Self Studies

Logical Reasoning Test - 7

Result Self Studies

Logical Reasoning Test - 7
  • Score

    -

    out of -
  • Rank

    -

    out of -
TIME Taken - -
Self Studies

SHARING IS CARING

If our Website helped you a little, then kindly spread our voice using Social Networks. Spread our word to your readers, friends, teachers, students & all those close ones who deserve to know what you know now.

Self Studies Self Studies
Weekly Quiz Competition
  • Question 1
    1 / -0.25

    Directions For Questions

    In the given question below is given a statement followed by two conclusions numbered I and II. You have to assume everything in the statement to be true, then consider the two conclusions together and decide which of them logically follows the given statement and choose your answer according to that.

    ...view full instructions

    Statement: Only good singers are invited in the conference. No one without sweet voice is a good singer.

    Conclusions:

    I. All invited singers in the conference have sweet voice.

    II. Those singers who do not have sweet voice are not invited in the conference.

    Solution

    The statement asserts that a good singer always has a sweet voice and only good singers are invited in the conference. This implies that all those invited in the conference have sweet voice and those who do not have sweet voice are not invited. So, both I and II follow.

  • Question 2
    1 / -0.25

    Directions For Questions

    In the given question below is given a statement followed by two conclusions numbered I and II. You have to assume everything in the statement to be true, then consider the two conclusions together and decide which of them logically follows the given statement and choose your answer according to that.

    ...view full instructions

    Statement: The standard of education in private schools is much better than Municipal and Zila Parishad-run schools.

    Conclusions:

    I. The Municipal and Zila Parishad should make serious efforts to improve standard of their schools.

    II. All Municipal and Zila Parishad schools should be closed immediately.

    Solution

    Clearly, the solution to the problem is not to close down the Municipal and Zila Parishad-run schools but to strive to improve the standard of education of these schools. So, only I follows while II does not.

  • Question 3
    1 / -0.25

    Directions For Questions

    In the given question below is given a statement followed by two conclusions numbered I and II. You have to assume everything in the statement to be true, then consider the two conclusions together and decide which of them logically follows the given statement and choose your answer according to that.

    ...view full instructions

    Statement: Applications of applicants who do no fulfil eligibility criteria and/or who do not submit applications before last date will be summarily rejected and will not be called for the written test.

    Conclusions:

    I. Those who are called for the written test are those who fulfil eligibility criteria and have submitted their applications before last date.

    II. Written test will be held only after scrutiny of applications.

    Solution

    The statement clearly mentions that fulfilling the eligibility criteria and submitting the application before the stipulated date are both essential to avoid rejection. So, I follow. Also, since it is given that the candidates whose applications are rejected shall not be called for a written test, so II also follows.

  • Question 4
    1 / -0.25

    Directions For Questions

    In the given question below is given a statement followed by two conclusions numbered I and II. You have to assume everything in the statement to be true, then consider the two conclusions together and decide which of them logically follows the given statement and choose your answer according to that.

    ...view full instructions

    Statement: The eligibility for admission to the course is minimum second class Master's degree. However, the candidates who have appeared for the final year examination of Master's degree can also apply.

    Conclusions:

    I. All candidates who have yet to get their Master's degree will be there in the list of selected candidates.

    II. All candidates having obtained second class Master's degree will be there in the list of selected candidates.

    Solution

    The statement mentions that the candidates who have obtained second class Master's degree or have appeared for the final year examination of Master's degree, can apply for admission. This implies that both types of candidates may be selected on certain grounds. Thus, some candidates of each type and not all candidates of any one type, may be selected. So, neither I nor II follows.

  • Question 5
    1 / -0.25

    Which provision of the Constitution of India, 1950 deals with legislative powers of the President?

    Solution

    Article 123 of the Constitution of India grants the President certain law-making powers to promulgate ordinances when either of the two Houses of Parliament is not in session. So, it is not possible for the ordinances to be issued in the Parliament.

  • Question 6
    1 / -0.25

    A is D's brother. D is B's father. B&C are sisters. How is C related to A?

    Solution

    D is father of B and C.

    A is brother of D.

    B and C are daughters of D.

    Therefore, C is niece of A.

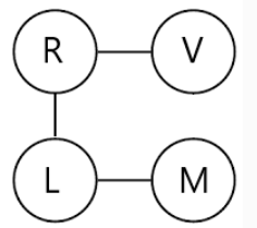
  • Question 7
    1 / -0.25

    Statements:

    I. No R is V.

    II. No L is M.

    III. No R is L.

    Conclusions:

    I. Some V are not M.

    II. No M is L.

    III. Some L are not R.

    Solution

    Venn diagram of the given statements is-

    I. Some V are not M.→ False (No direct or indirect relation can be established between V and M. So, nothing can be decided about V and M. Therefore, it's False.)

    II. No M is L. → True (As No L is M, so No M is L is also True.)

    III. Some L are not R. → True (As No R is L, so some L are definitely not R.)

    Hence, both Conclusion II and III follows. 

  • Question 8
    1 / -0.25

    The Indian Contract Act, 1872 extends to:

    Solution

    The Indian Contract Act, 1872 extends to the whole of India.

    The Indian Contract Act, 1872 prescribes the law relating to contracts in India and is the key act regulating Indian contract law. The Act is based on the principles of English Common Law. It is applicable to all the states of India. It determines the circumstances in which promises made by the parties to a contract shall be legally binding.

  • Question 9
    1 / -0.25

    In the following question a statement is given, followed by two conclusions. Give answer :

    Statement: It is desirable to put the child in school at the age of 5 or so.

    Assumptions:

    I. At that age the child reaches appropriate level of development and is ready to learn.

    II. The schools do not admit children after six years of age.

    Solution

    Since the statement talks of putting the child in school at the age of 5, it means that the child is mentally prepared for the same at this age. So, I is implicit. But nothing about admission after 6 years of age is mentioned in the statement. So, II is not implicit.

  • Question 10
    1 / -0.25

    Statements:

    I. No P is X.

    II. No R is P.

    Conclusions:

    I. Some X are not P.

    II. No X is R.

    Solution

    The least possible Venn diagram is:

    I. Some X are not P. → True (As, No P is X)

    II. No X is R. → False (As there is no definite relation between X and R. Hence, false)

    So, only conclusion I follows.

Self Studies
User
Question Analysis
  • Correct -

  • Wrong -

  • Skipped -

My Perfomance
  • Score

    -

    out of -
  • Rank

    -

    out of -
Re-Attempt Weekly Quiz Competition
Self Studies Get latest Exam Updates
& Study Material Alerts!
No, Thanks
Self Studies
Click on Allow to receive notifications
Allow Notification
Self Studies
Self Studies Self Studies
To enable notifications follow this 2 steps:
  • First Click on Secure Icon Self Studies
  • Second click on the toggle icon
Allow Notification
Get latest Exam Updates & FREE Study Material Alerts!
Self Studies ×
Open Now