Self Studies

Mathematics Test - 36

Result Self Studies

Mathematics Test - 36
  • Score

    -

    out of -
  • Rank

    -

    out of -
TIME Taken - -
Self Studies
Weekly Quiz Competition
  • Question 1
    3 / -1

    Find the value of \(\int \frac{\sec ^{4}(x)}{\sqrt{\tan (x)}} d x\).

    Solution

    Add constant automatically

    Given, \(\int \frac{\sec ^{4}(x)}{\sqrt{\tan (x)}} d x\)

    \(=\int \frac{\sec ^{2}(x) \sec ^{2}(x)}{\sqrt{\tan (x)}} d x\)

    \(=\int \frac{1+t^{2}}{\sqrt{t}} d t\)

    \(=\int\left[\frac{i}{\sqrt{t}}+t^{\frac{3}{2}}\right] d t\)

    \(=2 \sqrt{t}+\frac{2}{5} t^{\frac{5}{2}}\)

    \(=\frac{2}{5} \sqrt{\tan (x)}\left[5+\tan ^{2}(x)\right]\)

  • Question 2
    3 / -1

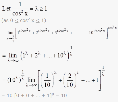
    Solution

  • Question 3
    3 / -1

    Area of an equilateral triangle is √3 cm2. The length of each side of the triangle is

    Solution

  • Question 4
    3 / -1

    Solution

  • Question 5
    3 / -1

    If P(1, 0), Q(– 1, 0) and R(2, 0) are three given points, then the locus of point S, which satisfies the relation (SQ)2 + (SR)2 = 2(SP)2, is (where SQ, SR and SP are line segments)

    Solution

    Let the point be (h, k)

    So, SQ2 = (h + 1)2 + k2

    SR2 = (h - 2)2 + k2

    SP2 = (h - 1)2 + k2

    Substituting in the given equation and replacing the values of h and k by x and y, we get

    x = - 3/2 (A straight line parallel to y-axis).

  • Question 6
    3 / -1

    Solution

  • Question 7
    3 / -1

    Solution

  • Question 8
    3 / -1

    Solution

  • Question 9
    3 / -1

    Solution

  • Question 10
    3 / -1

    The orthocenter of the triangle formed by the lines xy = 0 and x + y = 1 is

    Solution

    The triangle formed by the given lines is a right angle triangle right angled at (0, 0). Hence, it is the orthocenter.

Self Studies
User
Question Analysis
  • Correct -

  • Wrong -

  • Skipped -

My Perfomance
  • Score

    -

    out of -
  • Rank

    -

    out of -
Re-Attempt Weekly Quiz Competition
Self Studies Get latest Exam Updates
& Study Material Alerts!
No, Thanks
Self Studies
Click on Allow to receive notifications
Allow Notification
Self Studies
Self Studies Self Studies
To enable notifications follow this 2 steps:
  • First Click on Secure Icon Self Studies
  • Second click on the toggle icon
Allow Notification
Get latest Exam Updates & FREE Study Material Alerts!
Self Studies ×
Open Now