2a}}{b}} \right)\)

    where \(\left( {1 + \frac{{2a}}{b}} \right)\) is Theoretical stress concentration factor.

    From figure it is clear that a > b

    \(\therefore 1 + \frac{{2a}}{b} > 3\)

    Hence maximum tensile stress in more than 3σ.

    If a = b then the stress at point P will be equal to 3 times the applied stress.

  • Question 2
    2 / -0.33

    Two plates are joined together by means of single transverse and double parallel fillet welds as shown in figure given above. If the size of fillet is 5 mm and allowable shear load per mm is 300 N, what is the approximate length of each parallel fillet?

    Solution

    300 × (100+ 2l) = 15000 or l = 200

  • Question 3
    2 / -0.33
    A ball bearing is anticipated to have a life of 400 M. Rev (Mega Revolutions) under an equivalent load of 10 kN, with reliability of 90%.  Now,
    Solution

    Concept:

    \(\mathop L\nolimits_{90} = \mathop {\left( {\frac{C}{P}} \right)}\nolimits^k \)

    L90 = Life of the bearing for 90% reliability

    C= Basic dynamic capacity

    P = Equivalent load

    k = 3 for ball bearing

    For 90% reliability,

    Given, P1 = 10 kN, P2 = 22kN, L1 = 400 M.Rev

    \(\begin{array}{l} \frac{{\mathop L\nolimits_2 }}{{\mathop L\nolimits_1 }} = \mathop {\left( {\frac{{\mathop P\nolimits_1 }}{{\mathop P\nolimits_2 }}} \right)}\nolimits^3 \\ \mathop L\nolimits_2 = 400\mathop {\left( {\frac{{10}}{{22}}} \right)}\nolimits^3 \end{array}\)

    L2 = 37.565 M.Rev

    For 60% reliability under an equivalent load of 22 kN

     

    \(\frac{L}{{\mathop L\nolimits_{90} }} = \mathop {\left( {\frac{{\ln \left( {\frac{1}{R}} \right)}}{{ln\left( {\frac{1}{{\mathop R\nolimits_{90} }}} \right)}}} \right)}\nolimits^{\frac{1}{{1.17}}} \)

    \(\frac{L}{{37.565}} = \mathop {\left( {\frac{{\ln \left( {\frac{1}{{0.6}}} \right)}}{{ln\left( {\frac{1}{{0.9}}} \right)}}} \right)}\nolimits^{\frac{1}{{1.17}}} \)

    L=144.79 M.Rev

     

  • Question 4
    2 / -0.33
    A natural feed journal bearing of diameter 50 mm and length 50 mm operating at 20 revolution/second carries a load of 2.0 kN. The lubricant used has a viscosity of 20 mPa s. The radial clearance is 50 μm. The Sommerfield number for the bearing is
    Solution

    Given that :

    Radial clearance, λ = 50 μm

    Load, F = 2 kN, N = 20 rps 

    diameter, d = 50 mm

    viscosity, μ = 20 mPa-s

    length, L = 50 mm                 

     

    \(P = \frac{F}{A} = \frac{F}{{L \times d}} \\= \frac{{2000}}{{50 \times 50}} = 0.8\;\frac{N}{{m{m^2}}}\)

    sommerfield number

    \(Z = \frac{{\mu N}}{P}{\left( {\frac{r}{\lambda}} \right)^2}\)

    \(= \frac{{\left( {20 \times {{10}^{ - 3}}} \right) \times 20}}{{\left( {0.8 \times {{10}^6}} \right)}} \times {\left( {\frac{{25\times10^{-3}}}{{50\times10^{-6}}}} \right)^2}\)

    = 0.125

  • Question 5
    2 / -0.33

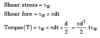
    A circular rod of diameter d is welded to a flat plate along its circumference by fillet weld of thickness t. Assuming τw as the allowable shear stress for the weld material, what is the value of the safe torque that can be transmitted?

    Solution

  • Question 6
    2 / -0.33
    In the multiple disc clutch, if there are 6 discs on the driving shaft and 5 discs on the driven shaft, then the number of pairs of contact surfaces will be equal to
    Solution

    Concept:

    Number of pair in contact, N = n1 + n2 – 1

    where n1 is the number of discs on driving shaft and n2 is the number of discs on the driven shaft.

    Calculation:

    Given:

    n1 = 6, n2 = 5

    N = 6 + 5 – 1 ⇒ 10
  • Question 7
    2 / -0.33
    A belt having dimensions 25cm × 1.25cm has the ratio of tension 2 and maximum permissible tension is 150 N/cm2. The weight of belt material is 1400 N/m. The maximum power that can be transmitted (in kW) is
    Solution

    Given that,

    \(\frac{{{T_1}}}{{{T_2}}} = 2\),

    \({T_{max}} = 150\ N/c{m^2} = 150 \times 31.25 = 4687.5\ N\)

    For Maximum power, velocity of belt

    \(V = \sqrt {\frac{T_{max}}{{3 \times m}}} =\sqrt {\frac{{4687.5 \times 9.81}}{{3 \times 1400}}} = 3.308\ m/sec\)

    For maximum power

    \({T_c} = \frac{{{T_{max}}}}{3} = \frac{{4687.5}}{3} = 1562.5\ N\)

    Power transmitted \(= \left( {{T_1} - {T_2}} \right)V\)

    \(\left( {{T_1} - \frac{{{T_1}}}{2}} \right)V = {T_1}\left( {1 - \frac{1}{2}} \right)V = \left( {{T_{max}} - {T_c}} \right)\left( {1 - \frac{1}{2}} \right)V \)

    \(= \left( {{4687.5} - {1562.5}} \right)\left( {1 - \frac{1}{2}} \right)3.308= 5168.75 W = 5.168 kW \)

  • Question 8
    2 / -0.33
    A rectangular key of 14mm width, 8 mm height and a shaft of 30 mm diameter made up of same material. If the stress concentration is neglected, then the necessary length of the key for the equal shear strength of shaft and key (in mm), will be__
    Solution

    Given that, w = 14 mm, t = 8 mm, d = 30 mm

    \({\tau _{shaft}} = \frac{{16T}}{{\pi {d^3}}} = {\tau _{key}}\)

    Torque in the key for shear failure, is given by

    \(\begin{array}{l}T = {\tau _{key}} \times l \times w \times \frac{d}{2} \Rightarrow T = \frac{{16T}}{{\pi {d^3}}} \times l \times w \times \frac{d}{2}\\ \Rightarrow l = \frac{{\pi {d^3}}}{{8 \times wd}} \Rightarrow l = \frac{{\pi \times {{\left( {30} \right)}^3}}}{{8 \times 14 \times 30}} = 25.25\ mm\end{array}\)

  • Question 9
    2 / -0.33

    A circular solid rod of diameter d welded to a rigid flat plate by a circular fillet weld of throat thickness t is subjected to a twisting moment T. The maximum shear stress induced in the weld is

    Solution

  • Question 10
    2 / -0.33

    The permissible stress in a filled weld is 100 N/mm2. The fillet weld has equal leg lengths of 15 mm each. The allowable shearing load on weldment per cm length of the weld is

    Solution

    Load allowed = 100 x 0.707 x 10 x15 = 10.6 kN

  • Question 11
    2 / -0.33
    A rotating beam test specimen is subjected to alternating stress between 100 MPa and -130 MPa. Then which of the following statements are true?
    Solution

    Concept:

    \(\begin{array}{l} \mathop \sigma \nolimits_{\max } = 100MPa\\ \mathop \sigma \nolimits_{\min } = - 130MPa \end{array}\)

    Stress ratio = \(\frac{{\mathop \sigma \nolimits_{\min } }}{{\mathop \sigma \nolimits_{\max } }} = \frac{{ - 130}}{{100}} = - 1.3\)

    Variable stress(\(\mathop \sigma \nolimits_v \) = \(\frac{{\mathop \sigma \nolimits_{\max } - \mathop \sigma \nolimits_{\min } }}{2} = \frac{{100 - ( - 130)}}{2} = 115MPa\)

    Mean stress \(\mathop \sigma \nolimits_m \)\(\frac{{\mathop \sigma \nolimits_{\max } + \mathop \sigma \nolimits_{\min } }}{2} = \frac{{100 + ( - 130)}}{2} = - 15MPa\)

    Amplitude ratio = \(\frac{{\mathop \sigma \nolimits_v }}{{\mathop \sigma \nolimits_m }} = \frac{{115}}{{ - 15}} = \frac{{ - 23}}{3}\)

  • Question 12
    2 / -0.33

    A key connecting a flange coupling to a shaft is likely to fail in

    Solution

    Shear is the dominant stress on the key

  • Question 13
    2 / -0.33
    A 4 meter long solid circular cylindrical shaft transmits 1600 kW at 500 rpm. The endurance limit of the material is 210 MPa and a factor of safety of 3 is to be used with respect to fatigue failure. Use G = 77.5 GPa. The design diameter ‘D’ of the shaft in metre is
    Solution

    Concept:

    The power transmitted by the shaft is, \(P=\frac{2\pi NT}{60}\)

    where, N = rpm of the shaft, T = torque transmitted by shaft.

    The shear stress in shaft is, \(τ =\frac{16T}{\pi d^3}\)...................(1)

    Apply Soderburg theory for ductile material, \(\frac{τ _m}{τ _{yt}}+\frac{τ _v}{τ _{e}}=\frac{1}{FOS}\)....................(2)

    where, τm = mean shear stress, τv = variable shear stress, τyt = yield strength, τe = endurance limit of the material, N = factor of safety

    Calculation:

    Given:

    Mean stress:

    \(τ _m=\frac{τ~+~(-τ)}{2}=0\)

    Variable stress:

     \(τ _v=\frac{τ~+~(τ)}{2}=τ\)

    τe = 0.5σe = 0.5 × 210 = 105 N/mm2, FOS = 3, P = 1600 kW, N = 500 rpm 

    Therefore, from equation (2), \(\frac{τ_v}{105}=\frac{1}{3}\)

    Therefore, τ = 35 N/mm2

    Torque:

    \(T=\frac{60~×~1600~×10^3}{2\pi~×~500}=\frac{96000}{\pi}~N-m\)

    Shear stress:

    From equation (1), \(τ =\frac{16T }{\pi d^3}\)

    ⇒ \(d=(\frac{16T}{\pi \tau})^\frac{1}{3}\) ⇒ \(d=(\frac{16~×~96000}{\pi^2 ~×~35~×~10^6})^\frac{1}{3}\)

    \(d=3\sqrt {\frac{{96}}{{4375{\pi ^2}}}} \)

  • Question 14
    2 / -0.33
    Radial load acting on a ball bearing is 2500 N for the first five revolutions and reduces to 1500 N for the next ten revolutions. The load variations then repeat itself. The expected life of the bearing is 20 million revolutions. The dynamic load capacity of the bearing is _________ N.
    Solution

    Concept:

    The equivalent load for a cyclic loading condition is given by:

    \({P_e} = \sqrt[3]{{\frac{{{N_1}{P_1}^3 + {N_2}{P_2}^3}}{{{N_1} + {N_2}}}}}\)

    The load capacity can be determined by:

    \(L\left( {in\;million\;rev} \right) = {\left( {\frac{C}{F}} \right)^3}\)

    Calculation:

    Given, N1 = 5 rev, N2 = 10 rev, P1 = 2500 N, P2 = 1500 N

    \({P_e} = \sqrt[3]{{\frac{{{N_1}{P_1}^3 + {N_2}{P_2}^3}}{{{N_1} + {N_2}}}}} = \sqrt[3]{{\frac{{5 \times {{2500}^3} + 10 \times {{1500}^3}}}{{5 + 10}}}} = 1953.8\;N\)

    \(20 = {\left( {\frac{C}{{1953.8}}} \right)^3} \Rightarrow C = {\left( {20} \right)^{\frac{1}{3}}} \times 1953.8 = 5303.43\;N\;\)

  • Question 15
    2 / -0.33

    In the assembly of pulley, key and shaft

    Solution

    Key is made the weakest so that it is cheap and easy to replace in case of failure.

  • Question 16
    2 / -0.33

    A rectangular steel plate is joined to a vertical post using four identical rivets arranged as shown below in the figure. The shear load on the worst loaded rivet (in N) approximately is

    Solution

    Concept:

    Let PP be the primary shear force on the rivet.

    And Ps be the secondary shear force on the rivet.

    Resultant shear force is \({R^2} = P_s^2 + P_P^2 + 2{P_s}{P_P}\cos 45 \)

    Calculation:

    Given:

    Primary shear force,

    PP1 = PP2 = PP3 = PP4

    Primary shear on one rivet

    \({P_p} = \frac{{840}}{4} = 210\;N\)

    For secondary shear force,

    Secondary shear on top right corner rivet

    The distance between the center of 4 rivets and the rivet on the top right corner is given as

    \(r = \sqrt {{{30}^2} + {{30}^2}} = 30\sqrt 2 \) mm

    Taking moment about the center of 4 rivets, we get

    \(840 \times 300 = \left( {{P_s} \times 30\sqrt 2 } \right) \times n\)

    \(840 \times 300 = \left( {{P_s} \times 30\sqrt 2 } \right) \times 4\)

    Ps = 1484.92 N

    The angle between primary and secondary shear is given as θ = 45°

    Resultant shear force on C is given by

    \({R^2} = P_8^2 + P_P^2 + 2{P_s}{P_P}\cos 45 = 17\;kN\)

    \({R^2} = {1484.92^2} + {210^2} + 2 \times 1484.92 \times 210\cos 45\)

    \({R^2} = 2690086.15\;N\)

    R = 1640.148 N

    So, the shear load on the worst loaded rivet (1 or 2) is 1640 N

  • Question 17
    2 / -0.33

    The ratio of the diameter of rivet hole to the pitch of the rivet is 0.25, then the tearing efficiency of the joint is

    Solution

    Concept:

    \({\eta _{tearing}} = \frac{{\left( {P - d} \right)t \times \frac{{{S_y}t}}{{FOS}}}}{{pt \times \frac{{{S_y}t}}{{FOS}}}}\)

    \({\eta _{tearing}} = \frac{{\left( {P - d} \right)t}}{{Pt}}\)

    Calculation:

    Given:

     \(\frac{d}{P} = 0.25\)

    \({\eta _{tearing}} = \frac{{P - d}}{P}\)

    \({\eta _{tearing}} = 1 - \frac{d}{P}\)

    ∴ ηtearing = 1 – 0.25

    ηtearing = 0.75 = 75%

  • Question 18
    2 / -0.33

    Which one of the following statements is correct?

    While designing a parallel sunk key it is assumed that the distribution of force along the length of the key

    Solution

    Parallel sunk key. The parallel sunk keys may be of rectangular or square section uniform in width and thickness throughout. It may be noted that a parallel key is a taperless and is used where the pulley, gear or other mating piece is required to slide along the shaft. In designing a key, forces due to fit of the key are neglected and it is assumed that the distribution of forces along the length of key is uniform.

  • Question 19
    2 / -0.33

    A single parallel fillet weld of total length L and weld size h subjected to a tensile load P, will have what design stress?

    Solution

  • Question 20
    2 / -0.33
    A clutch has outer and inner radius of 50 mm and 20 mm respectively. The pressure at inner radius is 2 MPa and coefficient of friction is 0.4. Assuming uniform wear theory, which of the following statements are true?
    Solution

    Concept:

    In uniform wear theory, Pr = constant

    Calculation:

    Given:

    R0 = 50 mm, Ri = 20 mm

    \(\mu \) = 0.4

    Now,

    Torque transmitted

    \(T = \int\limits_{\mathop R\nolimits_i }^{\mathop R\nolimits_0 } {\mu P(2\pi r)rdr} \)

    \(\begin{array}{l} T = \mathop P\nolimits_i \mathop R\nolimits_0 \int\limits_{\mathop R\nolimits_i }^{\mathop R\nolimits_0 } {\mu (2\pi )rdr} \\ = \mathop P\nolimits_i \mathop R\nolimits_0 \mu (2\pi )\left( {\frac{{\mathop R\nolimits_0^2 - \mathop R\nolimits_i^2 }}{2}} \right)\\ = 2 \times 50 \times 0.4 \times 2\pi \times \left( {\frac{{\mathop {0.05}\nolimits^2 - \mathop {0.02}\nolimits^2 }}{2}} \right)\\ = 263.89Nm \end{array}\)

    \(\begin{array}{l} W = \int\limits_{\mathop R\nolimits_i }^{\mathop R\nolimits_0 } {P(2\pi )rdr} \\ = \mathop P\nolimits_i \mathop R\nolimits_0 (2\pi )(\mathop R\nolimits_0 - \mathop R\nolimits_i )\\ = 2 \times 50 \times 2\pi \times 30\\ = 18.849kN \end{array}\)

  • Question 21
    2 / -0.33
    A shaft of diameter D is subjected to a fluctuating torque of 200 Nm to 600 Nm. By assuming factor of safety (FOS) = 2.5, Syt = 200 MPa, Sut = 400 MPa, Kt = 2, q = 0.8, which of the following statements are true?
    Solution

    Concept:

    Given:

    Tmin = 200 Nm, Tmax = 600 Nm, Factor of safety (N) = 2.5

    Syt = 200 MPa, Sut = 400 MPa, Kt = 2, q = 0.8

    Calculation:

    Tm \(\frac{{200 + 600}}{2} = 400\) N.m

    Tv = 400 - 200 = 200 N.m

    \(\begin{array}{l} \mathop K\nolimits_f = 1 + q\left( {\mathop K\nolimits_t - 1} \right)\\ \mathop K\nolimits_f = 1 + 0.8\left( {2 - 1} \right) = 1.8 \end{array}\)

    \(\begin{array}{l} \mathop \tau \nolimits_m = \frac{{16\mathop T\nolimits_m }}{{\pi \mathop D\nolimits^3 }} = \frac{{16 \times 400}}{{\pi \mathop D\nolimits^3 }}\\ \mathop \tau \nolimits_v = \frac{{16\mathop T\nolimits_v }}{{\pi \mathop D\nolimits^3 }} = \frac{{16 \times 200}}{{\pi \mathop D\nolimits^3 }} \end{array}\)

    \(\begin{array}{l} \mathop \tau \nolimits_e = \mathop \sigma \nolimits_e^ * \mathop K\nolimits_a \mathop K\nolimits_b \mathop K\nolimits_c \\ \mathop \tau \nolimits_e = 0.5\mathop S\nolimits_{ut} \mathop K\nolimits_a \mathop K\nolimits_b \mathop K\nolimits_c \\ \mathop \tau \nolimits_e = 200MPa \end{array}\)(Assume Ka = Kb = Kc = 1, Since they are not given)

    \(\mathop \tau \nolimits_{ys} = \mathop S\nolimits_{ys} = 0.5 \times \mathop S\nolimits_{yt} = 100MPa\)

    \(\begin{array}{l} \frac{1}{N} = \frac{{\mathop \tau \nolimits_m }}{{\mathop \tau \nolimits_{ys} }} + \left( {\frac{{\mathop \tau \nolimits_v }}{{\mathop \tau \nolimits_e }}} \right)\mathop k\nolimits_f \\ \frac{1}{{2.5}} = \frac{{\left( {16 \times 400} \right)}}{{\pi \mathop D\nolimits^3 (100)}} + \left( {\frac{{16 \times 200 \times 1.8}}{{\pi \mathop D\nolimits^3 (200)}}} \right)\\ D = 41.95mm \end{array}\)

    Equivalent shear stress = \(\frac{{\mathop \tau \nolimits_{ys} }}{N} = \frac{{100}}{{2.5}} = 40MPa\)

  • Question 22
    2 / -0.33

    The bolts in a rigid flanged coupling connecting two shafts transmitting power are subjected to

    Solution

    The bolts are subjected to shear and bearing stresses while transmitting torque.

  • Question 23
    2 / -0.33

    A disk clutch is required to transmit 5 kW at 2000 rpm. The disk has a friction lining with coefficient of friction equal to 0.25. Bore radius of friction lining is equal to 25 mm. Assume uniform contact pressure of 1 MPa. The value of outside radius of the friction lining is

    Solution

  • Question 24
    2 / -0.33

    The ratio of tension on the tight side to that on the slack side in a flat belt drive is

    Solution

  • Question 25
    2 / -0.33

    A spur gear has a module of 3mm, number of teeth 16, a face width of 36 mm and a pressure angle of 20°. It is transmitting a power of 3kW at 20rev/s. taking a velocity factor of 1.5 and a form factor of 0.3, the stress in the gear is about

    Solution

    Given : m = 3 mm, Z = 16, b = 36 mm, ϕ = 20°, 3 kW, n = 20 rev/s, CV = 1.5, y = 0.3

    Lewis equation for beam strength :

    Sb = mbσb γ

    Where Sb is beam strength of gear tooth (N), σb is permissible bending stress (N/mm2) and Y is Lewis form factor

    As Sb = m.b.σb.γ

    Where Sb is beam strength of gear tooth (N), σb is permissible bending stress (N/mm2) and Y is Lewis form factor

    As \(F=P/v; \\v=\frac{πDN}{60\times1000} =\frac{πDn}{1000};\\ m=\frac DZ⇒D=mZ\)

    \(S_b=\frac{P}{\frac{πDn}{1000}} = \frac{3000}{\frac{π.mZ.n}{1000}}=\frac{3000}{\frac{π\times3\times16\times20}{1000}}=994.72 N\)

    \(σ_b=\frac{S_b}{m.b.y}=\frac{994.72}{3×36×0.3}=30.70 N/mm^2 \)

    Permissible working stress (by considering dynamic load)

    σW = σb × CV = 30.70 × 1.5 = 46.05 N/mm2

Self Studies
User
Question Analysis
  • Correct -

  • Wrong -

  • Skipped -

My Perfomance
  • Score

    -

    out of -
  • Rank

    -

    out of -
Re-Attempt Weekly Quiz Competition
Self Studies Get latest Exam Updates
& Study Material Alerts!
No, Thanks
Self Studies
Click on Allow to receive notifications
Allow Notification
Self Studies
Self Studies Self Studies
To enable notifications follow this 2 steps:
  • First Click on Secure Icon Self Studies
  • Second click on the toggle icon
Allow Notification
Get latest Exam Updates & FREE Study Material Alerts!
Self Studies ×
Open Now