Self Studies

Structural Analysis Test 2

Result Self Studies

Structural Analysis Test 2
  • Score

    -

    out of -
  • Rank

    -

    out of -
TIME Taken - -
Self Studies

SHARING IS CARING

If our Website helped you a little, then kindly spread our voice using Social Networks. Spread our word to your readers, friends, teachers, students & all those close ones who deserve to know what you know now.

Self Studies Self Studies
Weekly Quiz Competition
  • Question 1
    2 / -0.33

    Find the ration of the support moments, MA : MB (flexural rigidity is constant)

    Solution

  • Question 2
    2 / -0.33

    A plane truss is shown below

    The members who do not carry any force are:

    Solution

    I. Member LK, LA and LB are meeting at joint ‘L’ and AL and LK re co-linear so force in the member LB is zero.

    FLB = 0

    II. Member FG, FE, and FD are meeting at joint F, So force in the member FD = 0

    FFD = 0

    III. Removing Member LB, DF, thus member BK, BC and BA meets at point B out of which BA and BC are co-linear and vice versa for member DG, DC and DE.

    So, FBK = 0

    FDG = 0

    IV. Similarly, Member HM, HI and HG are meeting at joint H

    FHM = 0

  • Question 3
    2 / -0.33

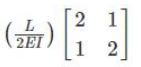
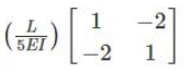
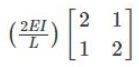
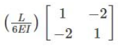
    The stiffness matrix of a beam element is

    Which one of the following is its flexibility matrix?

    Solution

  • Question 4
    2 / -0.33

    A cable carrying a load of 20 kN/m run of the horizontal span, is structured at supports 100 m apart. The supports are at the same level and the central dip is 12.5 m. Find the least tension in the cable.

    Solution

  • Question 5
    2 / -0.33

    Total degree of indeterminacy (both internal and external) of the plane frame shown in the given figure is

    Solution

    The degree of indeterminacy,

    Number of external reactions = re
    = 3 + 3 + 3 + 3 = 12
    Number of rigid joints,
    j= 10
    Number of joints at which releases are located, 
    j= 1
    Number of members, 
    m = 12
    As the hinge is located at a point where 4 members meet. Hence it is equivalent to three hinges.
    Therefore number of releases, r= 3.

  • Question 6
    2 / -0.33

    Consider the following statements:

    The principle of superposition is not applicable when

    1. The material does not obey Hooke’s law

    2. The effect of temperature changes are taken into consideration

    3. The structure is being analysed for the effect of support settlement

    Which of these statement (s) is/are correct?
    Solution

    Concept

    According to the principle of superposition

    For a linearly elastic structure, the load effects caused by two or more loadings are the sum of the load effects caused by each loading separately.

    Note that the principle is limited to:

    • Linear material behaviour only;

    • Structures undergoing small deformations only (linear geometry).

    It is not applicable when:

    1. The material does not obey Hooke’s law.

    2. The effect of temperature changes are taken into consideration.

    3. The structure is being analysed for the effect of support settlement.
  • Question 7
    2 / -0.33

    If there are m unknown member forces, r unknown reaction components and j number of joints, then the degree of static indeterminacy of a pin-jointed plane frame is given by​

    Solution

    Ds for a pin jointed frame = m+r-2j

    Ds for a rigid jointed frame = 3m+r -3j

    m- No. of members, r- no. of reactions, j- no. of joints

  • Question 8
    2 / -0.33

    Degree of kinematic indeterminacy of a pin jointed plane frame is given by where j is number of joints and r is reaction components.

    Solution

    Dk = 2j –r for a pin jointed frame

    Dk = 3j –r for a rigid jointed frame

    j number of joints and r number of reactions.

  • Question 9
    2 / -0.33

    The degree of kinematic indeterminacy of a pin-jointed space frame is given by

    Solution

    Kinematic indeterminacy refers to the number of possible independent movements of a structure.
    - For a pin-jointed space frame, each joint has 3 degrees of freedom (translations in x, y, and z directions).
    - Formula: (3j - r), where (j) is the number of joints and (r) is the number of reaction components or constraints.
    - This formula accounts for the three-dimensional nature of space frames, unlike planar frames, which have 2 degrees of freedom per joint.

  • Question 10
    2 / -0.33

    The degree of static indeterminacy of the pin- jointed plane frame shown in figure is

    Solution

  • Question 11
    2 / -0.33

    The portal frame as shown in the given frame is statically indeterminate to the

    Solution

    m=3; r= 3+3 =6 ; j=4

    Ds = 3m+r-3j = 3(3) + 6 -3(4) = 3

  • Question 12
    2 / -0.33

    A perfect plane frame having n number of members and j number of joints should satisfy the relation​

    Solution

    A perfect plane frame means a determinate structure, so

  • Question 13
    2 / -0.33

    Neglecting axial deformation, the kinematic indeterminacy of the structure shown in the figure below is

    Solution

    j = 11; r=8; m=11

    Dk = 3j-r-no. of inextensible members = 3(11) – 8 -11 = 14

  • Question 14
    2 / -0.33

    If 4 reactions are acting on a beam, then the system is:-

    Solution

    4 reactions mean that the system is definitely indeterminate. But stability would depend upon the nature of forces acting on the planar structure.

  • Question 15
    2 / -0.33

    What is the degree of static indeterminacy of the plane structure as shown in the figure below?

    Solution

    For plane truss degree of indeterminacy,

    Ds = m + re - 2j

    re = 4; m= 10; j = 5

    Ds = 4 + 10 - 2 x 5 = 4

  • Question 16
    2 / -0.33

    Which one of the following structures is statically determinate and stable?

    Solution

    A structure will be statically determinate if the external reactions can be determined from force- equilibrium equations. A structure is stable when the whole or part of the structure is prevented from large displacements on account of loading.

    The structure in figure (b) is stable but statically indeterminate to the second degree.

    The structure shown in figure (c) has both reaction components coinciding with each other, so the moment equilibrium condition wilt never be satisfied and the structure will not be under equilibrium. In figure'(a), the structure is stable and there are three reaction components which can be determined by two force equilibrium conditions and one moment equilibrium condition.

  • Question 17
    2 / -0.33

    The degree of static indeterminacy of the rigid frame having two internal hinges as shown in the figure below is

    Solution

    Ds=Dse+Dsi
    Dss= rE- 3
    = 4 - 3 = 1
    Dsi = 3C - r= 3C - ∑(m1- 1)
    = 3 x 2 -(2-1) +(2-1)
    = 6 - 2 = 4 
    ∴ Ds = Dss + Dsi = 5

  • Question 18
    2 / -0.33

    The pin-jointed frame shown in the figure is

    Solution

    Degree of indeterminacy,

    n = (m + rE) - 2j

    = (9 + 3 ) - 2 x 6 = 0

    Since the degree of indeterminacy is zero and the frame is stable so it is a perfect frame.

  • Question 19
    2 / -0.33

    When a series of wheel loads crosses a simply supported girder, the maximum bending moment under any given wheel load occurs when

    Solution

    The centre of span is midway between the centre of gravity of the load system and the wheel load under consideration

  • Question 20
    2 / -0.33

    The influence line diagram for bending moment at section X(Mx), at a distance of 4 m from the left support of a simply supported girder AB is shown in figure below. A uniformly distributed load of intensity 2t/m longer than the span crosses the girder from left to right.

    The maximum bending moment at section X is equal to

    Solution

    The maximum bending moment at section-Xwill occur when UDL occupies the whole span.

    Maximum bending = Area under the influence line diagram

  • Question 21
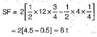
    2 / -0.33

    The influence line for shear at section x (Fx) at a distance of 4 m from the left supported girder AB is shown in figure

    The shear force at section oe due to a uniformly distributed dead load of intensity 2 t/m covering the entire span will be

    Solution

    SF will be equal to-the area under the influence line diagram,

  • Question 22
    2 / -0.33

    Three wheel loads 10t, 26t and 24t spaced 2m apart roll on a girder from left to right with the 10t load leading. The girder has a span of 20 meter. For the condition of maximum bending moment at a section 8 meter from the left end.

    Solution

    Maximum bending moment at a section occurs when a particular load is on the section which changes the ratio

  • Question 23
    2 / -0.33

    Considering the symmetry of a rigid frame as shown below, the magnitude of the bending moment (in kNm) at P (preferably using the moment distribution method) is 

    Solution

    Given:

    Distribution Factor:

    Joint

    Member

    Relative stiffness

    Total relative stiffness

    Distribution factor

    B

    BA

    \({\rm{I/6\;}}\)

    \({\rm{2I/3\;}}\)

    1/4

    BP

    \({\rm{4I/8\;}}\)

    3/4

    P

    PB

    \({\rm{4I/8\;}}\)

    \({\rm{7I/6}}\)

    3/7

    PE

    \({\rm{I/6\;}}\)

    1/7

    PC

    \({\rm{4I/8\;}}\)

    3/7

    C

    CP

    \({\rm{4I/8\;}}\)

    \({\rm{2I/3\;}}\)

    3/4

    CD

    \({\rm{I/6\;}}\)

    1/4

    Fixed End Moments:

    MAB = MBA = MPE = MEP = MCD = MDC = 0

    \({{\rm{M}}_{{\rm{BP}}}} = - \frac{{{\rm{W}}{{\rm{L}}^2}}}{{12}} = - \frac{{24 \times {8^2}}}{{12}} = - 128{\rm{\;kN}}.{\rm{m}}\)

    \({{\rm{M}}_{{\rm{PB}}}} = \frac{{{\rm{W}}{{\rm{L}}^2}}}{{12}} = \frac{{24 \times {8^2}}}{{12}} = 128{\rm{\;kN}}.{\rm{m}}\)

    \({{\rm{M}}_{{\rm{PC}}}} = - \frac{{{\rm{W}}{{\rm{L}}^2}}}{{12}} = - \frac{{24 \times {8^2}}}{{12}} = - 128{\rm{\;kN}}.{\rm{m}}\)

    \({{\rm{M}}_{{\rm{CP}}}} = \frac{{{\rm{W}}{{\rm{L}}^2}}}{{12}} = \frac{{24 \times {8^2}}}{{12}} = 128{\rm{\;kN}}.{\rm{m}}\)

    Distribution Table:

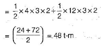
    Hence the magnitude of bending moment at P is 176 kNm

  • Question 24
    2 / -0.33

    A symmetrical two-hinged parabolic arch rib has a span of 32 m between abutment pins at the same level and a central rise of 5 m. When a rolling load of 100 kN crosses the span, the maximum horizontal thrust at the hinges will be

    Solution

    Maximum Horizontal Thrust occurs when the load is at center and is given by
    H = (25WL)/(128h)
    W = Concentrated Load = 100kN
    Span= L = 32m; Rise= h=5m
    Substituting the values we get H=125kN

  • Question 25
    2 / -0.33

    In a two hinged arch an increase in temperature induces

    Solution

    Increase in temperature in a two hinged arch (degree of indeterminacy one ) will cause horizontal thrust only.

    Moment due to horizontal thrust is -Hy

    So, max B.M will be at crown as crown has height value of y.

Self Studies
User
Question Analysis
  • Correct -

  • Wrong -

  • Skipped -

My Perfomance
  • Score

    -

    out of -
  • Rank

    -

    out of -
Re-Attempt Weekly Quiz Competition
Self Studies Get latest Exam Updates
& Study Material Alerts!
No, Thanks
Self Studies
Click on Allow to receive notifications
Allow Notification
Self Studies
Self Studies Self Studies
To enable notifications follow this 2 steps:
  • First Click on Secure Icon Self Studies
  • Second click on the toggle icon
Allow Notification
Get latest Exam Updates & FREE Study Material Alerts!
Self Studies ×
Open Now