Self Studies

Heat Transfer Test 1

Result Self Studies

Heat Transfer Test 1
  • Score

    -

    out of -
  • Rank

    -

    out of -
TIME Taken - -
Self Studies

SHARING IS CARING

If our Website helped you a little, then kindly spread our voice using Social Networks. Spread our word to your readers, friends, teachers, students & all those close ones who deserve to know what you know now.

Self Studies Self Studies
Weekly Quiz Competition
  • Question 1
    2 / -0.33

    An insulating material with a thermal conductivity, k = 0.12 W/mK is used for a pipe carrying steam. The local coefficient of heat transfer (h) to the surroundings is 4 W/m2K. In order to provide effective insulation, the minimum outer diameter of the pipe should be

    Solution

    Concept:

    In order to provide effective insulation, the radius of insulation must be greater than the critical radius of insulation as at a critical radius of insulation maximum heat loss takes place.

    The critical radius of insulation for a cylindrical pipe \({r_c} = \frac{k}{h}\)

    Where k is the thermal conductivity of the insulating material and h is the heat transfer coefficient of the surrounding medium.

    Critical radius for sphere is given by \({r_c} = \frac{{2k}}{h}\)

    Calculation:

    Given, k = 0.12 W/mK, h = 4 W/m2K,

    Critical radius = \({r_c} = \frac{k}{h} = \frac{{0.12}}{4} = 0.03\;m = 30\;mm\)

    Minimum diameter = 2 × radius = 60 mm
  • Question 2
    2 / -0.33

    The view factors F12 and F21, for the sphere of diameter d and a cubicle box of length l = d as shown in the figure, respectively, are

    Solution

    Concept:

    Shape Factor is defined as the fraction of radiation energy leaving a surface that reaches another surface, for example, F12 means the fraction of energy leaving the surface 1 reaches surface 2.

    Summation Rule: F11 + F12 = 1

    Reciprocity theorem: A1 F12 = A2 F21 (A is the surface area)

    Area of cube of side a = 6a2

    Area of circle of diameter d = (π/4)d2

    Calculation:

    Since the sphere is completely enclosed by the cube therefore,

    F12 = 1

    By Reciprocal theorem,

    A1 F12 = A2 F21

    \(\begin{array}{l} 4\;π {\left( {\frac{d}{2}} \right)^2} \times 1 = 6 {d^2} \times{F_{21}}\\ {F_{21}} = \frac{π }{6} \end{array}\)

  • Question 3
    2 / -0.33
    The heat conduction equation for 3D, steady state without heat generation is,
    Solution

    Concept:

    3D, steady, state heat equation without heat generation

    \(\frac{{{\partial ^2}T}}{{\partial {x^2}}} + \frac{{{\partial ^2}T}}{{\partial {y^2}}} + \frac{{{\partial ^2}T}}{{\partial {z^2}}} = 0\)

    \({\nabla ^2}T = 0\) ⇒ Laplace equation

    Points to remember

    \({\nabla ^2}T + \frac{q}{k} = 0 \Rightarrow\) Poisson equation

    \({{\rm{\Delta }}^2}T = \frac{1}{\alpha }\frac{{\partial T}}{{\partial t}}\) ⇒ Fourier equation

  • Question 4
    2 / -0.33
    A fin is exposed to an environment where h1 = 25 W/m2K. The effectiveness of the fin is ϵ1. If the surrounding medium is changed and the value of changed h2 = 10 W/m2K, the effectiveness is ϵ2. The ratio \(\frac{{{\epsilon }_{1}}}{{{\epsilon }_{2}}}\) is ________
    Solution

    Concept:

    For a fin, effectiveness \(\epsilon =\sqrt{\frac{kP}{hA}}\)

    \(\varepsilon \propto \;\frac{1}{{\sqrt h }}\; \Rightarrow \;\frac{{{\varepsilon _1}}}{{{\varepsilon _2}}} = \sqrt {\frac{{{h_2}}}{{{h_1}}}} \)

    Calculation:

    h1 = 25 W/m2K, h2 = 10 W/m2K

    \(\frac{{{\varepsilon _1}}}{{{\varepsilon _2}}} = \sqrt {\frac{{{h_2}}}{{{h_1}}}} = 0.632\)
  • Question 5
    2 / -0.33
    If the average Stanton number of a flow system is 5.585×10-3 and Prandtl number is 0.7, the skin friction coefficient is _____×10-3
    Solution

    Concept:

    \(\left( {St} \right) \cdot {\left( {Pr} \right)^{\frac{2}{3}}} = \frac{{{C_{{f_x}}}}}{2}\)

    Calculation:

    \({C_{{f_x}}} = 2 \cdot \left( {St} \right) \cdot {\left( {Pr} \right)^{2/3}}\)

    \({C_{{f_x}}} = 2\left( {5.585 \times {{10}^{ - 3}}} \right){\left( {0.7} \right)^{2/3}}\)

    \({C_{{f_x}}} = 8.806 \times {10^{ - 3}}\)
  • Question 6
    2 / -0.33
    The temperature variation in a body with negligible temperature gradient in unsteady state heat conduction is______
    Solution

    Concept:

    Negligible temperature gradient in bodies refer and unsteady state conduction refer to transient analysis or lumped system analysis.

    As we know for such analysis the temperature distribution is

    \(\frac{{T - {T_\infty }}}{{{T_i} - \;{T_\infty }}} = {e^{ - \frac{{hAt}}{{\rho VC}}}}\)

    Where, h = convective heat transfer coefficient, k = coefficient of thermal conductivity

    L = characteristic length of the body equal to volume upon area.

    A = area of face through which heat transfer occurs, t = time in seconds

    C = specific heat (J/kgK), ρ = density

    Ti, T∞ = initial temperature and surrounding temperature respectively.

    = temperature at time ‘t’

    ∴ The correct answer is exponential.

  • Question 7
    2 / -0.33

    Match the following.

    List 1 (Type of wall)

    List 2(Temperature distribution)

    1. Plane wall

    a. Logarithmic

    2. Cylindrical wall

    b. hyperbolic

    3. Spherical wall

    c. parabolic

     

    d. straight line

     

    e. exponential

    Solution

    Geometry

    Temperature Profile

    Nature

    Heat conduction equation

    Plane wall

    \(\frac{{T - {T_1}}}{{{T_2} - {T_1}}} = \frac{x}{L}\)

    Linear

    \(Q = \frac{{\left( {{T_1} - {T_2}} \right)}}{{\frac{L}{{kA}}}}\)

    Hollow cylinder

    \(\frac{{T - {T_1}}}{{{T_2} - {T_1}}} = \frac{{ln\left( {\frac{r}{{{r_1}}}} \right)}}{{ln\left( {\frac{{{r_2}}}{{{r_1}}}} \right)}}\)

    Logarithmic

    \(Q = \frac{{\left( {{T_1} - {T_2}} \right)}}{{\frac{{In\left( {\frac{{{r_2}}}{{{r_1}}}} \right)}}{{k\left( {2\pi L} \right)}}}}\)

    Hollow sphere

    \(\frac{{T - {T_1}}}{{{T_2} - {T_1}}} = \frac{{\frac{1}{{{r_1}}} - \frac{1}{r}}}{{\frac{1}{{{r_1}}} - \frac{1}{{{r_2}}}}}\)

    Hyperbolic

    \(Q = \frac{{\left( {{T_1} - {T_2}} \right)}}{{\frac{{\left( {{r_2} - {r_1}} \right)}}{{4\pi {r_1}{r_2}k}}}}\)

  • Question 8
    2 / -0.33
    A grey body (ϵ = 0.8) emits the same amount of heat as black body at 1075 K. Find out the required temperature of the grey body
    Solution

    Concept:

    Emissive power of a black body (ϵ = 1):

    Eb = σAT4 W

    Emissive power of a real surface (ϵ < 1):

    E = ϵσAT4 W

    Where σ = Stefan Boltzmann constant

    σ = 5.67 × 10-8 W/ m2 K4

    Calculation:

    Given: ϵ = 0.8, Tb = 1075 K, Tg = ?

    Since the black and grey body are emitting the same amount of radiation:

    Eb = Eg

    σTb4 = ϵσTg4

    \({\left( {\frac{{{T_g}}}{{{T_b}}}} \right)^4} = \frac{1}{\epsilon} = \frac{1}{{0.8}} = 1.25\)

    \(\frac{{{T_g}}}{{{T_b}}} = {\left( {1.25} \right)^{\frac{1}{4}}} = 1.0574\)

    Tg = 1.0574 × 1075 = 1136.71 K
  • Question 9
    2 / -0.33
    For transient heat transfer, fourier number is defined as ratio of
    Solution

    Concept:

    • Fourier number is defined as the ratio of heat conducted to heat stored in the system.
    • Also, it is defined as the ratio of operating time to diffusion time.
    • \(Fourier\;No = \frac{{Operating\;time}}{{diffusion\;time}}\)

    \({F_o} = \frac{t}{{\left( {\frac{{L_c^2}}{\alpha }} \right)}}\)

    Where,

    T = operating time, Lc = Characteristic length, α = thermal diffusivity \(\left( {\frac{{{m^2}}}{{sec}}} \right)\)

  • Question 10
    2 / -0.33

    The heat flow rate through parallel walls of thickness L1, L2 and L3, having surface areas A1, A2 and A3, thermal conductivities k1, k2, and k3, respectively, with the first and last walls maintained at temperatures t1 and t2 will be

    Solution

    Concept:

    Making the resistance circuit

    \(\begin{array}{l} {R_{th}} = \frac{{{L_1}}}{{{k_1}{A_1}}} + \frac{{{L_2}}}{{{k_2}{A_2}}} + \frac{{{L_3}}}{{{k_3}{A_3}}}\\ Q = \frac{{{\rm{\Delta }}T}}{{{R_{th}}}}\\ \Rightarrow Q = \frac{{{t_1} - {t_2}}}{{\frac{{{L_1}}}{{{k_1}{A_1}}} + \frac{{{L_2}}}{{{k_2}{A_2}}} + \frac{{{L_3}}}{{{k_3}{A_3}}}}} \end{array}\)

  • Question 11
    2 / -0.33

    For a given heat flow and for the same thickness, the temperature drop across the material will be maximum for

    Solution

    Which one has minimum thermal conductivity that will give maximum temperature drop.

  • Question 12
    2 / -0.33
    The specific heat ratio in a parallel flow heat exchanger is 0.420. The lower capacity rate is 800 W/K and the overall heat transfer coefficient is given as 800 W/m2K. To get the effectiveness of 0.52, what should be the area of heat exchanger (m2)?
    Solution

    Concept:

    Effectiveness for parallel flow heat exchanger,

    \(e = \;\frac{{1 - NTU\left( {1\; + \;C} \right)}}{{1 + C}}\)

    \(NTU = \frac{{UA}}{{{C_{min}}}}\)

    Calculation:

    Cr = 0.420 = Cmin/Cmax

    U = 800 W/m2K

    ε = 0.52

    Cmin = 800 W/K

    \(\varepsilon = \frac{{1 - {e^{ - NTU\left( {1 + C} \right)}}}}{{1 + C}} = 0.52\)

    ⇒ 1 – e-NTU (1.42) = 1.42 × 0.52

    \({\rm{NTU\;}} = {\rm{\;}}0.94{\rm{\;}} = \frac{{UA}}{{{C_{min}}}}\)

    ∴ A = 0.94 m2
  • Question 13
    2 / -0.33

    The temperature distribution along a pin fin was found to varying with distance ‘x’ as:

    T = 6x2 - 5x + 3, where x is in meter.

    Take thermal conductivity of fin material as 0.75 W/m K. The heat transfer from the base of the fin is ____________W/m2. (Correct up to two decimal places)
    Solution

    Concept:

    The heat transfer from the base of the fin is expressed as :

    \(Q = - k{\left( {\frac{{dT}}{{dx}}} \right)_{x = 0}}\)

    Calculation:

    T = 6x2 - 5x + 3

    \(\frac{{dT}}{{dx}} = 12x - 5\)

    \({\left( {\frac{{dT}}{{dx}}} \right)_{x = 0}} = - 5\)

    \(Q = - k{\left( {\frac{{dT}}{{dx}}} \right)_{x = 0}} = 0.75 \times 5 = 3.75\;W/{m^2}\)
  • Question 14
    2 / -0.33

    A fluid of specific gravity 0.97 is being heated in a pipe whose diameter is 20 mm. The fluid flows with a velocity of 2 m/s at 283 K and the convective heat transfer coefficient at the outside surface of the pipe is 12 kW/m2K. If the length of the pipe is 7 m and the properties of water at mean temperature are given as: μ = 4 × 10-4 kg/m-s and Pr = 2.54, then calculate the overall heat transfer coefficient in W/m2K

    (Use k = 0.345 W/mK)
    Solution

    Concept:

    First we will calculate the Reynolds number to determine the type of flow

    \(Re = \frac{{\rho vD}}{\mu }\)

    If the flow is turbulent (which will come in this case) we use the following

    \({\rm{Nusselt\;number\;}}\left( {Nu} \right) = 0.023{\left( {Re} \right)^{0.8}}{\left( {Pr} \right)^{0.4}}\)

    Nu = hid/k

    Overall heat transfer coefficient,

    \(\frac{1}{U} = \frac{1}{{{h_i}}} + \frac{1}{{{h_o}}}\)

     Calculation:

    ρ = 970 kg/m3, D = 20 mm, V = 2m/s, ho = 12000 W/m2k

    μ = 4 × 10-4 kg/m-s, Pr = 2.54

    \(Re = \frac{{\rho VD}}{\mu } = \frac{{970 \times 2 \times 0.02}}{{4 \times {{10}^{ - 4}}}} = 97000\)

    Re > 2300 ⇒ Turbulent flow

    Using, Nu = 0.023 (Re)0.8 (Pr)0.4

    \(\frac{{{h_i}d}}{k} = 0.023\;{\left( {97000} \right)^{0.5}}{\left( {2.54} \right)^{0.4}}\)

    \({h_i} = 325.895 \times \frac{{0.345}}{{0.02}}\)

    \({h_i} = 5621.70\;W/{m^2}k\)

    \({U^{ - 1}} = \frac{1}{{{h_i}}} + \frac{1}{{{h_o}}} = 2.612 \times {10^{ - 4}}\)

    ∴ U = 3828.25 W/m2K
  • Question 15
    2 / -0.33

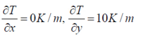
    Steady two-dimensional heat conduction takes place in the body shown in the figure below. The normal temperature gradients over surfaces P and Q can be considered to be uniform. The temperature gradient  at surface Q is equal to 10 k/m. Surfaces P and Q are maintained at constant temperatures as shown in the figure, while the remaining part of the boundary is insulated. The body has a constant thermal conductivity of 0.1 W/m.K. The values of  and  at surface P are:

    Solution

  • Question 16
    2 / -0.33

    A plane wall is 25 cm thick with an area of 1 m2, and has a thermal conductivity of 0.5 W/mK. If a temperature difference of 60°C is imposed across it, what is the heat flow?

    Solution

  • Question 17
    2 / -0.33
    A pin fin of length 40 cm, diameter 2 mm is fabricated of aluminum alloy (k = 140 W/mK). The base temperature of the fin is at 50°C and the surrounding air is at 25°C and h = 1000 W/m2K. The heat transfer rate from the fin assuming an adiabatic tip condition is _______ W.
    Solution

    Concept:

    For an adiabatic/insulated tip condition, the heat transfer from the fin is given as:

    \(Q = \sqrt {hPkA} \left( {{T_b} - {T_\infty }} \right)\tanh \left( {mL} \right)\)

    \(m = \sqrt {\frac{{hP}}{{kA}}} \)

    Calculation:

    L = 40 cm = 0.4 m, D = 0.002 m, k = 140 W/mK, Tb = 50°C, T = 25°C, h = 1000 W/m2K

    \(\frac{P}{A} = \frac{{{\rm{\pi D}}}}{{\frac{{{\rm{\pi }}{{\rm{D}}^2}}}{4}}} = \frac{4}{D}\)

    Fin parameter:

    \(m = \sqrt {\frac{{hP}}{{kA}}} = \;\sqrt {\frac{{4h}}{{kD}}} = \sqrt {\frac{{4 \times 1000}}{{140 \times 0.002}}} = \;119.5\;{m^{ - 1}}\)

    \(Q = \sqrt {hPkA} \left( {{T_b} - {T_\infty }} \right)\tanh \left( {mL} \right)\)

    \(Q = \sqrt {1000 \times \pi \times 0.002 \times 140 \times \frac{{\pi \times {{\left( {0.002} \right)}^2}}}{4}} \left( {50 - 25} \right)\tanh \left( {119.5 \times 0.4} \right)\)

    Q = 1.314 W
  • Question 18
    2 / -0.33
    The local heat transfer coefficient over a flat plate is given as hx = Ax-0.2. Find the ratio of average heat transfer coefficient to the local heat transfer coefficient at x = L.
    Solution

    Concept:

    Average heat transfer coefficient is given as

    \(\bar h = \frac{1}{L}\mathop \smallint \limits_0^L {h_x}dx\)

    Calculation:

    Average heat transfer coefficient

    \(\bar h = \frac{1}{L}\;\mathop \smallint \limits_0^L A{x^{ - 0.2}}dx\)

    \(\bar h = \frac{1}{L}\left[ {\frac{{A{x^{0.8}}}}{{0.8}}} \right]_0^L\)

    h̅ = 1.25 AL-0.2

    Now,

    Local heat transfer coefficient

    hX = Ax-0.2

    at x = L,

    hx=L = AL-0.2

    \(\frac{{\bar h}}{{{h_{x = L}}}} = \frac{{1.25\;A{L^{ - 0.2}}}}{{A{L^{ - 0.2}}}}\)

    \(\therefore \frac{{\bar h}}{{{h_{x = L}}}} = 1.25\)
  • Question 19
    2 / -0.33
    A 100 W electric bulb has filament temperature of 3000° C. Assuming the filament to be black body, calculate the diameter of the wire if the length is 250 mm.
    Solution

    Concept:

    Net radiation heat exchange between two infinitely long concentric cylindrical surfaces:

    \({Q_{1 - 2}}=\frac{{\sigma \left( {T_1^4 - T_2^4} \right){A_1}}}{{\frac{1}{{{\epsilon_1}}} + \frac{{{A_1}}}{{{A_2}}}\left( {\frac{1}{{{\epsilon_2}}} - 1} \right)}}W\)

    When a small body is kept in a large enclosure:

    \({A_1} \ll {A_2} \Rightarrow \frac{{{A_1}}}{{{A_2}}} \approx 0\)

    Q1 - 2 = σ ϵ1 A1 (T14 - T24)

    For steady state condition of the filament:

    Q = σ ϵf Af (Tf4 - T4)

    Calculation:

    Given:

    Q = 100 W, T = 3000° C = 3273 K, L = 250 mm = 0.25 m

    Af = π DL = 025 π D mm2

    Now,

    Q = σ ϵf Af Tf4

    100 = 5.67 × 10-8 × 1 × 0.25 π D × (3273)4 = 5110.4 × 103D

    D = 0.02 × 10-3 m

    ∴ D = 0.02 mm

  • Question 20
    2 / -0.33

    Which one of the following expresses the thermal diffusivity of a substance in terms of thermal conductivity (k), mass density (ρ) andspecific heat (c)?

    Solution

  • Question 21
    2 / -0.33
    In a heat, exchanger steam is condensing at 110˚C and heating the air flowing at 5 kg/s from 20˚C to 75˚C. It is desired to double the airflow at the same time to achieve an air outlet temperature of 75˚C by increasing the steam condensing temperature. The new condensing temperature is ____°C.
    Solution

    Concept:

    For condenser [C = 0]

    Effectiveness (ϵ) = 1 – e-NTU

    Th1 = 110°C, Tc1 = 20°C, Tc2 = 75°C

    Also,

    \(ϵ = \frac{{{T_{c2}} - {T_{c1}}}}{{{T_{h1}} - {T_{c1}}}} = \frac{{75 - 20}}{{110 - 20}} = 0.61111\)

    ∴  We have,

    0.61111 = 1 – e-NTU

    ∴ NTU1 = 0.9445

    \(NT{U_1} = \frac{{UA}}{{{C_{min}}}} = 0.9445\)

    By doubling flow rate,

    \(NT{U_2} = \frac{{UA}}{{2{C_{min}}}} = \frac{{0.9445}}{2} = 0.47225\)

    \(\therefore ϵ = 1 - {e^{ - NT{U_2}}} = 0.3764\)

    \(\therefore ϵ = 0.3764 = \frac{{{T_{c2}} - {T_{c1}}}}{{{T_{h1}} - {T_{c1}}}}\)

    \(0.3764 = \frac{{75 - 20}}{{{T_{h1}} - 20}}\)

    ∴ Th1 = 166.12°C
  • Question 22
    2 / -0.33

    A gray and opaque surface at 0˚C in an environment at 250˚C. The surface has an emissivity of 0.8. If irradiation is 240 W/m2, the radiosity of the surface is ______

    Solution

    Concept:

    Radiosity = leaving energy from surface.

    Radiosity = ρ × G + ϵσ Ts4

    Calculation:

    Given,

    ϵ = 0.8, G = 240 W/m2, Ts = 0°C = 273 K

    For opaque body, τ = 0

    α + ρ = 1

    using kirchoff’s law,

    ϵ = α

    ∴ ρ = (1 - ϵ)

    Radiosity = leaving energy from surface.

    Radiosity = ρ × 240 + ϵσ Ts4

    Radiosity = (1-E) × 240 + 0.8 × 5.67 × 10-8 × (273)4

    Radiosity = 0.2 × 240 + 251.95

    ∴ Radiosity = 299.95 W/m2

  • Question 23
    2 / -0.33

    The ratio of laminar hydrodynamic boundary layer thickness to a thermal boundary layer thickness of 2 fluids A and B on the flat plate is ½ and 2. Reynold's number of both plates is same.

    For plate A: Prandtl number: 1/8, Nusselt number: 35

    Find Prandtl number and Nusselt number of fluid B over a plate.
    Solution

    Concept:

    The relation between hydrodynamic boundary layer thickness (δ) and thermal boundary layer thickness (δT) is given as

    \(\frac{\delta }{{{\delta _T}\;}} = {\left( {Pr} \right)^{1/3}}\)

    The relation between Nusselt number and Prandtl number for laminar flow over a flat plate is

    Nu = F (Re, Pr)

    For constant temperature, boundary condition

    Nu = 0.332 (Re)1/2 (Pr)1/3

    For constant heat flux boundary condition

    Nu = 0.453 (Re)1/2 (Pr)1/3

    Calculation:

    \(\frac{{{{\left( {Nu} \right)}_A}}}{{{{\left( {Nu} \right)}_B}}} = \frac{{\left( {Re} \right)_A^{1/2}\;\left( {Pr} \right)_A^{1/3\;}}}{{\left( {Re} \right)_B^{1/2}\left( {Pr} \right)_B^{1/2}}}\)

    \(\frac{{{{\left( {Nu} \right)}_A}}}{{{{\left( {Nu} \right)}_B}}} = \frac{{\left( {Pr} \right)_A^{1/3}}}{{\left( {Pr} \right)_B^{1/3}}}\)

    \({\left( {Nu} \right)_B} = \frac{{\left( {Pr} \right)_B^{1/3}{{\left( {Nu} \right)}_A}}}{{\left( {Pr} \right)_A^{1/3}}}\)

    \({\left( {Nu} \right)_B} = \frac{{\left( {Pr} \right)_B^{1/3}{{\left( {Nu} \right)}_A}}}{{\left( {Pr} \right)_A^{1/3}}}\)

    Now,

    \({\left( {Pr} \right)_A} = \left( {\frac{\delta }{{\delta T}}} \right)_A^3 = {\left( {\frac{1}{2}} \right)^3} = \frac{1}{8}\)

    \({\left( {Pr} \right)_B} = \left( {\frac{\delta }{{{\delta _T}}}} \right)_B^3 = {\left( 2 \right)^3}\)

    \(\therefore {\left( {Pr} \right)_B} = 8\)

    (Pr)B = 8

    \({\left( {Nu} \right)_B} = \frac{{{{\left( 8 \right)}^{\frac{1}{3}}}}}{{{{\left( {\frac{1}{8}} \right)}^{\frac{1}{3}}}}} \times 35\)

    ∴ (Nu)B = 140
  • Question 24
    2 / -0.33

    Directions For Questions

    Temperature profiles for four cases are shown in the following figures and are labelled A, B, C and D.

    Match the above figures with

    1. High conductivity fluid

    2. Low conductivity fluid

    3. Insulating body

    4. Guard heater

    ...view full instructions

    Select the correct answer using the codes given below:

    Solution

    Ans. (a) Temperature slope is higher for low conducting and lower for high conducting fluid. Thus A is for 1, B for 2. Temperature profile in C is for insulator. Temperature rise is possible only for heater and as such D is for guard heater.

  • Question 25
    2 / -0.33

    A circular horizontal hot plate(Twall = 70˚C) with a diameter of 70 mm is cooled with free convection in the atmosphere at 25˚C. Nusselt number is related to Rayleigh number as, Nu = 0.15 (Ra)1/3, Pr = 0.7, ρ=1.21, ν = 15.52 × 10-6 m2/s, k= 0.02435 W/mK. Find the heat transfer coefficient.

    Solution

    Concept:

    \(Nu = \frac{{h{L_c}}}{k}\)

    \({R_a} = Gr \cdot Pr\)

    \(Gr = \frac{{g\beta \left( {{\rm{\Delta }}T} \right)L_c^3}}{{{\nu ^2}}}\)

    \(\nu = \frac{\mu }{s}\)

    Calculation:

    Given: Pr = 0.7, ρ=1.21, ν = 15.52 × 10-6 m2/s, k= 0.02435 W/mK, Nu = 0.15 (Ra)1/3

    Twall = 70˚C = 343 K, T = 25°C = 298 K and diameter = 70 mm 

    Now,

    Rayleigh number (Ra) = Gr⋅Pr

    \(Gr = \frac{{g\beta \left( {{\rm{\Delta }}T} \right)L_c^3}}{{{\nu ^2}}}\)

    \(\beta = \frac{1}{{\left( {\frac{{{T_s} + {T_∞ }}}{2}} \right)}} = \frac{1}{{\left( {\frac{{343 + 298}}{2}} \right)}} = 0.0031\)

    ΔT = (Ts – T) = (343 - 298) = 45

    \({L_c} = \frac{{Area}}{{Perimeter}} = \frac{{\frac{\pi}{4}{d^2}}}{{\pi d}} = \frac{d}{4}\)

    \({L_c} = \frac{{70\left( {mm} \right)}}{4}\)

    Lc = 0.0175 m

    \(Gr = \frac{{9.81 \times \left( {0.021} \right) \times 45 \times {{\left( {0.0175} \right)}^3}}}{{{{\left( {15.52 \times {{10}^{ - 6}}} \right)}^2}}}\)

    Gr = 30449.06

    Now,

    Ra = Gr.Pr

    Ra = 30449.06 × 0.7 = 21314.34

    Nu = 0.15 (Ra)1/3

    Nu = 4.15

    \(\frac{{h{L_c}}}{{{k_{fluid}}}} = 4.15\)

    \(h = \frac{{7.8693 \times 0.02435}}{{0.0175}}\)

    ∴ h = 5.786 W/m2k
Self Studies
User
Question Analysis
  • Correct -

  • Wrong -

  • Skipped -

My Perfomance
  • Score

    -

    out of -
  • Rank

    -

    out of -
Re-Attempt Weekly Quiz Competition
Self Studies Get latest Exam Updates
& Study Material Alerts!
No, Thanks
Self Studies
Click on Allow to receive notifications
Allow Notification
Self Studies
Self Studies Self Studies
To enable notifications follow this 2 steps:
  • First Click on Secure Icon Self Studies
  • Second click on the toggle icon
Allow Notification
Get latest Exam Updates & FREE Study Material Alerts!
Self Studies ×
Open Now