Self Studies

Mechanical Vibrations Test 1

Result Self Studies

Mechanical Vibrations Test 1
  • Score

    -

    out of -
  • Rank

    -

    out of -
TIME Taken - -
Self Studies
Weekly Quiz Competition
  • Question 1
    2 / -0.33

    The displacement of particle undergoing S.H.M. follows the equation

    where y is displacement in cm and t is the time. The maximum acceleration of the particle is approximately.

    Solution

  • Question 2
    2 / -0.33

    A mass of 100 kg is held between two springs as shown in figure. The natural frequency of vibration of the system in cycles/second is

    Solution

    Concept:

    ∴ Natural frequency 

    \(\omega_n = \sqrt {\frac{{{k_{eq}}}}{m}} \)

    \(f= \frac{1}{{2\pi }}\sqrt {\frac{{{k_{eq}}}}{m}} \)

    Calculation:

    Given: k1 = k2 = 20 kN/m, m = 100 kg

    This combination is a case of parallel combination.

    keq = k1 + k2 = 40 kN/m = 40000 N/m

    \(f= \frac{1}{{2\pi }}\sqrt {\frac{{{k_{eq}}}}{m}} \)

    \(= \frac{1}{{2\pi }}\sqrt {\frac{{40 \times {{10}^3}}}{{100}}} = \frac{{20}}{{2\pi }} = \frac{{10}}{\pi }\;Hz\)

  • Question 3
    2 / -0.33
    A vibrating system consists of a mass of 50 kg, a spring with a stiffness of 30 kN/m and a damper. The damping provided is only 20% of the critical value. Determine the natural frequency of damped vibration.
    Solution

    Concept:

    \( {ω _d} = {ω _n}\sqrt {1 - {ξ ^2}} \)

    where, ωn = natural frequency, ξ = damping ratio

    Calculation:

    Given: C = 0.2 Cc , mass (m) = 50 kg, stiffness (k) = 30 kN/m

    \(ξ = \frac{C}{{{C_c}}} = 0.2\)

    \({ω _n} = \sqrt {\frac{k}{m}} = \sqrt {\frac{{30 \times {{10}^3}}}{{50}}} = 24.5\;rad/sec\)

    \({ω _d} = {ω _n}\sqrt {1 - {ξ ^2}} = 24.5 \times \sqrt {1 - {{\left( {0.2} \right)}^2}} = 24\;rad/sec\)
  • Question 4
    2 / -0.33
    The equation of motion of a forced damped vibration system is given as \(3\ddot x + 9\dot x + 27x = 0\), The damping factor is_______
    Solution

    Concept:

    \(\xi = \frac{C}{{{C_c}}}\)

    Equation of motion

    \(m\ddot x + c\dot x + kx = 0\)

    Calculation:

    Comparing, we get

    m = 3 kg, C = 9 Ns/m,  k = 27 N/m

    \({C_c} = \sqrt {{km}} = 2\sqrt {27 \times 3} = 18\;\;Ns/m\)

    \(\therefore \xi = \frac{C}{{{C_c}}} = \frac{9}{{18}}\)

    ξ = 0.5

  • Question 5
    2 / -0.33
    For steady-state forced vibrations what is the phase difference at resonance (in degrees) _____?
    Solution

    Concept:

    \({\rm{Phase\;difference\;}}\left( \phi \right) = {\tan ^{ - 1}}\left( {\frac{{2\xi \left( {\frac{\omega }{{{\omega _n}}}} \right)}}{{1 - {{\left( {\frac{\omega }{{{\omega _n}}}} \right)}^2}}}} \right)\)

    At resonance ω  = ωn

    ϕ = tan-1 (∞) = 90°

  • Question 6
    2 / -0.33
    A spring mass system has natural frequency of 5 rad/s and damping factor is 0.3. What is ratio of 2 successive amplitudes of vibration?
    Solution

    Concept:

    Logarithmic decreament \(\left( \delta \right) = \frac{{2\pi \xi }}{{\sqrt {1 - {\xi ^2}} }}\)

    Calculation:

    ξ = 0.3

    \(\therefore \delta = \frac{{2\pi\; \times\; 0.3}}{{\sqrt {1\; - \;{{0.3}^2}} }}\)

    δ = 1.976

    Ratio of 2 successive amplitude is always constant and given as,

    \(\frac{{{X_n}}}{{{X_{n + 1}}}} = {e^\delta } = {e^{1.976}}\)

    \(\therefore \frac{{{X_n}}}{{{X_{n + 1}}}} = 7.21\)

  • Question 7
    2 / -0.33

    A mass of 0.5 kg is suspended in a vertical plane by a spring having a stiffness coefficient of 300 N/m. If the mass is displaced downward from its static equilibrium position through a distance 0.01 m, determine the natural frequency of the system.

    Solution

    Equation of motion will be:

    \(0.5\;\ddot x + 300\;x = 0\) 

    \(0.5\;\ddot x + 300\;x = 0\) 

    Natural frequency:

    \(\omega = \sqrt {\frac{k}{m}} = \sqrt {\frac{{300}}{{0.5}}} = 24.5\;rad/s\) 

    \(f = \frac{\omega }{{2\pi }} = 3.9\;Hz\)

    Note:

    \(\omega = \sqrt {\frac{k}{m}} = \sqrt {\frac{g}{{{\delta _{st}}}}} \) 

  • Question 8
    2 / -0.33

    A spring mass system with mass 2 Kg and stiffness 3200 N/m has an initial displacement of x0 = 0. The maximum initial velocity that can be given to the mass without the amplitude of free vibration exceeding a value of 0.1m is

    Solution

  • Question 9
    2 / -0.33

    The equation of motion for a single degree of freedom system with viscous damping is \(16\ddot x + 5\dot x + 4x = 0\). The damping ratio of the system is

    Solution

    Concept:

    Damping ratio \(= \frac{C}{{{C_c}}} \)

    where Cc = 2√ km and c = damping coefficient.

    Calculation:

    \(16\ddot x + 5\dot x + 4x = 0\)

    By comparing this equation with \(m\ddot x + c\dot x + kx = 0\)

    \(\begin{array}{l} m\; = 16,\;c = 5,k = 4\\ {C_c} = 2√ {km} \\ {C_c} = 2√ {4 \times 16} = 16 \end{array}\)

    ∴ Damping ratio \(= \frac{C}{{{C_c}}} = \frac{5}{{16}}\)

  • Question 10
    2 / -0.33
    In a system with a rotating unbalance of 1 kg at a radius of 1 cm rotates at very large speed, much above resonance speed. The mass of system is 100 kg. The amplitude of vibration will be in order of ____
    Solution

    Concept:

    \(X = \frac{{\frac{{{m_0}r{\omega ^2}}}{k}}}{{\sqrt {{{\left( {1 - {r^2}} \right)}^2} + {{\left( {2\xi r} \right)}^2}} }}{\rm{\;and\;}}{\omega _n} = \sqrt {\frac{k}{{M\;}}\;} \)

    For large ω, the ratio ω/ωn ≫ 1

    \(\therefore X = \frac{{{m_0}r}}{M}\)

    Calculation:

    \(X = \frac{{{m_0}r}}{M}\)

    \(X = \frac{{1\; \times \;1}}{{100}}\)

    ∴ X = 0.01 cm   

  • Question 11
    2 / -0.33
    A cantilever beam of cross section area ‘A’, moment of Inertia I and length ‘L’ is having natural frequency ω1. If the beam is accidentally broken into two halves, the natural frequency of the remaining cantilever beam ω2 will be such that 
    Solution

    Concept:

    \(\omega = \sqrt {\frac{g}{\delta }} \;\)

    For cantilever beam:

    \(\begin{array}{l} \delta = \frac{{P{L^3}}}{{3EI}}\\ \omega = \sqrt {\frac{g}{\delta }} = \sqrt {\frac{{3EIg}}{{P{L^3}}}} \Rightarrow \omega \propto \sqrt {\frac{1}{{{L^3}}}} \\ \frac{{{\omega _2}}}{{{\omega _1}}} = \sqrt {\frac{{L_1^3}}{{L_2^3}}} = \sqrt {\frac{{{L^3}}}{{{{\left( {\frac{L}{2}} \right)}^3}}}} = 2\sqrt2 \\ {\omega _2} > {\omega _1} \end{array}\)

  • Question 12
    2 / -0.33
    In an experiment a student by mistake took a force with excitation frequency. √2 times the natural frequency what do we expect his calculated transmissibility be?
    Solution

    Concept:

    \({\rm{Transmissibility\;}} = \frac{{{{\left[ {1 + {{\left( {2\xi \frac{\omega }{{{\omega _n}}}} \right)}^2}} \right]}^{1/2}}}}{{{{\left[ {{{\left( {1 - \frac{{{\omega ^2}}}{{\omega _n^2}}} \right)}^2} + {{\left( {2\xi \frac{\omega }{{{\omega _n}}}} \right)}^2}} \right]}^{1/2}}}}\)

    Calculation:

    ω  = √2 ωn

    \(\therefore Transmissibility = \frac{{{{\left( {1 + 8{\xi ^2}} \right)}^{\frac{1}{2}}}}}{{{{\left( {1 + 8{\xi ^2}} \right)}^{\frac{1}{2}}}}} = 1.0\)

  • Question 13
    2 / -0.33

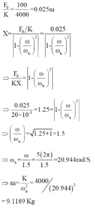
    A mass m is suspended from a spring of stiffness 4000 N/m and is subjected to a harmonic force having an amplitude of 100N and a frequency of 5Hz. The amplitude of the forced motion of mass is observed to be 20mm. The value of m is nearly

    Solution

  • Question 14
    2 / -0.33

    A damped mass spring system has mass of 10 kg, spring stiffness of 4000 N/m and damping coefficient of 40 Ns/m. The amplitude of forcing function, F0 is 60 N and the forcing frequency is 40 rad/sec. Determine the amplitude of the force transmitted to the support (in N).

    Solution

    Concept:

    FT is the force transmitted to the foundation. The disturbing force is F. The ratio of FT to F is called transmissibility.

    \(T.R = \frac{{{F_T}}}{F} = \frac{{\sqrt {1 + {{\left( {2\xi \frac{\omega }{{{\omega _n}}}} \right)}^2}} }}{{\sqrt {{{\left( {1 - {{\left( {\frac{\omega }{{{\omega _n}}}} \right)}^2}} \right)}^2} + {{\left( {2\xi \frac{\omega }{{{\omega _n}}}} \right)}^2}} }}\)

    The steady state amplitude for the system:

    \(A = \frac{{\frac{F}{k}}}{{\sqrt {{{\left( {1 - {{\left( {\frac{\omega }{{{\omega _n}}}} \right)}^2}} \right)}^2} + {{\left( {2\xi \frac{\omega }{{{\omega _n}}}} \right)}^2}} }}\)

    Calculation:

    Given: m = 10 kg, k = 4000 N/m, C = 40 Ns/m, F = 60 N

    ω = 40 rad/sec

    \({\omega _n} = \sqrt {\frac{k}{m}} = \sqrt {\frac{{4000}}{{10}}} = 20\;rad/sec\)

    Frequency Ratio:

    \(r = \frac{\omega }{{{\omega _n}}} = \frac{{40}}{{20}} = 2\)

    The critical damping coefficient:

    \({c_c} = 2m\;{\omega _n} = 2\sqrt {mk} = 2\sqrt {10 \times 4000} = 400\;N.s/m\)

    The damping factor, ξ:

    \(\xi = \frac{C}{{{C_c}}} = \frac{{40}}{{400}} = 0.1\)

    Transmissibility:

    \(T.R = \frac{{{F_T}}}{F} = \frac{{\sqrt {1 + {{\left( {2\xi \frac{\omega }{{{\omega _n}}}} \right)}^2}} }}{{\sqrt {{{\left( {1 - {{\left( {\frac{\omega }{{{\omega _n}}}} \right)}^2}} \right)}^2} + {{\left( {2\xi \frac{\omega }{{{\omega _n}}}} \right)}^2}} }}\)

    \(T = \frac{{\sqrt {1 + {{\left( {2 \times 0.1 \times 2} \right)}^2}} }}{{\sqrt {{{\left( {1 - {2^2}} \right)}^2} + \left( {2 \times 0.1 \times 2} \right)^2} }} = \frac{{1.07703}}{{3.02654}} = 0.3559\)

    The amplitude of the force transmitted:

    FT = (T.R) F = (0.3379) × 60

    ∴ F= 21.35 N

  • Question 15
    2 / -0.33

    Solution

  • Question 16
    2 / -0.33

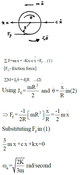
    The natural frequency (in rad/s) of vibration of the given system is

    Solution

  • Question 17
    2 / -0.33
    Two heavy rotors are mounted on a shaft. Considering each rotor separately the transverse natural frequencies obtained are 200 Hz and 310 Hz respectively. What is the lowest critical speed (rpm)?
    Solution

    Concept:

    To calculate lowest critical speed (w)

    \(\omega = 2\pi f = 2\pi \frac{N}{{60}}\) 

    f = frequency, N = rpm, ∴ f = N/60

    ⇒ N = 60 f

    Dunkerley’s empirical formula

    \(\frac{1}{f} = \frac{1}{{{f^2}}} + \frac{1}{{f_2^2}}\)

     Calculation:

    \(\frac{1}{{{f^2}}} = \frac{1}{{{{200}^2}}} + \frac{1}{{{{310}^2}}}\)

    \(\Rightarrow f = 168.059\) 

    N = 60 f = 10083.55 rpm

  • Question 18
    2 / -0.33

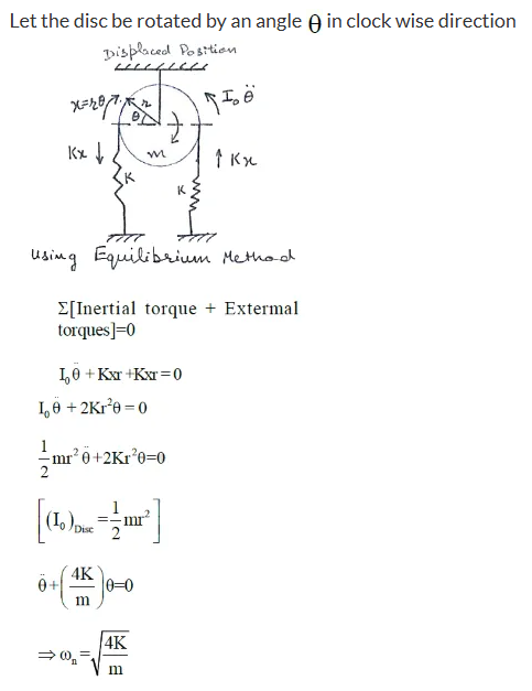
    The circular disc of mass m and radius r is pivoted at point O as shown. If the disc is rotated by an angle ‘θ’ and is left to vibrate, the natural frequency [in rad/sec] of the vibration of the system is

    Solution

  • Question 19
    2 / -0.33

    A steel shaft of diameter 2 cm carries a disc of mass 19.2 kg supported in long bearings at it’s mid span of length 0.5 m. The critical speed of shaft (rpm) is ____ (Both the ends are fixed)

    (E = 200 GPa)

    Solution

    Concept:

    For long bearing: fixed-fixed end condition

    \(k = \frac{{192\;EI}}{{{\ell ^3}}}\)

    \({\omega _n} = \sqrt {\frac{k}{m}} = \sqrt {\frac{{192\;EI}}{{m{\ell ^3}}}} \)

    Calculation:

    \(I = \frac{{\pi {d^4}}}{{64}} = \frac{{\pi\; \times \;{{\left( {0.02} \right)}^4}}}{{64}} = 7.854 \times {10^{ - 9}}{m^4}\)

    \({\omega _n} = \sqrt {\frac{{192\; \times \;2\; \times \;{{10}^{11}}\; \times \;7.854\; \times \;{{10}^{ - 9}}}}{{19.2\; \times \;{{\left( {0.5} \right)}^3}}}} = 354.5\;rad/s\)

    \({f_n} = \frac{{{\omega _n}}}{{2\pi }} = \frac{{354.5}}{{2\pi }} = 56.42\;\;Hz\)

    N = 60 fn = 60 × 56.42

    ∴ N = 3385.13 rpm

  • Question 20
    2 / -0.33
    A machine weighing 4 kg is vibrating in a fluid medium. Harmonic force of magnitude 50 N acts on it and produces resonance amplitude of 20 mm with frequency of 12 Hz. The value of damping coefficient is ________Ns/m
    Solution

    Fluid medium ⇒ viscous damping

    m = 4 kg, F0 = 50 N

    Resonance amplitude (X) = 20 mm

    \(X = \frac{{{F_0}}}{{2\xi k}},\;T = \frac{1}{f} = \frac{1}{{12}}s\)

    \(\omega = \frac{{2\pi }}{T} = 2\pi \times 12\)

    ω = 24π rad/s

    Now,

    \(\xi = \frac{C}{{2\sqrt {mk} }}\)

    \(\xi k = \frac{C}{2}\sqrt {\frac{k}{m}} = \frac{C}{2}\omega \)

    \(\therefore X = \frac{{2{F_0}}}{{2C\;\omega }} = \frac{{{F_0}}}{{C\omega }}\)

    \(C = \frac{{{F_0}}}{{X\omega }}\)

    \(C = \frac{{50}}{{24\pi }} \times \frac{1}{{0.020}}\)

    C = 33.157 Ns/m

  • Question 21
    2 / -0.33
    A 45 kg machine is mounted on four parallel springs each of stiffness 0.2 MN/m. When machine operates at 32 Hz, the machine’s steady state amplitude is measured as 1.5 mm. What is magnitude of excitation force provided to the machine at this speed?
    Solution

    Concept:

    \(X = \frac{{{F_0}/k}}{{\sqrt {{{\left( {1 - {r^2}} \right)}^2} + {{\left( {2\xi r} \right)}^2}} }}\)

    Calculation:

    \({\omega _n} = \sqrt {\frac{{{k_{eq}}}}{M}}\)

    keq = 4 × k = 4 × 0.2 × 106 = 0.8 × 106 N/m

    M = 45 kg

    \(\therefore {\omega _n} = \sqrt {\frac{{0.8\; \times \;{{10}^6}}}{{45}}} = 133.33\;rad/s\)

    ω = 2πn = 2π × 32 = 201.06 rad/s

    \(r = \frac{\omega }{{{\omega _n}}} = \frac{{201.06}}{{133.33}}\)

    ∴ r = 1.508

    Now,

    Magnification factor of an undamped system is given as,

    \(MF = \frac{1}{{\sqrt {{{\left( {1 - {r^2}} \right)}^2} + {{\left( {2\xi r} \right)}^2}} }}\)

    For Undamped, ζ = 0

    \(\therefore MF = \frac{1}{{\left| {\left( {1 - {r^2}} \right)} \right|}}\)

    \(MF = \frac{1}{{\left| {1 - {{\left( {1.51} \right)}^2}} \right|}} = 0.7812\)

    Using equation of amplitude

    \(X = \frac{{{F_0}/{k_{eq}}}}{{\sqrt {{{\left( {1 - {r^2}} \right)}^2} + {{\left( {2\xi r} \right)}^2}} }}\)

    \(\therefore {F_0} = \frac{{m\omega _n^2X}}{{MF}}\)

    \({F_0} = \frac{{45\; \times \;{{\left( {133.3} \right)}^2}\; \times \;0.0015}}{{0.7812}}\)

    ∴ F­0 = 1.536 kN ≈ 1.54 kN

  • Question 22
    2 / -0.33
    In a spring mass system, the mass is 0.2 kg and the stiffness of the spring is 1 kN/m. By introducing a damper of damping coefficient 8.5 Ns/m, by what percentage will the frequency of oscillation change w.r.t. original value?
    Solution

    Concept:

    Natural frequency:

    \({\omega _n} = \sqrt {\frac{k}{m}}\)

    2ξωn = c/m

    Damping factor:

    \(\xi = \frac{c}{{{c_c}}} = \frac{c}{{2\sqrt {km} }} = \frac{c}{{2m{\omega _n}}}\)

    Damped frequency:

    \({{\rm{\omega }}_{\rm{d}}} = \sqrt {1 - {\xi ^2}} {\omega _n}\)

    Calculation:

    Given: m = 0.2 kg, k = 1 kN/m = 1000 N/m, c = 8.5 Ns/m

    \({\omega _n} = \sqrt {\frac{k}{m}} = \sqrt {\frac{{1000}}{{0.2}}} = 70.71\;rad/s\)

    \(\xi = \frac{c}{{2\sqrt {km} }} = \frac{{8.5}}{{2\sqrt {1000 \times 0.2} }} = 0.3\)

    \({{\rm{\omega }}_{\rm{d}}} = \sqrt {1 - {\xi ^2}} {\omega _n} = \sqrt {1 - {{\left( {0.3} \right)}^2}} \times 70.71 = 67.45\;rad/s\)

    % change in frequency of oscillation = (ωd – ωn)/ωn

    = (67.45 - 70.71)/70.71 = -0.0461 = -4.6%

    The negative sign indicates the decrease.
  • Question 23
    2 / -0.33

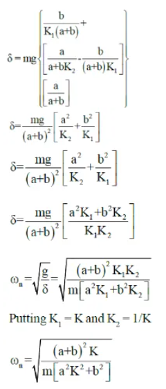
    The natural frequency [in rad/s] of vibration of spring mass system shown in the figure is

    Solution


  • Question 24
    2 / -0.33

    In viscous damping, to which parameter is the damping force proportionally related?

    Solution

    Viscous Damping

    • Viscous damping is a type of damping mechanism in which the damping force acting on a moving body is proportional to its velocity. This type of damping is commonly used in mechanical systems to reduce oscillations and dissipate energy in a controlled manner. It is achieved by using a medium, such as oil or gas, to exert a resistive force on the moving body.

    Correct Option Analysis:

    The correct option is:

    Option 2: Velocity of the body

    In viscous damping, the damping force is directly proportional to the velocity of the moving body. Mathematically, the damping force (Fd) can be expressed as:

    Fd = -c × v

    Where:

    • c = Damping coefficient (a constant that depends on the properties of the damping medium and the system's design).
    • v = Velocity of the body.
    • The negative sign indicates that the damping force acts in the direction opposite to the motion, thereby resisting it.

    Viscous damping is widely used because of its simplicity and effectiveness. It is employed in many practical applications such as automotive shock absorbers, vibration isolators, and dynamic systems subjected to oscillatory forces. The relationship between the damping force and velocity ensures that the damping mechanism is more effective at higher velocities, thereby providing stability and control in dynamic systems.

  • Question 25
    2 / -0.33

    In under-damped vibrating system, if X1 and X2 are successive values of the amplitude on the same side of the mean position, then the logarithmic decrement is equal to which of the following?

    Solution

    Logarithmic decrement:

    Logarithmic decrement is defined as the natural logarithm of the ratio of any two successive amplitudes on the same side of the mean line.

Self Studies
User
Question Analysis
  • Correct -

  • Wrong -

  • Skipped -

My Perfomance
  • Score

    -

    out of -
  • Rank

    -

    out of -
Re-Attempt Weekly Quiz Competition
Self Studies Get latest Exam Updates
& Study Material Alerts!
No, Thanks
Self Studies
Click on Allow to receive notifications
Allow Notification
Self Studies
Self Studies Self Studies
To enable notifications follow this 2 steps:
  • First Click on Secure Icon Self Studies
  • Second click on the toggle icon
Allow Notification
Get latest Exam Updates & FREE Study Material Alerts!
Self Studies ×
Open Now