Self Studies

Chemistry Test - 22

Result Self Studies

Chemistry Test - 22
  • Score

    -

    out of -
  • Rank

    -

    out of -
TIME Taken - -
Self Studies
Weekly Quiz Competition
  • Question 1
    1 / -0

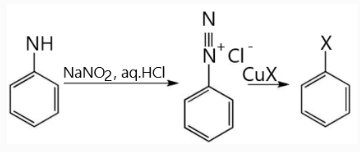
    The above reaction is named as:

    Solution

    The reaction given is a Sandmeyer's Reaction.

    • The Sandmeyer reaction is used to prepare aryl halides from aryl diazonium salts. 
    • It is named after the Swiss chemist Traugott Sandmeyer.
    • The reaction is a method for substitution of an aromatic amino group via preparation of its diazonium salt followed by its displacement with a nucleophile, catalyzed by copper (I) salts. 

    The reaction takes place as follows:

  • Question 2
    1 / -0

    Chlorine atom in \(\mathrm{CH}_{3} \mathrm{CH}_{2} \mathrm{Cl}\) is attached to:

    Solution

    Chlorine atom in \(\mathrm{CH}_{3} \mathrm{CH}_{2} \mathrm{Cl}\) is attached to \(\mathrm{sp}^{3}\) carbon.

    The structure of \(\mathrm{CH}_{3} \mathrm{CH}_{2} \mathrm{Cl}\) is as follows:

    As from the structure, it can be seen that chlorine atom in \(\mathrm{CH}_{3} \mathrm{CH}_{2} \mathrm{Cl}\) is attached to a carbon with \(4 \sigma\) bond. 

    Thus, it is attached to the \(\mathrm{sp}^{3}\) carbon atom.

  • Question 3
    1 / -0

    Trigonal bipyramidal geometry is shown by:

    Solution

    Trigonal bipyramidal geometry is shown by \(XeO _{3} F _{2}\).

    Trigonal bipyramidal geometry is seen in complexes that have hybridization of sp \(^{3} d\) and their coordination number is \(5\).

    In the molecule \(XeO _{3} F _{2}\), the steric number of \(Xe\) is \(5\) as there are \(5\) sigma bonds and \(0\) lone pairs. Therefore \(5\) steric number implies that the hybridization is \(sp ^{3} d\) and therefore the geometry is trigonal bipyramidal.

    Valence electrons in Xenon \(=8\)

    Contribution of each \(F\) atom \(=2\)

    \(\therefore\) Coordination number \(=(8+2) \div 2=5\)

  • Question 4
    1 / -0

    Assume carbon burns according to following equation:

    \(2 \mathrm{C}_{(\mathrm{s})}+\mathrm{O}_{2(\mathrm{~g})} \rightarrow 2 \mathrm{CO}(\mathrm{g})\)

    When \(12 \mathrm{~g}\) carbon is burnt in \(48 \mathrm{~g}\) of oxygen, the volume of carbon monoxide produced is \(\qquad\) \(\times 10^{-1} \mathrm{~L}\) at STP [nearest integer]

    [Given : Assume CO as ideal gas, Mass of \(\mathrm{C}\) is \(12 \mathrm{gmol}^{-1}\), Mass of \(\mathrm{O}\) is \(16 \mathrm{gmol}^{-1}\) and molar volume of an ideal gas at STP is \(22.7 \mathrm{Lmol}^{-1}\) ]

    Solution

    \(2 \mathrm{C}(\mathrm{s})+\mathrm{O}_2(\mathrm{~g}) \rightarrow 2 \mathrm{CO}(\mathrm{g})\)

    \(1 \mathrm{~mol} 1.5 \mathrm{~mol}\)

    Limiting reagent is carbon. One mole carbon produces one mole CO. Hence, volume at STP is \(227 \times 10^{-1}\) litre

  • Question 5
    1 / -0

    The freezing point of a diluted milk sample is found to be \(-0.2^{\circ} \mathrm{C}\), while it should have been \(-0.5^{\circ} \mathrm{C}\) for pure milk. How much water has been added to pure milk to make the diluted sample?

    Solution

    Freezing point of diluted milk \(=-0.2^{\circ} \mathrm{C}\)

    \(\Delta \mathrm{T}_{\mathrm{f}}^{\prime}=0.2^{\circ} \mathrm{C}\)

    Freezing point of pure milk \(=-0.5^{\circ} \mathrm{C}\)

    \(\begin{aligned}& \Delta \mathrm{T}_{\mathrm{f}}=0.5^{\circ} \mathrm{C} \\& \frac{\Delta \mathrm{T}_{\mathrm{f}}}{\Delta \mathrm{T}_{\mathrm{f}}}=\frac{\mathrm{K}_{\mathrm{f}} \times \mathrm{m}}{\mathrm{K}_{\mathrm{f}} \times \mathrm{m}} ; \mathrm{m}=\frac{\text { moleof solute }}{\text { mass of solvent }(\mathrm{kg})}\end{aligned}\)

    Moles of solute are same in both samples.

    \(\begin{aligned}& \therefore \frac{0.5}{0.2}=\frac{W}{W} \\& \frac{W^{\prime}}{W}=\frac{5}{2} ; W^{\prime}=\frac{5}{2} W\end{aligned}\)

    2 cups of pure milk is mixed with 3 cups of water to make 5 cups of diluted milk.

  • Question 6
    1 / -0

    The osmotic pressure of a dilute solution of an ionic compound \(X Y\) in water is four times that of a solution of \(0.01 \mathrm{MBaCl}_2\) in water. Assuming complete dissociation of the given ionic compounds in water, the concentration of \(\mathrm{XY}\) (in \(\mathrm{mol} \mathrm{L}^{-1}\) ) in solution is:

    Solution

    We know, \(\pi=1 \mathrm{iCRT} ; \pi_{\mathrm{xy}}=4 \pi_{\mathrm{BaCl}_2}\)

    Since both are ionic solute, i.e.,

    \(\mathrm{XY} \rightarrow \mathrm{X}^{+}+\mathrm{Y}^{-} \Rightarrow \mathrm{i}=2 \)

    \( \mathrm{BaCl}_2 \rightarrow \mathrm{B}^2 \mathrm{a}^{+}+2 \mathrm{Cl}^{-} \Rightarrow \mathrm{i}=3\)

    NOW,

    \(2[\mathrm{XY}]=4 \times 3 \times[0.01] \)

    \( {[\mathrm{XY}]=0.06} \)

    \( =6 \times 10^{-2} \mathrm{~mol} / \mathrm{L}\)

     

  • Question 7
    1 / -0

    Identify the compounds which are reduced and oxidised in the following reaction.

    \(3 \mathrm{~N}_{2} \mathrm{H}_{4}+2 \mathrm{BrO}_{3}^{-} \rightarrow 3 \mathrm{~N}_{2}+2 \mathrm{Br}^{-}+6 \mathrm{H}_{2} \mathrm{O}\)

    Solution

    Separating the oxidation and reduction reaction from the redox reaction:

    \(3 \mathrm{~N}_{2} \mathrm{H}_{4}+2 \mathrm{BrO}_{3}^{-} \rightarrow 3 \mathrm{~N}_{2}+2 \mathrm{Br}^{-}+6 \mathrm{H}_{2} \mathrm{O}\)

    Assigning the oxidation number on central atom (N and Br) in each molecules by considering oxidation number of \(\mathrm{H}=+1, \mathrm{O}=-2\),we get oxidation state as:

    \(3\overset {-2}{N}_2H_4 + 2[\overset{+5}{Br}O_3]^- \rightarrow 3\overset{0}{N_2} + 2\overset{-1}{Br^-} +6H_2O\)

    As the oxidation number of \(N\) changes from \(-2\) to 0 as:

    \(\mathrm{N}_{2} \mathrm{H}_{4} \rightarrow N_{2}\)

    Its a oxidation reaction where \(N_{2} H_{4}\) gets oxidized.

    Similarly, as the oxidation number of \(B r\) changes from \(+5\) to \(-1\) as:

    \(\mathrm{BrO}_{3}^{-} \rightarrow B r^{-}\)

    Its a reduction reaction where \(\mathrm{BrO}_{3}^{-}\) gets reduced.

  • Question 8
    1 / -0

    \(12 {~g}\) of urea is present in 1 litre of solution and \(68.4 {~g}\) of sucrose is separately dissolved in 1 litre of another sample of solution. The lowering of vapour pressure of first solution is:

    Solution

    Given: Weight of Urea \(=12 {~g}\)

    And, weight of sucrose \(=68.4 {~g}\)

    We know that: Number of moles \(=\frac{\text{Weight}}{\text{Molar mass}}\)

    Therefore, Moles of urea \(=\frac{12}{60}=0.2\)

    (Molar mass of Urea is \(60 {gm}\). )

    Moles of sucrose \(=\frac{68.4}{342}=0.2\)

    (Molar mass of sucrose is \(342 {gm}\))

    Since, there are equal moles of solute in equal volumes of water, the mole fraction is the same. As per Raoult's law, the relative lowering of pressure will also be the same.

  • Question 9
    1 / -0

    Calculate energy of one mole of photons of radiation whose frequency is \(5 \times 10^{14}\) \(\mathrm{Hz}\).

    Solution

    Given,

    Frequency, \(\nu=5 \times 10^{14}\) \(\mathrm{Hz}\)

    As we know, Planck constant is given as,

    \(h=6.626 \times 10^{-34} \mathrm{Js}\)

    Energy of one photon is given by theexpression,

    \(E=h \nu\)

    \(E=\left(6.626 \times 10^{-34} \mathrm{~J} \mathrm{~s}\right) \times\left(5 \times 10^{14} \mathrm{~s}^{-1}\right)\)

    \(=3.313 \times 10^{-19} \mathrm{~J}\)

    As we know,

    Avogadro's number \(= 6.022 × 10^{23} \mathrm{~mol}^{-1}\)

    Energy of one mole of photons,

    \(=\left(3.313 \times 10^{-19} \mathrm{~J}\right) \times\left(6.022 \times 10^{23} \mathrm{~mol}^{-1}\right)\)

    \(=199.51 \mathrm{~kJ} \mathrm{~mol}^{-1}\)

  • Question 10
    1 / -0

    How many sigma bonds are present in \(\mathrm{CHCl}_{3}\) ?

    Solution

    The carbon atom is attached with one hydrogen atom and 3 chlorine atom.

     

    It can be seen from structure that chloroform contains 4 single bonds. One single bond contains one sigma.  Therefore, it contains 4 sigma bond.

Self Studies
User
Question Analysis
  • Correct -

  • Wrong -

  • Skipped -

My Perfomance
  • Score

    -

    out of -
  • Rank

    -

    out of -
Re-Attempt Weekly Quiz Competition
Self Studies Get latest Exam Updates
& Study Material Alerts!
No, Thanks
Self Studies
Click on Allow to receive notifications
Allow Notification
Self Studies
Self Studies Self Studies
To enable notifications follow this 2 steps:
  • First Click on Secure Icon Self Studies
  • Second click on the toggle icon
Allow Notification
Get latest Exam Updates & FREE Study Material Alerts!
Self Studies ×
Open Now