Self Studies

Electric Circui...

TIME LEFT -
  • Question 1
    2 / -0.33

    For the circuit given below.

  • Question 2
    2 / -0.33

    For the circuit given below.

    What is the value of equivalent resistance?

  • Question 3
    2 / -0.33

    The circuit given below. The Thevenin resistance across the diode in the circuit is?

  • Question 4
    2 / -0.33

    Consider the following circuit.

    What is the value of V24/V13 of given circuit?

  • Question 5
    2 / -0.33

    A 5 μF condenser is connected in series with a coil having inductance of 50 mH. If a 50 V source operating at resonance frequency causes a circuit current of 10 mA. What is the Q factor of the coil.(upto 2 decimals)

  • Question 6
    2 / -0.33

    Find the value of i.

  • Question 7
    2 / -0.33

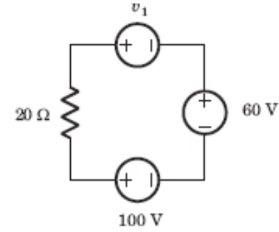
    In the circuit given, a charge of 600 C is delivered to the 100 V source in a 1 minute. The value of v1 must be:

  • Question 8
    2 / -0.33

    In the circuit of the fig the value of the voltage source E is:

  • Question 9
    2 / -0.33

    Consider the circuit graph shown in fig. Each branch of circuit graph represent a circuit element. The value of voltage v1 is:

  • Question 10
    2 / -0.33

    What quantity of charge must be delivered by a battery with a Potential Difference of 110 V to do 660J of Work?

  • Question 11
    2 / -0.33

    Find the value of R1.

  • Question 12
    2 / -0.33

    Twelve 6 Ω resistor are used as edge to form a cube. The resistance between two diagonally opposite corner of the cube is

  • Question 13
    2 / -0.33

    Find the value of v1.

  • Question 14
    2 / -0.33

    The voltage V in fig is always equal to:

    Note: Consider the current source to be ideal.

  • Question 15
    2 / -0.33

    In a AC circuit, resistive and total impedance are 10 and 20 ohms respectively. What is the phase angle difference between the voltage and current?

  • Question 16
    2 / -0.33

    The quantity of a charge that will be transferred by a current flow of 10 A over 1 hour period is _________ ?

  • Question 17
    2 / -0.33

    A capacitor is charged by a constant current of 2 mA and results in a voltage increase of 12 V in a 10 sec interval. The value of capacitance is:

  • Question 18
    2 / -0.33

    The energy required to charge a 10 μF capacitor to 100 V is:

  • Question 19
    2 / -0.33

    The current in a 100 μF capacitor is shown in fig. If capacitor is initially uncharged, then the waveform for the voltage across it is:

  • Question 20
    2 / -0.33

    The voltage across a 100 μF capacitor is shown in fig. The waveform for the current in the capacitor is:

  • Question 21
    2 / -0.33

    The waveform for the current in a 200 μF capacitor is shown in fig. The waveform for the capacitor voltage is:

  • Question 22
    2 / -0.33

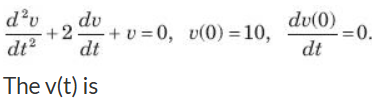
    The natural response of an RLC circuit is described by the differential equation

  • Question 23
    2 / -0.33

    In a RC type low pass fitter, the cut-off frequency is 1500 Hz, Assuming the capacitance to be 500 nF. The value of the resistance is – (in Ω)

  • Question 24
    2 / -0.33

    Find the current in the circuit which supplies an active power of 600 watts and reactive power of 800 VAR, if the voltage applied is 200 V (RMS value).

  • Question 25
    2 / -0.33

    At a particular instant, the R-phase voltage of a balanced 3-phase system is +60 V, and y phase voltage is -120 V. The voltage of B phase at that instant is ______ (in V)

Submit Test
Self Studies
User
Question Analysis
  • Answered - 0

  • Unanswered - 25

  • 1
  • 2
  • 3
  • 4
  • 5
  • 6
  • 7
  • 8
  • 9
  • 10
  • 11
  • 12
  • 13
  • 14
  • 15
  • 16
  • 17
  • 18
  • 19
  • 20
  • 21
  • 22
  • 23
  • 24
  • 25
Submit Test
Self Studies Get latest Exam Updates
& Study Material Alerts!
No, Thanks
Self Studies
Click on Allow to receive notifications
Allow Notification
Self Studies
Self Studies Self Studies
To enable notifications follow this 2 steps:
  • First Click on Secure Icon Self Studies
  • Second click on the toggle icon
Allow Notification
Get latest Exam Updates & FREE Study Material Alerts!
Self Studies ×
Open Now