Self Studies

Soil Mechanics Test 1

Result Self Studies

Soil Mechanics Test 1
  • Score

    -

    out of -
  • Rank

    -

    out of -
TIME Taken - -
Self Studies
Weekly Quiz Competition
  • Question 1
    2 / -0.33

    The unconfined compressive strength of an undistributed soil sample is found to be 60 kPa. The same soil is tested in remoulded condition and the unconfined compressive strength is obtained as 12 kPa. It can be classified as a

    Solution

    Concept:

    Sensitivity is defined as the ratio of undisturbed strength to that of the remoulded strength.

    \(Sensitivity = \frac{{Undisturbed\;strength}}{{Remoulded\;strength}}\)

    Sensitivity

    Nature of soil

    1

    Insensitive

    1 to 4

    Normal

    4 to 8

    Sensitive

    8 to 16

    Extra sensitive

    >16

    Quick

    Calculation:

    qu(undisturbed) = 60 kPa

    qu(remoulded) = 12 kPa

    Sensitivity \(= \frac{{{{\left( {{q_u}} \right)}_{undisturbed}}}}{{{q_{u\;\left( {remoulded} \right)}}}} = \frac{{60}}{{12}} = 5\)

    ∵ Sensitivity lies between 4 – 8.

    It is a sensitive soil.

  • Question 2
    2 / -0.33

    If the plasticity index of a soil is 45%, then the soil will be:

    Solution

    Plasticity index (PI) is the range of water content over which the soil remains in the plastic state. Mathematically defined as,

    Plasticity Index = Liquid Limit (wL) – Plastic Limit (wp)

  • Question 3
    2 / -0.33

    Consider the following statements. The incorrect statement is:

    Solution
    1. Water content is the ratio of the mass of water to the mass of solids. It can be greater than 100%.
    2. The degree of saturation has ranged from 0% to 100%.
    3. The porosity cannot be greater than 100%.
    4. The void ratio of soil can be greater than 1.
  • Question 4
    2 / -0.33

    Match List I (Roller type) with List II (Soil type) and select the correct answer using the codes given below.

     

    List I

     

    List II

    P.

    Smooth wheeled Roller

    (i)

    All soil in confined areas.

    Q

    Rammers

    (ii)

    Plastic cohesive soil.

    R

    Sheepsfoot roller

    (iii)

    Silty soil of low plasticity.

    S

    Pneumatic tyred Roller

    (iv)

    Granular soil or crushed rocks.

    Solution

    Suitability of Compaction Equipment

    Type of equipment

    Suitability of soil type

    Nature of project

    Rammers or tampers

    All soils

    In confined areas such as fills behind retaining walls, basement walls, etc. Tench fills

    Smooth wheeled rollers

    Crushed rocks, gravels, sands

    Roads construction etc.

    Pneumatic tyred rollers

    Sands, gravels silts, clayey soils, not suitable for uniformly graded soil

    Base, sub-base and embankment compaction for highways, airfields, etc, Earth dams

    Sheepsfoot rollers

    Clayey soil

    Core of earth dams

    Vibratory rollers

    Sands

    Embankments for oil storage tanks, etc.

  • Question 5
    2 / -0.33

    Directions For Questions

    The term ‘Loess’ indicates those soils which are

    1. Uniformly graded

    2. Poorly graded

    3. Made up of more than 50% sand size particles

    4. Made up of more than 50% of silt particles

    5. These are transported by winds

    ...view full instructions

    Which of the above statements are correct:

    Solution
    • Loess is an Aeolian Sediment i.e. transported by winds.
    • These contain fine particles like silt and clay (typically in the 20–50 micrometer size range). 
    • Loess is uniformly graded soil. It is usually homogeneous and highly porous and is traversed by vertical capillaries that permit the sediment to fracture and form vertical bluffs.
  • Question 6
    2 / -0.33

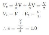
    In wet soil mass, air occupies 1/6 of its volume and water occupies 1/3 of its volume. The void ratio of the soil is

    Solution

    Voids ratio: It is defined as the ratio of the total volume of voids to the volume of solids in a given soil mass.

    Void ratio, e = V/ Vs

    e > 0, voids ratio has no upper limit

    Vv = air void (Va) + water filled voids (Vw)

    Calculation:

    Given,

    Va = 1/6 of V

    Vw = 1/3 of V

    Vv = Va + Vw = V/2

  • Question 7
    2 / -0.33

    The vertical stress at any point at a radial distance r and at depth z as determined by using Boussinesq’s influence factor KB and Westergaard’s influence factor KW would be almost same for (r/z) ratios equal to or greater than

    Solution

    Concept:

    Vertical stress increment at a any depth (z) at a radial distance (r) is given by:

    \({\rm{\Delta }}{\sigma _z} = {K}\frac{Q}{{{z^2}}}\)

    Where,

    Boussinesq’s influence factor (kB):

    \({k_B} = \frac{3}{{2\pi }}{\left[ {\frac{1}{{1 + {{\left( {\frac{r}{z}} \right)}^2}}}} \right]^{\frac{5}{2}}}\)

    Wester guard’s influence factor (kW):

    \({k_w} = \frac{1}{\pi }{\left[ {\frac{1}{{1 + 2{{\left( {\frac{r}{z}} \right)}^2}}}} \right]^{\frac{3}{2}}}\)

    When r/z > 1.5, 

    Westergaard formula for vertical stress will give greater value of stress than that of by Boussinesq’s formula.

  • Question 8
    2 / -0.33
    A protective filter is provided on the down stream of an earthen dam in order to reduce uplift pressure and erosion of soil. In order to avoid any significant invasion of particles from protected material into the filter, the correct option is
    Solution

    Concept:

    Prevention of Erosion:

    Two approaches are used to prevent possibility of erosion and piping.

    1. Control of seepage and seepage force: By providing cut off wall, increasing flow path by providing impervious blanket.

    2. Use of protective filter: Use of protective filter prevents erosion and reduces uplift pressure. A protective filter consists of one are more layer of coarse-grained material placed over a less pervious soil called the base.

    • A filter will prevent the migration of finer particles but without inhibiting the flow of seepage water, so there is hardly any loss of head. This ensures that within the filter itself, seepage forces are reduced.
    • If voids in the filter are much larger than the fine grains of the protected material, these grains are likely to be washed into the voids of the filter material and would ultimately obstruct the free flow.
    • On the other hand if voids are too small, seepage forces will develop to unacceptable levels

    Filter specifications:

    1. \(\frac{{{D_{15\left( {filter} \right)}}}}{{{D_{85\left( {protected\;material} \right)}}}} < 5\)

    It ensures that no significant invasion of particles from the protected material to the filter. (Governs the upper limit of grain size of filter matter).

    2. \(4 < \frac{{{D_{15\left( {filter} \right)}}}}{{{D_{15\left( {protected\;material} \right)}}}} < 20\)

    It ensures that sufficient head is lost in filter without build up of seepage pressure (specifies the lower limit of material).

    3. \(\frac{{{D_{50\left( {filter} \right)}}}}{{{D_{50\left( {protected\;material} \right)}}}} < 25\)

    This is the additional guideline for the selection of material.

  • Question 9
    2 / -0.33
    Groundwater flows through an aquifer with cross-sectional and of 1.0 × 104 m2 and a length of 1500 m. Hydraulic heads are 300 m and 250 m at the groundwater entry and exit points in the aquifer,  respectively. Groundwater discharges into a stream at the rate of 750 m3/day. Then the hydraulic conductivity of the aquifer is 
    Solution

    Concept:

    From Darcy’s Law of ground water flow, it is known that,

    \({\rm{Q}} = {\rm{kiA}}\)

    Where Q is discharge or rate of flow through the aquifer,

    k is hydraulic conductivity of the aquifer,

    A is cross sectional area of the aquifer,

    i is hydraulic gradient and given by the ratio of difference in hydraulic heads to length of the aquifer.

    Calculation:

    \({\rm{Hydraulic\;gradient}},{\rm{\;i}} = {\rm{\;}}\frac{{{\rm{Difference\;in\;hydraulic\;heads}}}}{{{\rm{length\;of\;the\;aquifer}}}} = \frac{{300 - 250}}{{1500}} = \frac{1}{{30}}\)

    Discharge, Q = 750 m3/day

    Cross sectional area, A = 1.0 × 104 m2.

    Q = kiA

    \(750 = {\rm{k}} \times \frac{1}{{30}} \times 1.0{\rm{\;x\;}}{10^4}{\rm{\;\;}}\)

    \({\rm{k}} = 2.25\frac{{\rm{m}}}{{{\rm{day}}}}\) 

     ∴ The hydraulic conductivity of the aquifer is 2.25 m/day.

  • Question 10
    2 / -0.33

    The given figure indicate the weights of different pycnometers:

    The specific gravity of the solids is given by

    Solution

    Specific gravity of solids is the ratio of weight of given volume of solids to the weight of equivalent volume of water at 4° C.

    Specific gravity is usually reported at 27°C and determined using pycnometer. It is given by 

    W= Mass of empty volume of pycnometer

    W2 = Mass of pycnometer + Mass of moist sample

    W3 = Mass of pycnometer + soil + water

    W4 = Mass of pycnometer full of water

    Gs = Specific gravity of soil solids

  • Question 11
    2 / -0.33
    In a Newmarks influence chart for stress distribution, there are 10 concentric circle and 30 radial lines. The influence factor the chart is α × 10-3 .The value of α is (up to 2 decimal places)
    Solution

    Concept:

    Newmark’s influence chart: It is a graphical method used to compute vertical, horizontal and shear stress due to uniformly distributed load over an area of any shape or geometry, below any point that lies either below or outside the loaded area. It is based on Boussinesq’s equation.

    Stress below any point is calculated as :-

    \({{\rm{\sigma }}_{\rm{z}}}{\rm{\;}} = {\rm{\;}}\frac{1}{{{\rm{m}} \times {\rm{n}}}} \times {\rm{q}} \times {\rm{N\;}}\)

    where,

    m = No. of concentric circles, n = No. of Radial lines, q = Intensity of load, and N = Equivalent number of areas covered by plan area.

    The product \(\left( {\frac{1}{{m \times n}}} \right)\) is called influence factor.

    Calculation:

    m = 10, n = 30

    \({I_f} = \frac{1}{{m\; \times \;n}} \Rightarrow {I_f} = \frac{1}{{30\; \times \;10}} = 0.003\)
  • Question 12
    2 / -0.33
    The bulk unit weight of a soil strata is 18 kN/m3 and the water content is 20%. The specific gravity of the soil particles is determined as 2.7. The void ratio at the loosest and the densest state is found to be 0.90 and 0.30 respectively. The relative density of the soil strata is ______ (in % up to 2 decimal places)
    Solution

    Concept:

    \({\gamma _t} = \frac{{{G_s}\left( {1\; + \;w} \right){\gamma _w}}}{{1\; + \;e}}\)

    Relative Density or Density Index: Degree of denseness and coarseness of natural deposits of coarse grained soil is measured by its relative density.

    \({D_r} = \frac{{{e_{max}} - {e_{natural}}}}{{{e_{max}} - {e_{min}}}} \times 100\)

    Calculation:

    Gs = 2.7, w = 20%, γt = 18 kN/m3, γw = 9.81 kN/m3

    Under natural conditions:-

    \({\gamma _t} = \frac{{{G_s}\left( {1\; + \;w} \right){\gamma _w}}}{{1\; + \;e}} \Rightarrow 18 = \frac{{2.7\; \times \;\left( {1\; + \;0.2} \right)\; \times \;9.81}}{{1\; + \;e}}\)  e = 0.7658 

    emax = 0.90 and emin = 0.30

    \(\therefore {D_r} = \frac{{{e_{max}} - {e_{nat}}}}{{{e_{max}} - {e_{min}}}} \times 100 = \frac{{0.9 - 0.7658}}{{0.9 - 0.3}} \times 100\) = 22.37 %

  • Question 13
    2 / -0.33
    Two different soil specimens were subjected to the shear strength test. Of which, the first soil specimen failed at the deviator stress of 500 kN/m2 when the cell pressure of 400 kN/m2 was recorded in the triaxial shear apparatus. The second soil sample with the coefficient of internal friction of 30° was subjected to a direct shear test. The proving ring constant value is 0.0001 N/μm and the soil failed at the constant normal stress of 600 kN/m2 when the dial gauge reading was observed to be 50. Take the area of soil sample at failure is 100 cm2. What is the ratio of cohesion for the soil specimen 1 and the soil specimen 2?
    Solution

    Concept:

    For Direct shear test:

    Shear strength of soil (τ) = kN/A

    k = proving ring constant, N = Dial gauge reading and A = failure area

    Using Mohr - Columbus Criteria

    Shear strength of soil specimen is given by

    τ = c’ + σ’ tan∅

    c’ = effective cohesion, σ' = effective normal stress

    Relation between major and minor principle stress in terms of C and ∅

    σ1 = σ3 tan2 (45 + ∅/2) + 2c {tan (45 + ∅/2)}

    σ1 = Major principle test, and σ3 = Minor principle test

    Calculations:

    Soil specimen 1:

    Deviator stress (σd) = 500 kN/m2

    Cell Pressure is the minor principle stress (σ3) = 400 kN/m2

    Major principle stress (σ1) = σd + σ3 = 500 + 400 = 900 kN/m2

    Using the relation:

    σ1 = σ3 tan2 (45 + ∅/2) + 2c {tan (45 + ∅/2)}       ……. (∅ = 0)

    900 = 400 × tan2 (45) + 2c1 tan (45)

    c1 = 250 kN/m2

    Soil Specimen 2:

    Given that k = 0.0001 N/μm, N = 50, A = 100 cm2

    \({\rm{\tau }} = \frac{{0.0001 \times 50 \times {{10}^6}}}{{100 \times 1000 \times {{10}^{ - 4}}}} = 500{\rm{\;kN}}/{{\rm{m}}^2}\)

    Using Mohr - Columbus Criteria

    = c’+ σ’ tan∅

    500 = c2 + 600 × tan (30)

    c2 = 153.59 kN/m2

     c1/c2 = 250/153.59 = 1.63
  • Question 14
    2 / -0.33

    A clay sample coated with paraffin wax is weighing 700 gm including the weight of the wax. When the sample is dipped in water, the displaced volume of water is 400 ml and the mass of the wax-coated is 30 gms. The specific gravity of wax is 0.80 and the specific gravity of soil particles is 2.7, if the water content of the sample is 18%, the degree of saturation is

    Solution

    Concept:

    The unit weight of soil mass is determined using Water displacement method in which clay sample is coated with paraffin wax of known volume.

    The dry density of soil is given by \({{\rm{\gamma }}_{\rm{d}}} = \frac{{\left( {\rm{G}} \right) \times {\gamma _w}}}{{1 + e}}\)  

    Degree of Saturation (S): Degree of Saturation of a soil mass is defined as the ratio of the volume of water in the voids to the total volume of voids.

    \(S = \frac{{{V_w}}}{{{V_v}}} \times 100\;\;;0 \le S \le 100\)

    • For a fully saturated soil mass Vv = Vw , hence S = 100%
    • For fully dry soil mass Vw = 0, hence S = 0%


    For partially saturated soil mass degree of saturation varies between 0 – 100%.

    Calculation:

    Specific gravity of wax = 0.8

    Mass of wax = 30 gms

     Mass of soil = 700 – 30 = 670 gms

    Volume of wax \(= \frac{{30}}{{0.8\; \times \;1}} = 37.5\;ml\) = 37.5 cc

     Volume of the soil specimen without wax = 400 – 37.5 = 362.5 ml = 362.5 cc

    Bulk unit weight \(= \frac{{Weight\;of\;soil}}{{Volume\;of\;soil}} = \frac{{670}}{{362.5}}\) = 1.848 gm/cc

    Also,

    \({\gamma _d} = \frac{{{\gamma _t}}}{{1\; + \;w }} \Rightarrow {\gamma _d} = \frac{{1.848}}{{1\; + \;0.18}} \Rightarrow 1.566\;gm/cc\)

    Also, \(\gamma_d = \frac{{{G_s}{\gamma _w}}}{{1\; + \;e}} \Rightarrow 1.566 = \frac{{2.7\; \times \;1}}{{1\; + \;e}}\)

    e = 0.724

    \(eS = w {G_s} \Rightarrow S = \frac{{w {G_s}}}{e} = \frac{{2.7\; \times \;0.18}}{{0.724}}\) = 0.6712 67.12%

  • Question 15
    2 / -0.33
    A group of 9 piles arranged in a square pattern with diameter and length of each pile as 25 cm and 10 m respectively, is used as a foundation in soft clay deposit. Taking the unconfined compressive strength of clay as 120 kN/m2 and the pile spacing as 100 cm center to center, find the load capacity of the group (in kN). Assume the bearing capacity factor Nc = 9 and adhesion factor = 0.75 and a factor of safety against shear may be taken as 2.5.
    Solution

    For computing pile group capacity:

    a) Piles acting individually:

    c = qu/2 = 120/2 = 60 kN/m2

    Qup = Ap × rp + AS × rf

    Where Ap = \(\frac{{\rm{\pi }}}{4}{\left( {0.25} \right)^2}\;\)= 0.04909 m2 and AS = π × (0.25) × 10 = 7.854m2

    rp = c × Nc = 9 c = 9 × 60 = 540 kN/m2

    rf = m × c = 0.75 × 60 = 45 kN/m2

    ∴ Qup = 0.04909 × 540 + 7.854 × 45 = 380 kN

    ∴ Load capacity of 9 piles = 9 × 380 = 3419 kN                     ……. (i)

    b) Pile acting as a group:

    B = 2 x s + d = 2 × 1 + 0.25 = 2.25 m

    Qup = Ap × rp + AS × rf

    Where Ap = B2 = 2.25 × 2.25 = 5.0624 m2; rp = 9 c = 9 × 60 = 540 kN/m2

    As = 4 B × 10 = 4 × 2.25 × 10 = 90 m2; rf = c = 60 kN/m2

    ∴ Qug = 5.0625 × 540 + 90 × 60 = 2733.8 + 5400 = 8133.8 kN           ……. (ii)

    Adopting minimum value of (i) and (ii), the pile group capacity is considered to be 3419 kN

    \(\therefore {{\rm{Q}}_{\rm{a}}} = \frac{{{{\rm{Q}}_{{\rm{u}}.{\rm{min}}}}}}{{\rm{F}}} = \frac{{3419}}{{2.5}} = 1367.6{\rm{\;kN}}\)

  • Question 16
    2 / -0.33

    The water content of a soil sample is found to be 35%. If the percentage of air voids present in the soil sample is 5%. Then compute dry unit weight and air content of the soil sample when the void ratio of the soil sample is 0.65.

    Take specific gravity of soil solids and unit weight of water to be 2.70 and 10 kN/m3.

    Solution

  • Question 17
    2 / -0.33

    Which of the following type of soil is transported by gravitational forces?

    Solution

    Soil carried and deposited by river water are alluvial soils. Deposits made in lakes are lacustrine deposits. Wind transported soil are aeolian deposits. Drift is a general term used for the deposits made by glaciers. Deposits directly made by melting of glaciers are called till. Talus are colluvial soil deposited by gravity.

  • Question 18
    2 / -0.33

    To design the foundation of dam there is a need to compute seepage loss through the coffer dam. The flow nets were constructed and the results of the flow net study yields number of flow lines to be 11 and number of equipotential lines to be 20. If the head loss due to seepage is 5 m. Then the loss due to seepage of water per meter length of dam per day will be __________ m3. (up to two decimal places). Assume permeability of the dam material to be 6 × 10-5 m/minute.

    Solution

    Concept:

    Seepage loss per metre length of the dam is given by:

    \(q = kh\left( {\frac{{{N_f}}}{{{N_d}}}} \right)\) 

    Where,

    K = permeability

    H = head loss due to seepage

    Nf = Number of flow channels

    Nd = Number of equipotential drops

    Nf = Number of flow lines-1

    Nd = Number of equipotential lines-1

    Calculation:

    K = 6 × 10-5 m/min

    K = 1 × 10-6 m/sec

    Number of flow lines = 9

    Number of equipotential lines = 20

    Nf = 11 – 1 = 10

    Nd = 20 – 1 = 19

    Head under which flow is taking place or head loss due to seepage = 5 m.

    \(q = {10^{ - 6}} \times 5 \times \frac{{10 \times 1}}{{19}} = 2.631 \times {10^{ - 6}}{m^3}/s/m\) 

    q = 0.2274 m3/day/m

  • Question 19
    2 / -0.33

    A plate load test is carried out on a 45 cm square plate at a depth of 3 m below ground surface on a sandy soil which extends up to large depth. Load settlement values are noted during the test and is shown in the table below:

    Load Intensity

    (t/m2)

    Settlement

    (mm)

    10

    3

    20

    5

    30

    7

    40

    9

    50

    15

    60

    22

    70

    35

    If the square foundation (4 m × 4 m) is placed at same depth as of plate and carries a load of 240 tonne, then the total settlement of foundation will be ______ mm.

    Solution

    Concept:

    Relation between settlement of plate, foundation and width of plate, foundation is given as:

    \(\frac{{{{\rm{S}}_{\rm{f}}}}}{{{{\rm{S}}_{\rm{p}}}}} = {\left[ {\frac{{{{\rm{B}}_{\rm{f}}}\left( {{{\rm{B}}_{\rm{p}}} + 0.3} \right)}}{{{{\rm{B}}_{\rm{p}}}\left( {{{\rm{B}}_{\rm{f}}} + 0.3} \right)}}} \right]^2}\)             ….. [For sands]

    Where,

    Bf = width of foundation in metres, Bp = Width of plate in metres, Sf = Settlement of foundation, and Sp = Settlement of plate

    Load intensity of foundation = Load applied at base of foundation / Area of foundation at base

    Corresponding to this load intensity, one can compute settlement in plate from the test data.

    Calculation:

    Load applied at base of foundation = 240 t

    Area of foundation at base = 4 × 4 = 16 m2

    Load intensity \(= \frac{{240}}{{16}} = 15{\rm{\;t}}/{{\rm{m}}^2}\)

    Corresponding to load intensity of 15 t/m2, settlement in plate can be interpolated.

    Settlement in plate (Sp) = 4 mm

    Width of plate = 45 cm = 0.45 m

    Width of foundation = 4 m

    \({{\rm{S}}_{\rm{f}}} = {\left( {\frac{{4 \times \left( {0.45 + 0.3} \right)}}{{0.45 \times \left( {4 + 0.3} \right)}}} \right)^2}\)

    Sf = 9.615 mm

  • Question 20
    2 / -0.33

    According to IS classification, the range of silt size particles is:

    Solution

    Silt size varies from 0.002 mm - 0.075 mm.

    In the Indian Standard Soil Classification System (ISSCS) or BIS, soils are classified according to their grain size as boulder, cobble, gravel, sand, silt, or clay, as shown below in the tabulated form.

  • Question 21
    2 / -0.33

    The correct increasing order of specific surface i.e. surface area per mass of the given soils is:

    Solution

    The specific Surface area is inversely proportional to grain size. Out of sand, silt, clay, and colloids, Sand has the highest grain size while colloids have the least grain size.

    For coarse sand → 2 mm d ≤ 4.75 mm

    For fine sand → 0.075 mm d ≤ 0.425 mm

    For silt → 0.002 mm < d ≤ 0.075 mm

    For clay → < 0.002 mm

    Colloids are basically finer clay particles whose surface area is so high that its behaviour is controlled by specific energy rather than mass-energy.

    ∴ Increasing order of surface area ⇒ sand < silt < clay < colloids

  • Question 22
    2 / -0.33

    A consolidated undrained test was conducted on a soil sample with cell pressure of 100 kN/m2. The deviator stress at failure is 80 kN/m2. The cohesion and an angle of internal friction with respect to effective stress is 0 and 25° and with respect to total stress is 0 and 12.5° respectively. The pore water pressure at failure is _____

    (in kPa up to 2 decimal places)

    Solution

    Concept:

    Relation between Major and minor principal stress at failure in a soil mass on the basis of Mohr-Coulomb criteria of failure:-

    \({\sigma _{1f}} = {\sigma _{3f}}{\tan ^2}\left( {45^\circ + \frac{\phi }{2}} \right) + 2C\tan \left( {45^\circ + \frac{\phi }{2}} \right)\)

    \({\sigma _{3f}} = {\sigma _{1f}}{\tan ^2}\left( {45^\circ - \frac{\phi }{2}} \right) - 2C\tan \left( {45^\circ - \frac{\phi }{2}} \right)\)

    Calculation:

    Cell pressure (σ3f) = 100 kN/m2

    Deviator stress (σa) = 80 kN/m2

    Major principal stress at failure (σ1f) = σ3 + σa = 100 + 80 = 180 kPa

    Let the pore water pressure at failure be U.

    σ̅3f = σ3f – U = 100 – U

    σ̅1f = σ1f – U = 180 – U

    C’ = 0, ϕ’ = 25°

    By using Mohr-Coulomb hypothesis,

    \({\bar \sigma _{1f}} = {\sigma _{3f}}{\tan ^2}\left( {45 + \frac{\phi }{2}} \right) + 2C\tan \left( {45 + \frac{\phi }{2}} \right)\)

    \(\Rightarrow \left( {180 - U} \right) = \left( {100 - U} \right){\tan ^2}\left( {45 + \frac{{25}}{2}} \right) + 0\)

    U = 45.35 kPa          

    Important Point:

    Types of Triaxial Test:

    • Triaxial test is performed in 2 stages-

     

        Ist stage

        IInd stage

    1. drainage allowed (Consolidated)

    1. Volume change allowed (Drained)

    2. Drainage not allowed (Unconsolidated)

    2. Volume change not allowed (Undrained)

     

    Hence there are 3 types of triaxial test:

    1. C D → Consolidated  Drained test

    2. C U → Consolidated undrained test

    3. U U → Unconsolidated undrained test

    4. U D → Not possible

     

  • Question 23
    2 / -0.33

    Consider the following statements in the context of aeolian soils:

    1. The soil has low density and low compressibility.

    2. The soil is deposited by wind.

    3. The soil has large permeability.

    Which of these statements are correct?

    Solution

    Aeolian soil is a soil which is transported by wind and is mostly sand, thus, has high permeability.

    Properties of Aeolian soil:

    1) Aeolian soil are deposited by wind action.

    2) It has a uniformly graded particle.

    3) The void ratio and permeability of soil is high. 

    4) They are non-plastic.

    5) High compressibility and low density.

  • Question 24
    2 / -0.33

    Bentonite is a material obtained due to the weathering of

    Solution

    Bentonite is decomposed volcanic ash containing high percentage of clay mineral-montmorillonite.

  • Question 25
    2 / -0.33

    The water table in a certain area is at a depth of 4 m below the ground surface. To a depth of 12 m, the soil consists of very fine sand having an average voids ratio of 0.7. Above the water table the sand has an average degree of saturation of 50%. What will be the increase in the effective pressure (in kN/m2) on a horizontal plane at a depth 10 metres below the ground surface if the soil gets saturated by capillarity up to a height of 1 m above the water table? (Assume G = 2.65)

    Solution

    Height of sand layer above water table = Z1 = 4 m, and height of saturated layer = 12 – 4 = 8 m

    Depth of point X, where pressure is to be computed = 10 m

    Height of saturated layer above X = Z2 = 10 – 4 = 6 m

    Now \({{\text{ }\!\!\gamma\!\!\text{ }}_{\text{d}}}=\frac{\text{G}\times {{\text{ }\!\!\gamma\!\!\text{ }}_{\text{w}}}}{1+\text{e}}=\frac{2.65\times 9.81}{1+0.7}=15.29\text{ }\!\!~\!\!\text{ kN}/{{\text{m}}^{3}}\)

    For sand above water table:

    \(\text{w}=\frac{\text{e}\times {{\text{S}}_{\text{r}}}}{\text{G}}=\frac{0.7\times 0.5}{2.65}=0.132\)

    γ1 = γd (1 + w) = 15.29 × 1.132 = 17.31 kN/m3

    For saturated sand below water table:

    \({{\text{w}}_{\text{sat}}}=\frac{\text{e}}{\text{G}}=\frac{0.7}{2.65}=2.64\)

    γ2 = γd (1 + wsat) = 15.29 × 1.264 = 19.33 kN/m3

    γ2’ = 19.33 – 9.81 = 9.52 kN/m3

    Effective pressure at X

    σ = Z1 γ1 + Z2 γ2 = 4 × 17.31 + 6 × 19.33 = 185.22 kN/m2

    u = hw γw = 6 × 9.81 = 58.86 kN/m2

    σ’ = σ – u = 185.22 – 58.86 = 126.36 kN/m2

    σ’ = σ – u = 185.22 – 58.86 = 126.36 kN/m2

    Effective stress at X after capillary rise

    σ' = 3 γ1 + (6 + 1) γ2’ + hc γw = (3 × 17.31) + (7 × 9.52) + (1 × 9.81) = 128.38 kN/m2

    Increase in pressure = 128.38 – 126.36 = 2.02 kN/m2

Self Studies
User
Question Analysis
  • Correct -

  • Wrong -

  • Skipped -

My Perfomance
  • Score

    -

    out of -
  • Rank

    -

    out of -
Re-Attempt Weekly Quiz Competition
Self Studies Get latest Exam Updates
& Study Material Alerts!
No, Thanks
Self Studies
Click on Allow to receive notifications
Allow Notification
Self Studies
Self Studies Self Studies
To enable notifications follow this 2 steps:
  • First Click on Secure Icon Self Studies
  • Second click on the toggle icon
Allow Notification
Get latest Exam Updates & FREE Study Material Alerts!
Self Studies ×
Open Now