Self Studies

Engineering Mechanics Test 1

Result Self Studies

Engineering Mechanics Test 1
  • Score

    -

    out of -
  • Rank

    -

    out of -
TIME Taken - -
Self Studies
Weekly Quiz Competition
  • Question 1
    2 / -0.33
    A particle moves in a straight line and its position is defined by equation \(x = 6{t^2} - {t^3}\) where t is expressed in seconds and x in meters. The maximum velocity(m/s) during motion is____
    Solution

    Concept:

    x = 6t2 – t3

    \(V = \frac{{dx}}{{dt}} = 12t - 3{t^2}\)

     Velocity will be maximum, when

    \(\frac{{dv}}{{dt}} = \frac{{d_x^2}}{{d{t^2}}} = 0\)

    ∴ 12 – 6t = 0

    ∴ t = 2 seconds

    \(\therefore V = \frac{{dx}}{{dt}} = 12t - 3{t^2}\) 

    Vmax = 12(2) – 3(2)2

    ∴ Vmax = 12 m/s

  • Question 2
    2 / -0.33

    A wound watch spring possesses energy in the form of-

    Solution

    A Wound Watch Spring and Its Energy Form

    • A wound watch spring is a tightly coiled strip of metal that stores energy in the form of mechanical potential energy when it is wound. This energy is later released to power the movement of the watch. When the spring is wound, it undergoes deformation, and the energy required to deform it is stored in the spring as potential energy. This is an example of elastic potential energy, which falls under the broader category of mechanical potential energy.
    • When you wind a watch spring, you apply a force to twist or coil the spring further than its relaxed state. This action stores energy in the spring due to its elastic properties, as the metal resists deformation and "wants" to return to its natural shape. As the watch operates, the spring gradually unwinds, releasing the stored energy to drive the gears and hands of the watch.

    Correct Option Analysis:

    The correct option is:

    Option 4: Mechanical potential energy

    • This option correctly identifies the type of energy stored in a wound watch spring. The energy stored in the spring is mechanical in nature because it results from the deformation of the spring due to the applied force. Additionally, it is potential energy because it is stored and has the potential to do work as the spring unwinds. This energy is neither kinetic (as the spring is stationary when wound) nor a combination of kinetic and potential energy. Furthermore, the term "spring energy" is not a standard term used in physics, making "mechanical potential energy" the most accurate description.
  • Question 3
    2 / -0.33

    The centre of gravity of a right circular cone that lies on the axis at a height from the base is equal to-

    Solution

    Centre of gravity of right circular cone lies at a distance of h/4 from the base and at a distance of 3h/4 from the apex.

    Similarly, the centre of gravity for different shapes are:


  • Question 4
    2 / -0.33

    A block weighing W = 20 kN is resting on an inclined plane which makes an angle of 30° to the horizontal. The component of gravity force parallel to the inclined plane is-

    Solution

    Concept:

    When a block rests on an inclined plane, its weight can be resolved into two components:

    • Component parallel to the inclined plane
    • Component perpendicular to the inclined plane

    The component of the gravitational force acting parallel to the inclined plane is given by:

  • Question 5
    2 / -0.33

    A body of mass 2 kg is moving with a velocity of 50 m/s. What will be the kinetic energy of the body?

    Solution

    Concept:

    The kinetic energy of a body moving with a certain velocity is given by:

  • Question 6
    2 / -0.33

    A vehicle having rectilinear motion is moving with a velocity of 36 km/h and accelerates uniformly to 54 km/h over a distance of 125 m. What will be the time taken to cover this distance?

    Solution

    Concept:

    Rate of change of velocity is known as acceleration. Its unit is m/s2. It is a vector quantity.

    a = change in velocity/time

    Equations of motion:

  • Question 7
    2 / -0.33
    A horizontal circular platform of radius 1m and mass 0.6 kg is free to rotate about its axis. Two massless guns, each carrying a bullet of mass 65 gm are attached at a distance of 0.4 m and 0.6 m from center and in opposite direction. If the guns fire simultaneously and speed of bullets are 25 m/s (each), then the magnitude of rotational speed of platform is
    Solution

    Concept:

    Angular momentum of the system about its center is conserved.

    Calculation:

    Given:

    R = 1m, M = 0.6 kg, m1 = m2 = 65g = 0.065 kg

    r1 = 0.4 m, r2 = 0.6 m, v1 = v2 = 25 m/s

    Initially, whole system is at rest, therefore

    Initial angular momentum (Li) = 0

    After fixing of guns, let system start rotating with angular velocity ‘ω’.

    Then,

    Final angular momentum (Lf)

    Lf = m1 u1 r1 + m2 u2 r2 + Iω

    \({{\rm{L}}_{\rm{f}}}{\rm{\;}} = {m_1}{v_1}\left( {{r_1} + {r_2}} \right) + \frac{1}{2}M{R^2}.\omega \)

    \({L_f} = 0.065 \times 25 \times \left( {0.4 + 0.6} \right) + \frac{1}{2} \times 0.6 \times {1^2} \cdot \omega \)

    Lf = 1.625 + 0.3 ω

    Conservation of angular momentum,

    Li = Lf

    0 = 1.625 + 0.3 ω

    ∴ ω = - 5.41 rad/s
  • Question 8
    2 / -0.33

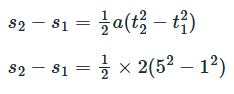
    An object starts from rest at x = 0 m and t = 0 s. It moves with a constant acceleration of 2m/s2 along the x–axis. What is its average velocity between time 1 s and 5 s?

    Solution

    Concept:

    • Average velocity = total displacement/ total time duration
    • Equation of motion:
    • v = u + at
    • v2 = u2 + 2as
    • s = ut + 1/2 at2

    Calculation:

    Given:

    Time interval = 5 s & 1 s, Initial velocity u = 0, and, Acceleration a = 2 m/s2

    ​When an object starts from rest, then the total distance covered in time 1 sec and 5 sec is,

    s = ut + 1/2 at2

    Object is at rest, so, u = 0 m/s.

    s2 - s1 = 24 m

    Total time taken, t = t2 - t1 = 5 - 1 = 4 sec

    Average velocity = total displacement/ total time duration

    Average velocity = 24/4 = 6 m/s

    Average velocity between time 1 s and 5 s = 6 m/s

  • Question 9
    2 / -0.33

    Which among the following is Not an application of Newton’s third Law of Motion?

    Solution

    A fielder pulling his hand backward while catching a ball is an application of newton’s second law of motion.

    Newton's Second Law of motion states that the rate of change of momentum of an object is proportional to the applied force in the direction of the force. ie., F=ma. Where F is the force applied, m is the mass of the body, and a is the acceleration produced.

    Newton's Third Law of Motion states that 'To every action there is an equal and opposite reaction'.

    A fielder pulls his hand backward; while catching a cricket ball coming with a great speed, to reduce the momentum of the ball with a little delay. According to Newton's Second Law of Motion; rate of change of momentum is directly proportional to the force applied in the direction.

  • Question 10
    2 / -0.33

    During inelastic collision of two particles, which one of the following is conserved ?

    Solution

    Explanation:

    • Momentum is conserved in all collisions.
    • In elastic collision, kinetic energy is also conserved.
    • In inelastic collision, kinetic energy is not conserved. In perfectly inelastic collision, objects stick together after collision.

    Perfectly elastic collision:

    If law of conservation of momentum and that of kinetic energy hold good during the collision.

    Inelastic collision:

    If law of conservation of momentum holds good during collision while that of kinetic energy is not.

    Coefficient of restitution (e)

    • For perfectly elastic collision, e = 1
    • For inelastic collision, e < 1
    • For perfectly inelastic collision, e = 0
  • Question 11
    2 / -0.33

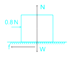
    A 1kg block is resting on a surface with co effcient of friction, µ = 0.1. A force of 0.8N is applied to the block as shown in figure. The friction force in Newton is

    Solution

    Concept:

    The friction force is given by:

    f = μN

    where μ is the coefficient of friction between the surfaces in contact, N is the normal force perpendicular to friction force.

    Calculation:

    Given:

    μ = 0.1, m = 1 kg, F = 0.8 N

    Now, we know that

    From the FBD as shown below

    Normal reactionN = mg = 1 × 9.81 = 9.81 N

    Limiting friction force between the block and the surface, f = μN =  0.1 × 9.81 = 0.98 N

    But the applied force is 0.8 N which is less than the limiting friction force.

    ∴ The friction force for the given case is 0.8 N.

  • Question 12
    2 / -0.33
    Two blocks of equal masses are made. One of them is smooth and the other is rough with coefficient of friction 0.20 with the floor. The smooth block is moving at 20 m/s towards the rough block at rest. If their collision is perfectly elastic, then the distance travelled by the rough block will be ______
    Solution

    Concept:

    Conservation of momentum:

    20 m = m v1 + m v2 ; v1, v2 → velocity of smooth and rough after impact

    \(e = \frac{{velocity\;of\;separation}}{{velocity\;of\;approach}}\)

    \(e = \frac{{{v_2} - {v_1}}}{{20}}\)

    Perfectly elastic, e = 1

    Calculation:

    e = 1 ⇒ v2 – v1 = 20     

    ∴ v2 = v1 + 20

    or  v1 = v2 – 20

    Also, v1 + v2 = 20

    ∴ v2 = 20 m/s, v1 = 0 m/s

    Friction retardation on rough block, a = μg

    ∴ Distance travelled = v2 – u2 = 2as

    ⇒ - 400 = - 2μgs

    s = 200/μg

    ∴ s = 101.936 m

    Note:

    When perfect elastic impact occurs between two identical mass out of which one is at rest, then velocities are exchanged.

  • Question 13
    2 / -0.33

    Four forces of magnitudes 20 N, 40 N, 60 N and 80 N are acting respectively along the four sides of a square ABCD as shown in figure. The magnitude of resultant is

    Solution

    Concept:

    Calculating net horizontal and vertical forces,

    The magnitude of resultant force is, F = \(\sqrt {{{\left( {{\rm{\Sigma }}{{\rm{F}}_V}} \right)}^2} +{{\left( {{\rm{\Sigma }}{{\rm{F}}_H}} \right)}^2}} \)

    Calculation:

    Given:

    ΣFv = 40 – 80 = -40 N

    ΣFH = 20 – 60 = -40 N

    Resultant force:

    F = \(\sqrt {{{\left( {{\rm{\Sigma }}{{\rm{F}}_V}} \right)}^2} + \;{{\left( {{\rm{\Sigma }}{{\rm{F}}_H}} \right)}^2}} \)

    F = \(\sqrt {{{\left( { - 40} \right)}^2} + \;{{\left( { - 40} \right)}^2}}\) = \(\sqrt {3200}\) = 40\(\sqrt 2 \) N

  • Question 14
    2 / -0.33

    A body moves with a speed of 10 m/s in the curved path of 25 m radius of curvature. If the tangential acceleration is 3 m/s2, then total acceleration for the body will be:

    Solution

    CONCEPT:

    Centripetal Acceleration (ac): 

    • Acceleration acting on the object undergoing uniform circular motion is called centripetal acceleration.
    • It always acts on the object along the radius towards the center of the circular path.
    • The magnitude of centripetal acceleration,


  • Question 15
    2 / -0.33

    The CG of a semicircular plate of 66 cm diameter, from its base, is

    Solution

    Concept:

    The CG of a semicircular plate of  r radius, from its base, is

  • Question 16
    2 / -0.33

    A Train of length 500 m is travelling in 30° north east direction with a uniform acceleration of 0.2 m/s2 and at t = 0, it has a speed of 54 kmph. At the same time (t = 0), a Benz car started from different location from rest and travelling in east direction with a uniform acceleration of 0.4 m/s2. At t = 25 sec, a passenger sitting in Benz observed the train on his left side.

    (Assume the angle is measured from east direction)

    Solution

    Concept:

    If the person is sitting in train and observing train velocity, he will observe the train is at rest as the relative velocity of train w.r.t person is zero.

    VTP = VT – VP = VT – VT = 0

    If the person is outside the train and stationery, he will observe the actual speed of train.

    VTP = VT – VP = VT – 0 = VT

    If the person is sitting in another vehicle and observing the train, the observed train velocity will be different.

    VTP = VT – VP ⇒ VT = VTP + VP

    Hence, the vectors VT, VP and VTP constitute a triangle.

    Calculation:

    Given uT = 54 kmph = 15 m/s; uB = uP = 0; aT = 0.2 m/s2; aP = 0.4 m/s2;

    At t = 25 sec,

    VT = uT + aT t = 15 + 0.2 × 25 = 20 m/s;

    VP = uP + aP t = 0 + 0.4 × 25 = 10 m/s;

    Now both the velocities’ directions are different, let’s solve in each direction separately,

    We will assume, East direction as positive x – axis and North direction as positive Y – axis.

    VTX = 20 × cos 30° = 17.32 m/s;

    VTY = 20 × sin 30° = 10 m/s;

    VPX = 10 × cos 0° = 10 m/s

    VPY = 10 × sin 0° = 0 m/s;

    VTPX = VTX – VPX = 7.32 m/s;

    VTPY = VTY – VPY = 10 – 0 = 10 m/s;

    Since Both the east component and north component are positive, the direction of Relative velocity vector lies in 1st quadrant,

    ∴ Passenger observes the train moving in north east direction (Option 2)

    For angle,

    \(\tan \theta = \frac{{{V_{TPY}}}}{{{V_{TPX}}}} = \frac{{10}}{{7.32}} = 1.366\) 

    ⇒ θ = 53.8°

    As the angle is measured from East direction, so θ = 53.8° (Option 3)

    This problem can also be solved using Velocity triangle approach.

    Mistake points:

    The angle calculated (θ) is the angle with East direction (+ve x-axis)

    If the angle is measured from north direction, then the answer will be 90 - θ degrees.

  • Question 17
    2 / -0.33
    A bullet is fired from a gun. The force on the bullet is given by F = 600 – 2 × 105 t where F is in newton and t in seconds. The force on the bullet becomes zero as soon as it leaves the barrel. What is the average impulse imparted to the bullet?
    Solution

    Concept:

    Impulse \((I) = \mathop \smallint \limits_0^t F.dt\)

    Calculation:

    Given:

    F = 600 - 2 × 105 t

    Now,

    When F = 0

    600 – 2 × 105 t = 0

    ⇒ t = 3 × 10-3 s

    Now,

    \(I = \mathop \smallint \limits_0^t F.dt = \mathop \smallint \limits_0^t \left( {600 - 2 × {{10}^5}t} \right)dt = 600t - {10^5}{t^2}\)

    I = 600 (3 × 10-3) – 105 (3 × 10-3)2

    ∴ I = 1.8 - 0.9

    ∴ I = 0.9 N.s

  • Question 18
    2 / -0.33

    A particle starts from rest and moves in a straight line whose equation of motion is given by S = 2t3 - t2 - 1. The acceleration of the particle after one second will be-

    Solution

    Concept:

    If s = f(t)

    Then, First derivative with respect to time represents the velocity

  • Question 19
    2 / -0.33

    The ratio of moment of inertia of a circular plate to that of a square plate for equal depth is

    Solution

    Concept:

    Moment of inertia of circular plate,

    Calculation:

    The ratio of the moment of inertia of a circular plate to that of a square plate is, Which is less than 1.

  • Question 20
    2 / -0.33

    In an IPL match between MI and RCB, Chahal bowled a full toss delivery to Rohit, Rohit pulled it away for a maximum. The mass of the ball is 160 gms and the mass of the Rohit’s bat is 1.5 kg. The speed of ball is 90 kmph just before the hit and 144 kmph just after the hit. The bat swing speed just before hitting the ball is 54 kmph and the ball is in contact with the bat for 3 ms.

    (Assume hitting the ball with bat as a 1D collision)

    Solution

    Concept:

    It is assumed hitting the ball with a bat as a 1D collision. During a collision, the momentum is conserved.

    Momentum lost by bat = Momentum gained by bat

    Mbat ubat - Mbat Vbat = Mball Vball - Mball uball

    Impulse on the ball will be change in momentum

    I = d(mv)

    Average force exerted by bat on the ball will be

    F = I/Δt

    Calculation:

    Given:

    Mball = 160 gms = 0.16 kg; Mbat = 1.5 kg; uball = 90 kmph = 25 m/s;

    Vball = 144 kmph = 40 m/s; ubat = 54 kmph = 15 m/s; Δt = 3 ms = 0.003 s

    Conservation of momentum:

    1.5 × 15 + 0.16 × 25 = 0.16 × 40 + 1.5 × Vbat

    ⇒ Vbat = 13.4 m/s = 48.24 kmph (Option 4)

    Impulse = change in momentum = Mball (uball – (Vball))

    ⇒ I = 0.16 (25 – (- 40)) = 10.4 kg m/s (Option 2)

    Average force exerted is given by

    Favg = I/Δt = 10.4/0.003 = 3.46 kN (Option3)

    Mistake point:

    While calculating impulse, directions of velocities are also needed to be considered because directions play a key role in kinematic analysis.

    If direction not considered, I = 0.16 × 15 = 2.4 kg.m/s

  • Question 21
    2 / -0.33

    A rubber ball is thrown vertically upward with a velocity u from the top of a building. It strikes the ground with a velocity 3u. The time taken by the ball to reach the ground is given by:

    Solution

    Concept:

    Equation of motion:

    • The mathematical equations used to find the final velocity, displacements, time, etc of a moving object without considering the force acting on it are called equations of motion.
    • These equations are only valid when the acceleration of the body is constant and they move in a straight line.

    There are three equations of motion:

    where, v = final velocity, u = initial velocity, s = distance travelled by the body under motion, a = acceleration of body under motion, and t = time taken by the body under motion.

    Calculation:

    Given:

    Part-I:

    When the ball will reach the highest point then the final velocity will be zero.

    Initial velocity = u m/sec, final velocity = 0 m/sec, acceleration = -g m/sec2

    applying 1st equation of motion

  • Question 22
    2 / -0.33

    The resultant of two equal forces P making an angle θ, is given by

    Solution

    To find the resultant of two equal forces P making an angle θ, we use the formula for the resultant of two forces:

  • Question 23
    2 / -0.33

    The motion of a particle moving along a curve is defined by y = x3- 3x + 150, starting with an initial velocity of \(\overrightarrow {{V_0}} = 3\hat i - 14\hat j\) m/s. If Vx is constant, then which of the following statements are true at x = 5 m?

    Solution

    Concept:

    \({V_y} = \frac{{dy}}{{dt}}\)

    \({a_y} = \frac{{{d^2}y}}{{dt}}\)

    Calculation:

    Given

    y = x3-3x+150

    From, \(\overrightarrow {{V_0}} = 3\hat i - 14\hat j\)

    Vx = 3 m/s (Constant)

    \({V_y} = \frac{{dy}}{{dt}} = 3{x^2}{V_x} - 3{V_x}\)

    \({V_y} = 3{x^2}\left( 3 \right) - 3\left( 3 \right)\)

    \({V_y} = 9{x^2} - 9\)      (1)

    \({a_y} = 18x\)      (2)

    Substitute x = 5 in (1) and (2)

    Vy = 216 m/s

    ay = 90 m/s2

  • Question 24
    2 / -0.33

    Moment of inertia of a circular section about an axis perpendicular to the section is

    Solution

    Moment of inertia for a circular section about an axis perpendicular to the section is given by , where d is the diameter of the circle. Therefore, the correct answer is Option C.

  • Question 25
    2 / -0.33

    What is Engineering Mechanics?

    Solution

    The application of mechanics to issues involving common engineering aspects is known as engineering mechanics. The purpose of the Engineering Mechanics course is to expose students to mechanics problems as they are applied to realistic circumstances.

Self Studies
User
Question Analysis
  • Correct -

  • Wrong -

  • Skipped -

My Perfomance
  • Score

    -

    out of -
  • Rank

    -

    out of -
Re-Attempt Weekly Quiz Competition
Self Studies Get latest Exam Updates
& Study Material Alerts!
No, Thanks
Self Studies
Click on Allow to receive notifications
Allow Notification
Self Studies
Self Studies Self Studies
To enable notifications follow this 2 steps:
  • First Click on Secure Icon Self Studies
  • Second click on the toggle icon
Allow Notification
Get latest Exam Updates & FREE Study Material Alerts!
Self Studies ×
Open Now