Self Studies

Steel Design Test 1

Result Self Studies

Steel Design Test 1
  • Score

    -

    out of -
  • Rank

    -

    out of -
TIME Taken - -
Self Studies
Weekly Quiz Competition
  • Question 1
    2 / -0.33
    For the structural member exposed to weathering but not accessible for painting is required to be connected to other member using rivet connection, then the minimum diameter of rivet required to ensure safety of the structure as per IS 800:1984 is ______ 
    Solution

    As per IS 800: 1984, Clause 3.8.2

    For structural member exposed to weather directly and non-accessible for painting, the minimum thickness of structural member its 8 mm.

    Using Unwin’s equation:

    \(\phi \ge 6.04{\rm{\;}}\sqrt {{{\rm{t}}_{{\rm{mm}}}}} \) 

    \(\therefore {\phi _{{\rm{min}}}} \ge 6.04 \times \sqrt 8 \ge 17.08 \approx 18{\rm{\;mm}}\)

  • Question 2
    2 / -0.33

    A fillet weld is used to connect two plates of the square edge of thickness 8 mm and 12 mm. The welded surface meets at an angle of 100°. What would be the minimum and maximum possible throat thickness of welded connection respectively as per the codal provisions of IS 800:2007?

    Solution

    Concept:

    The throat thickness of the welded connection can be written as:

    t = KS

    Where,

    K is the factor that depends on the angle between fusion faces.

    S is the size of the weld

    For t to be minimum, the size of the weld is to be minimum and the minimum size of the weld, as per IS 800:2007 codal provisions, depends  on the  thickness of the thicker plate being connected as shown in below tabulated form:

    Thickness of thicker plate connected (mm)

    ≤ 10 mm

    11-20 mm

    21-32 mm

    > 32 mm

    Minimum size of weld (mm)

    3 mm

    5 mm

    6 mm

    8 mm

     

    For ‘t’ to be maximum, the size of the weld is to be maximum and as per IS 800: 2007, the maximum Size of the weld for square edge is given as:

    Smax = Thickness of plate - 1.5

    Calculation:

    As per IS 800:2007, if the angle between fusion faces lies between 91-100o then K = 0.65.

    Thickness of thicker plate = 12 mm ⇒ S­min = 5 mm

    Minimum throat thickness, tmin = 0.65 × 5 = 3.25 mm

    Maximum size of weld, Smax = max (12, 8) – 1.5 = 10.5 mm

    Maximum throat thickness, tmax = 0.65 × 10.5 = 6.825 mm

  • Question 3
    2 / -0.33

    According to IS: 875 Part 3, the design wind speed acting on industrial roof is estimated based on the basic wind speed by multiplying it by factors K1, K2 and K3, where K1 is called:

    Solution

    For the calculation of Design wind load on structure IS 875-1987 part-III the relates the intensity of

    wind pressure to the basic maximum basic wind speed Vb in m/sec. This wind speed is modified to

    include risk level, terrain roughness, height and size of structure and local topography,

    The design wind velocity Vz at any height for the structure is given below

    Vz = k1. k2. k3.Vb

    k1 = Risk coefficient or probability coefficient

    k2 = Terrain, height and structure size factor.

    k3 = Topography factor.
  • Question 4
    2 / -0.33
    For a rectangular cross-section, when the extreme fibre strain was εy, the yield moment capacity is My. What would be the value of the resisting moment when the extreme fibre strain is 2εy?
    Solution

    Using standard empirical formula for this:

    \(\frac{M}{{{M_y}}} = {\rm{\;Shape\;Factor}} - \frac{1}{{2{\rm{\;}}{{(\frac{{{\rm{Strain\;at\;yielding}}}}{{{\rm{Strain\;beyond\;yielding}}}})}^2}}}\)

    For rectangular section, Shape factor = 1.5

    Strain at yielding = εy

    Strain beyond yielding = 2εy

    \(\frac{{\rm{M}}}{{{{\rm{M}}_{\rm{y}}}}} = {\rm{}}1.5 - \frac{1}{{2{{(\frac{{{ \in _{\rm{y}}}}}{{2{ \in _{\rm{y}}}}})}^2}}}\)

    \(\frac{{\rm{M}}}{{{{\rm{M}}_{\rm{y}}}}} = {\rm{}}1.5 - \frac{1}{8} = 1.375\;\)

    Or

    M = 1.375My

  • Question 5
    2 / -0.33
    Which of the following is true in reference to the ‘plastic sections’ defined in IS 800:2007?
    Solution

    Concept

    IS 800:2007 classified the cross-sections into four classes depending upon the material yield strength and width to thickness ratio of the individual components within the cross-section and loading arrangement. The characteristics of these four classes are given below:

    Plastic or Class I section:   

    1. It can develop a plastic hinge and collapse mechanism.

    2. They are fully effective in pure compression and capable of reaching the full plastic moment in bending and hence, used in plastic design.

    Compact or Class 2 Section:

    1. It can form a plastic hinge but does not have the capacity to develop a collapse mechanism because of local buckling.

    2. They have lower deformation capacity but also fully effective in pure compression and are capable of reaching their full plastic moment in bending.

    Semi- Compact or Class 3 Section:

    1. It has the capacity to develop yield moment only and local buckling is liable to prevent the development of the plastic moment resistance.

    2. They are also fully effective in pure compression but local buckling prevents the attainment of the full plastic moment in bending.  Bending moment resistance in these cross-sections is limited to yield moment only.

    Slender or Class 4 Section:

    1. This section fails before reaching the yield stress i.e. local buckling will occur even before the attainment of the yield stress in extreme fiber.

    2. An effective cross-section is defined based on the width to thickness ratio of the individual plate elements and this is used to determine the resistance of cross-section.
  • Question 6
    2 / -0.33
    A lug angle connection is made with ISA  90 × 90 × 10 mm of Fe 410 with a longer leg connected to the gusset plate with 18 mm diameter rivets. Calculate the tensile load capacity of the tie due to yielding of Gross-section. (α = 0.8) 
    Solution

    ISA 90 × 90 × 10 mm

    Diameter of rivet, (d) = 18 mm

    Diameter sectional area, Ag = (90 + 90 - 10) × = 1700 mm

    For Fe 410 grade steel,

    fu. = 410 Mpa, γm1 = 1.25, fy = 250 Mpa, γmo = 1.1

    Tensile strength due to gross section yielding,

    \({T_{dg}} = \frac{{{A_g}\; \times \;{f_y}}}{{{\gamma _{mo}}}} = \frac{{1700\; \times \;250}}{{1.1}} = 386.36kN\) 

  • Question 7
    2 / -0.33
    A column section ISHB 350 @ 661.2 N/m carries a factored axial compressive load of 2000 kN and factored bending moment of 100 kN-m the thickness of the base plate is 30 mm. Calculate moment capacity of the base plate for 410-grade steel?
    Solution

    Concept:

    The moment capacity of the base plate is given by,

    \(M_d = 1.2 \times \frac{{{f_y}}}{{{\gamma _{m0}}}} \times {Z_e}\) 

    Calculation:

    Given: fy = 250 mpa, γm0 = 1.1

    \(M_d = 1.2 \times \frac{{250}}{{1.1}} \times \left( {\frac{{1 \times b }}{6}} \right)\) 

    \(\therefore \;M_d = 1.2 \times \frac{{250}}{{1.1}} \times \frac{{1\; \times \;{{30}^2}}}{6} = 40.91kNm\) 

  • Question 8
    2 / -0.33

    Which of the following statement are incorrect regarding arrangements of battens as per IS 800: 2007?

    For a battened compression member:

    i) The spacing of battens shall be such that the slenderness ratio of any component should be less than 50.

    ii) The thickness of the batten plates shall be less than one of the distance between the rivets.

    iii) The effective depth of any batten shall not be less than twice the width of one member.

    iv) The effective slenderness ratio of the battened column shall be taken as 1.5 times the actual slenderness ratio.

    Solution

    The design of battened column is prescribed under section 7.7 of IS 800 : 2007. As per

    1) 7.7.1.3 – The number of battens shall be of a minimum of three bays members.

    2) 7.7.1.4 – The effective slenderness ratio of should be taken 1.1 times the actual slenderness ratio.

    3) 7.7.2.1 – Battens should be designed to carry 2.5% of the axial load of its transverse shear capacity.

    4) 7.7.2.3 – The thickness of the batten or the tie plates shall not be less than one-fiftieth of the distance between innermost connecting lines of connection.

    5) 7.7.3 – The spacing shall be such that the slenderness ratio shall neither be greater than 50 nor greater than 0.7 × slenderness ratio of member as a whole.

    Hence ii, iii and iv are incorrect statements.

  • Question 9
    2 / -0.33

    The difference between gross diameter and nominal diameter for the rivets up to 25 mm diameter is

    Solution

    Gross diameter

    = Nominal diameter + 1.5 mm, φ≤ 25 mm

    Gross diameter

    = Nominal diameter + 2 mm, φ > 25 mm φ =  Nominal diameter

     

  • Question 10
    2 / -0.33

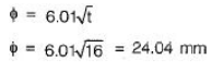
    If the thickness of plate to be connected by a rivet is 16 mm, then suitable size of rivet as per Unwin’s formula will be

    Solution

    According to Unwin’s formula nominal diameter of rivet is given by,

  • Question 11
    2 / -0.33

    According to IS Specifications, the maximum pitch of rivets in compression is (where t is thickness of thinnest outside plate or angle)

    Solution

    Maximum pitch of rivets in compression = 12t or 200 mm whichever is less

  • Question 12
    2 / -0.33
    Buckling of the compression flange of a girder, without transverse stiffeners, can be avoided if (with standard notations)
    Solution

    As per IS 800:2007, CL 8.6.1.2, in order to avoid buckling of the compression flange into the web, web thickness shall satisfy the following:

    1) When transverse stiffeners are not provided:

    \(\frac{d}{{{t}_{w}}}\le 345\epsilon _{f}^{2}\)

    2) When transverse stiffeners are provided: (C = spacing between stiffners)

    a. When C ≥ 1.5d

    \(\frac{d}{{{t}_{w}}}\le 345\epsilon _{f}^{2}\)

    b. When C < 1.5 d

    \(\frac{d}{{{t}_{w}}}\le 345{{\in }_{f}}\)
  • Question 13
    2 / -0.33

    Load on connection is not eccentric for

    Solution

    In the case of double cover butt joint, eccentricity of force does not exist and bending is eliminated whereas it exists in the case of lap joint.

  • Question 14
    2 / -0.33
    ISMB 200 has been used as a column of the unsupported length of 15 m in an industrial building as pure compression member with the radius of gyration about the major axis is 50 mm and about the minor axis is 20 mm. Along the minor axis, the column has fixed against rotation and translation at both ends and along the major axis, the column is restrained in position but no in direction at both ends.  Which of the following is correct keeping in view of the codal provisions of IS 800:2007 about buckling?
    Solution

    Concept

    As per IS 800: 2007, Cl- 3.8, the Slenderness ratio of steel sections is limited to avoid buckling in compression members and its value is 180 for pure compression members.

    Now, to predict in which direction buckling will occur, it is desired to determine the actual slenderness ratio about both major and minor axis.

    The slenderness ratio is the ratio of effective length and radius of gyration i.e.

    \(\lambda = \frac{{{l_{eff}}}}{r}\)

    Further, the effective length under various conditions as per IS 800:2007 is given below:

    Degree of end restraint

    Theoretical value

    Effectively held in position and restrained against rotation at both ends.

    0.50L

    Effectively held in position and restrained against rotation at one end

    0.70L

    Effectively held in position at both ends, but not restrained against rotation.

    1.00L

    Effectively held in position and restrained against rotation at one end and at other end restrained against rotation but not held in position

    1.00L

    Effectively held in position at one end but not restrained against rotation and at other end restrained against rotation but not held in position.

    2.00L

    Effectively held in position and restrained against rotation at one end and at other end not held in position and not restraint against rotation.

    2.00 L

     

    Calculation

    Case 1: Buckling about major axis

    Column is restrained in position but no in direction at both ends i.e. its effective length

    Le1 = 1.00 L = 1 × 15 = 15 m

    Radius of gyration about major axis, r1 = 50 mm

    Slenderness ratio about major axis, λ1 = 15000/50 =  300

    λmax = 180 for pure compression member

    Since the actual value of slenderness exceeds the maximum permitted value of SR ⇒ Buckling may occur about the major axis.

    Case 1: Buckling about the minor axis

    the column has fixed against rotation and translation at both ends i.e. its effective length

    Le1 = 0.50 L = 0.5 × 15 = 7.5 m

    The radius of gyration about the minor axis, r2 = 20 mm

    Slenderness ratio about major axis, λ2 = 7500/20 =  375

    λmax = 180 for pure compression member

    Since the actual value of slenderness exceeds the maximum permitted value of Slenderness Ratio ⇒ Buckling may also occur about the minor axis.

    ∴ Buckling may occur either about the major axis or minor axis.

  • Question 15
    2 / -0.33
    In a design of beam columns, the values of plastic section ratio βb = 1, the plastic sectional modulus Zpz = 3948812 mm3, the yield stress fy = 250 N/mm2 and critical moment of Mcr = 16866 × 106 N.mm.  The non-dimensional lateral torsional slenderness ratio will be nearly
    Solution

    Concept:

    As per clause number 8.2 of IS 800: 2007, the non-dimensional lateral torsional slenderness ratio is given by,

    \({{\rm{\lambda }}_{{\rm{LT}}}} = \sqrt {\frac{{{{\rm{\beta }}_{\rm{b}}}{{\rm{Z}}_{\rm{p}}}{{\rm{f}}_{\rm{y}}}}}{{{{\rm{M}}_{{\rm{cr}}}}}}}\) 

    Where, \({{\rm{\lambda }}_{{\rm{LT}}}}{\rm{\;}}\)is the non-dimensional lateral torsional slenderness ratio

    \({{\rm{\beta }}_{\rm{b}}} = 1{\rm{}}\) for plastic section

    \({{\rm{Z}}_{\rm{p}}}{\rm{}}\) is plastic sectional modulus

    \({{\rm{f}}_{\rm{y}}}{\rm{}}\) is yield stress of the material   

    \({{\rm{M}}_{{\rm{cr}}}}{\rm{}}\) is elastic critical moment corresponding to lateral torsional buckling of the beam 

    Calculation:

    Given, \({{\rm{\beta }}_{\rm{b}}} = 1,{\rm{\;}}{{\rm{Z}}_{\rm{p}}} = 3948812{\rm{\;m}}{{\rm{m}}^3},{\rm{\;}}{{\rm{M}}_{{\rm{cr}}}} = 16866{\rm{\;}} \times {\rm{\;}}{10^6}{\rm{\;N}} - {\rm{mm}},{\rm{\;}}{{\rm{f}}_{\rm{y}}} = 250{\rm{\;N}}/{\rm{m}}{{\rm{m}}^2}\)

    \(\therefore {\rm{\;}}{{\rm{\lambda }}_{{\rm{LT}}}} = \sqrt {\frac{{1\; \times \;3948812\; \times \;250}}{{16866{\rm{\;}} \times {\rm{\;}}{{10}^6}}}} = 0.242\) 

    ∴ The non-dimensional lateral torsional slenderness ratio will be nearly 0.242.

  • Question 16
    2 / -0.33

    The centre to centre maximum distance between bolts in tension member of thickness 10 mm is

    Solution

    The distance between centres of two adjacent rivets, in a line lying in the direction of stress, shaff not exceed 16t or 200 mm, whichever is less in tension members and 12t or 200 mm, whichever is less in compression member

    ∴ c/c distance = Lesser of (16 x 10, 200) 

    = 160mm.

  • Question 17
    2 / -0.33

    The type of stress induced in the foundation bolts fixing a column to its footing is

    Solution

    The axial force from column needs to be transferred from column to footing and thus, mainly type of stress induced in the foundation bolts is pure tension.

  • Question 18
    2 / -0.33

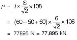
    What is the safe load P that can be transmitted by the fillet-welded joint shown in the figure below if the safe allowable shear stress in the fillet weld is 108 MPa?

    Solution

    The safe load that can be transmitted by the fillet welded joint is given by,

  • Question 19
    2 / -0.33

    A 6 mm thick mild steel plate is connected to an 8 mm thick plate by 16 mm diameter shop rivets. What is-the number of rivets required to carry an 80 kN load?

    Solution

    For shop rivets permissible stresses are, In shearing, τs = 100 MPa

    In bearing, σb = 300 MPa

    The gross diameter of hole (D)

    .= 16 + 1.5 = 17.5 mm

  • Question 20
    2 / -0.33
    Calculate the bending strength of ISLB 350 @ 486 N/m which is classified as a plastic section. Considering the beam to be laterally supported. The unsupported length of simply supported beam is 3 m. Zpz = 851.11 × 103 mm3 and Zez = 751.9 × 103 mm3, ry = 31.7 mm and γmo = 1.1.
    Solution

    Concept:

    The design bending strength of such section is given by:

    Md = βbZpfymo

    Where

    βb = 1.0 (for plastic & compact section) or Ze/Zp (for semi-compact section)

    Ze = Elastic section modulus of the cross section

    Zp = Plastic section modulus of the cross section

    fy = yield stress of the material

    γmo = 1.1, the partial safety factor

    The design strength obtained from the above equation should be for less than 1.2 Zefymo for simply supported beam and 1.5 Zefymo for cantilever beams.

    Calculation:

    For laterally supported beam:

    Bending capacity (M) is given by:

    \({{\text{M}}_{\text{d}}}={{\text{ }\!\!\beta\!\!\text{ }}_{\text{b}}}\times {{\text{Z}}_{\text{pz}}}\times \frac{{{\text{f}}_{\text{y}}}}{{{\text{ }\!\!\gamma\!\!\text{ }}_{\text{mo}}}}\)

    For plastic section, βb = 1

    \(\therefore {{\text{M}}_{\text{d}}}=1\times 851.11\times {{10}^{3}}\times \frac{250}{1.1}=193.43~\text{kNm}\)

    Check: \({{\text{M}}_{\text{d}}}<1.2{{\text{Z}}_{\text{e}}}\frac{{{\text{f}}_{\text{y}}}}{{{\text{ }\!\!\gamma\!\!\text{ }}_{\text{mo}}}}\)

    \(1.2{{\text{Z}}_{\text{e}}}\frac{{{\text{f}}_{\text{y}}}}{{{\text{ }\!\!\gamma\!\!\text{ }}_{\text{mo}}}}=1.2\times 751.9\times {{10}^{3}}\times \frac{250}{1.1}=~205.06~\text{kNm}\)

    ∵ 193.43 < 205.06 ⇒ Safe

    ∴ Bending capacity (M) = 193.43 kNm.
  • Question 21
    2 / -0.33

    What is the permissible tensile stress in bolts used for column bases (fy is the yield stress of the steel)?

    Solution

    Permissible tensile stresses in bolts used for column bases is 120 N/mm2.

  • Question 22
    2 / -0.33

    A plate girder is designed to resist the maximum bending moment of 12000 kNm. The slenderness ratio for the section is 180 and grade of steel to be used is Fe250. The gross-sectional area of the beam (A) is given, by the relationship:

    \({\rm{A}} = \frac{{2{{\rm{M}}_{\rm{z}}}}}{{{\rm{d}}{{\rm{f}}_{\rm{y}}}}} + \frac{{{{\rm{d}}^2}}}{{\rm{k}}}\)

    Where,

    Mz = Maximum bending moment, fy = Design strength of flanges, bf = width of the flange, and d = depth of web/circle. Calculate the economical depth of girder (in meters, rounded up to one decimal places)

    Solution

    Concept:

    The gross-sectional area of the beam (A) is given, by the relationship:

    \({\rm{A}} = \frac{{2{{\rm{M}}_{\rm{z}}}}}{{{\rm{d}}{{\rm{f}}_{\rm{y}}}}} + \frac{{{{\rm{d}}^2}}}{{\rm{k}}}\)

    The optimum value of d may be obtained by differentiation the above equation with respect to d and equating it to zero.

    \(\frac{{\partial \left( {\rm{A}} \right)}}{{\partial {\rm{d}}}} = \frac{\partial }{{\partial {\rm{d}}}}\left( {\frac{{2{{\rm{M}}_{\rm{z}}}}}{{{\rm{d}}{{\rm{f}}_{\rm{y}}}}}} \right) + \frac{\partial }{{\partial {\rm{d}}}}\left( {\frac{{{{\rm{d}}^2}}}{{\rm{k}}}} \right)\)

    \(0 = \frac{{ - 2{{\rm{M}}_{\rm{z}}}}}{{{{\rm{d}}^2}{{\rm{f}}_{\rm{y}}}}} + \frac{{2{\rm{d}}}}{{\rm{k}}}\)

    \(\frac{{2{{\rm{M}}_{\rm{z}}}}}{{{{\rm{d}}^2}{{\rm{f}}_{\rm{y}}}}} = \frac{{2{\rm{d}}}}{{\rm{k}}}\)

    \({{\rm{d}}^3} = \frac{{{{\rm{M}}_{\rm{z}}}{\rm{k}}}}{{{{\rm{f}}_{\rm{y}}}}}\)

    \({\rm{d}} = {\left( {\frac{{{{\rm{M}}_{\rm{z}}}{\rm{k}}}}{{{{\rm{f}}_{\rm{y}}}}}} \right)^{0.33}}\)

    Optimum depth of plate girder \(\left( {\rm{d}} \right) = {\left( {\frac{{{{\rm{M}}_{\rm{z}}}{\rm{k}}}}{{{{\rm{f}}_{\rm{y}}}}}} \right)^{0.33}}\)

    \({\rm{d}} = {\left( {\frac{{12000 \times {{10}^6} \times 180}}{{250}}} \right)^{0.33}} = 2051.97 {\rm{\;mm}} = 2.05{\rm{\;meters}}\)

  • Question 23
    2 / -0.33

    Economical depth of a plate girder is given by where M is maximum moment in the plate girder, σtw is allowable bending stress and tw is thickness of web

    Solution

    The depth of plate girder is adjusted to get the minimum self-weight of the girder and that depth is called economical depth of plate girder,

    σtw = Allowable bending stress in tension

  • Question 24
    2 / -0.33

    Minimum spacing of vertical stiffeners is limited to where d is the distance between flange angles.

    Solution

    Vertical stiffeners are provided at the spacing of 0.33 of to 1.5 d where d is the distance between the flanges ignoring fillets and if horizontal stiffeners are also provided d is the maximum clear depth of the web. Spacing can be reduced near the supports where the shear force is large compared to the centre of the girder.

  • Question 25
    2 / -0.33

    Which one of the following is correct?

    An intermediate vertical stiffener connected to the web is designed to withstand a shearing force of not less than where t is web thickness in mm and h is the outstand of stiffener in mm.

    Solution

    As per clause 6.7.4.6 of IS: 800-1984, intermediate horizontal stiffeners not subjected to external loads shall be connected to web by rivets or welds, so as to withstand a shearing force, between each component of the stiffener and the web of not less than, 125t2/h kN/m

Self Studies
User
Question Analysis
  • Correct -

  • Wrong -

  • Skipped -

My Perfomance
  • Score

    -

    out of -
  • Rank

    -

    out of -
Re-Attempt Weekly Quiz Competition
Self Studies Get latest Exam Updates
& Study Material Alerts!
No, Thanks
Self Studies
Click on Allow to receive notifications
Allow Notification
Self Studies
Self Studies Self Studies
To enable notifications follow this 2 steps:
  • First Click on Secure Icon Self Studies
  • Second click on the toggle icon
Allow Notification
Get latest Exam Updates & FREE Study Material Alerts!
Self Studies ×
Open Now