Self Studies

Electric Circuits Test 1

Result Self Studies

Electric Circuits Test 1
  • Score

    -

    out of -
  • Rank

    -

    out of -
TIME Taken - -
Self Studies
Weekly Quiz Competition
  • Question 1
    2 / -0.33

    For the circuit given below.

    Solution

    Given:

    • Voltage source: 20V

    • Resistances: R1 = 2Ω and R2 = 3Ω

    • Configuration: The resistors are connected in series with a voltage source of 20V.

    1. Determine the Total Resistance: Since the resistors are in series: R_total = R1 + R2 = 2Ω + 3Ω = 5Ω

    2. Determine the Total Current: Using Ohm's law, we calculate the current in the circuit: I = V_total / R_total = 20V / 5Ω = 4A

    3. Determine the Voltage Drop across Each Resistor: The voltage drop across each resistor is given by Ohm's law:

      • Voltage drop across R1:
        V1 = I × R1 = 4A × 2Ω = 8V

      • Voltage drop across R2:
        V2 = I × R2 = 4A × 3Ω = 12V

    4. Direction of the Voltage Drop:

      • The current flows from the positive terminal of the 20V battery, passing through R1 and then through R2.

      • Since resistors are passive elements, the voltage drop across each resistor reduces the potential as current flows. The voltage drop across R2 (from the perspective of the battery) will be negative because the current flows from the positive terminal to the negative terminal of the resistor.

    This results in: V2 = -12V

  • Question 2
    2 / -0.33

    For the circuit given below.

    What is the value of equivalent resistance?

    Solution

  • Question 3
    2 / -0.33

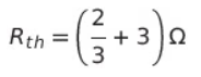
    The circuit given below. The Thevenin resistance across the diode in the circuit is?

    Solution

    Diode is non-linear elements is removed.

    After shorting the voltage source the redrawn circuit is

    Thevenin resistance

    = 11/3 ohm

  • Question 4
    2 / -0.33

    Consider the following circuit.

    What is the value of V24/V13 of given circuit?

    Solution

  • Question 5
    2 / -0.33

    A 5 μF condenser is connected in series with a coil having inductance of 50 mH. If a 50 V source operating at resonance frequency causes a circuit current of 10 mA. What is the Q factor of the coil.(upto 2 decimals)

    Solution

    Given that

    L = 50 × 10-3 H

    C = 5 × 10-6 F

    Resonant frequency, \({\omega _0} = \frac{1}{{\sqrt {LC} }}\)

    \({\omega _0} = \frac{1}{{\sqrt {50 \times {{10}^{ - 3}} \times 5 \times {{10}^{ - 6}}} }} = 2000rad/sec\;\;\)

    Given that, current = 10 mA

    At resonance, \({I_0} = \frac{V}{R}\)

    \(\Rightarrow 10 \times {10^{ - 3}} = \frac{{50}}{R}\)

    ⇒ R = 5 KΩ

    Quality factor, \(Q = \frac{{{\omega _0}L}}{R} = \frac{{2000 \times 50 \times {{10}^{ - 3}}}}{{5 \times {{10}^3}}} = 0.02\)

  • Question 6
    2 / -0.33

    Find the value of i.

    Solution

    • Based on kirchoffs current law, we know that incoming currents at a node is equals to outgoing currents.
    • So, based on this 4 and 3 will get canceled with 5 and 2.
    • So, finally i = 1.
  • Question 7
    2 / -0.33

    In the circuit given, a charge of 600 C is delivered to the 100 V source in a 1 minute. The value of v1 must be:

    Solution

    In order for 600 C charge to be delivered to the 100 V source, the current must be

  • Question 8
    2 / -0.33

    In the circuit of the fig the value of the voltage source E is:

    Solution

    Going from 10 V to 0 V:

    Minus sign indicates that the polarity of battery should be reversed.

  • Question 9
    2 / -0.33

    Consider the circuit graph shown in fig. Each branch of circuit graph represent a circuit element. The value of voltage v1 is:

    Solution

  • Question 10
    2 / -0.33

    What quantity of charge must be delivered by a battery with a Potential Difference of 110 V to do 660J of Work?

    Solution

    The relationship between electric potential difference (V), work done (W), and charge (Q) is given by the formula:

    V = W / Q

    Rearranging for Q, we get:

    Q = W / V

    Substituting the given values:

    • W = 660 J
    • V = 110 V

    Calculating Q:

    Q = 660 J / 110 V = 6 C

    Thus, the correct answer is B.

  • Question 11
    2 / -0.33

    Find the value of R1.

    Solution



  • Question 12
    2 / -0.33

    Twelve 6 Ω resistor are used as edge to form a cube. The resistance between two diagonally opposite corner of the cube is

    Solution

    The current i will be distributed in the cube branches symmetrically

  • Question 13
    2 / -0.33

    Find the value of v1.

    Solution

    If we go from +ve side of 1 kΩ through 7 V, 6 V and 5 V

    We get, v1 = 7 + 6 - 5 = 8 V

  • Question 14
    2 / -0.33

    The voltage V in fig is always equal to:

    Note: Consider the current source to be ideal.

    Solution

    Let's assume the current source as the ideal source:

    Apply KVL in the loop, we get

    v - 4 x 2.5 - 10 = 0

    ⇒ v = 20 V

  • Question 15
    2 / -0.33

    In a AC circuit, resistive and total impedance are 10 and 20 ohms respectively. What is the phase angle difference between the voltage and current?

    Solution
    • Cosɸ = R/Z; where R= 10 ohms and Z = 20 ohms  
    • Cosɸ = 1/2 means phase angle is 60 degree.
  • Question 16
    2 / -0.33

    The quantity of a charge that will be transferred by a current flow of 10 A over 1 hour period is _________ ?

    Solution

    We know that,
    I=Q / t or Q = I x t = 10 x 1 hours
    {since unit of current is Cs-1, therefore time should be in seconds}
    ∴ Q = 10 x 60 x 60
    = 36000 C
    3.6 x 10C

  • Question 17
    2 / -0.33

    A capacitor is charged by a constant current of 2 mA and results in a voltage increase of 12 V in a 10 sec interval. The value of capacitance is:

    Solution

  • Question 18
    2 / -0.33

    The energy required to charge a 10 μF capacitor to 100 V is:

    Solution

  • Question 19
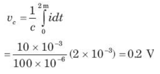
    2 / -0.33

    The current in a 100 μF capacitor is shown in fig. If capacitor is initially uncharged, then the waveform for the voltage across it is:

    Solution

    This 0.2 V increases linearly from 0 to 0.2 V. Then current is zero. So capacitor hold this voltage.

  • Question 20
    2 / -0.33

    The voltage across a 100 μF capacitor is shown in fig. The waveform for the current in the capacitor is:

    Solution

  • Question 21
    2 / -0.33

    The waveform for the current in a 200 μF capacitor is shown in fig. The waveform for the capacitor voltage is:

    Solution

  • Question 22
    2 / -0.33

    The natural response of an RLC circuit is described by the differential equation

    Solution

  • Question 23
    2 / -0.33

    In a RC type low pass fitter, the cut-off frequency is 1500 Hz, Assuming the capacitance to be 500 nF. The value of the resistance is – (in Ω)

    Solution

    we know that,

    Cut – off frequency \({f_c} = \frac{1}{{2\pi RC}}\)

    \(\begin{array}{l} \Rightarrow R = \frac{1}{{2\pi {f_c}C}}\\ \Rightarrow R = \frac{1}{{2\pi {f_c}C}}\\ \Rightarrow R = \frac{1}{{2\pi \times 1500 \times 500 \times {{10}^{ - 9}}}} \end{array}\)

    ⇒ R = 212.2 Ω

  • Question 24
    2 / -0.33

    Find the current in the circuit which supplies an active power of 600 watts and reactive power of 800 VAR, if the voltage applied is 200 V (RMS value).

    Solution

  • Question 25
    2 / -0.33
    At a particular instant, the R-phase voltage of a balanced 3-phase system is +60 V, and y phase voltage is -120 V. The voltage of B phase at that instant is ______ (in V)
    Solution

    Given 3-phase system is balanced, let the instantaneous voltage is

    VR (t) = Vm cosωt

    VY (t) = Vm cos(ωt - 120°)

    VB (t) = Vm cos(ωt + 120°)

    Vm cosωt = 60 V

    Vm cos(ωt - 120°) = -120 V

    ⇒ Vm [cosωt cos120 + sinωt sin120] = -120

    \(\begin{array}{l} \Rightarrow {V_m}\left[ {{\rm{cos\omega t}}\left( { - \frac{1}{2}} \right) + sin\omega t\left( {\frac{{\sqrt 3 }}{2}} \right)} \right] = - 120\\ \Rightarrow 60\left( { - \frac{1}{2}} \right) + \frac{{\sqrt 3 }}{2}{V_m}sin\omega t = - 120\\ \Rightarrow 60\left( { - \frac{1}{2}} \right) + \frac{{\sqrt 3 }}{2}{V_m}sin\omega t = - 120 \Rightarrow 60\left( { - \frac{1}{2}} \right) + \frac{{\sqrt 3 }}{2}{V_m}sin\omega t = - 120\end{array}\)  

    Vm cosωt = 60 V

    ⇒ tanωt = - √3 ⇒ ωt = -60°

    \(\begin{array}{l}V_m^2{\sin ^2}\omega t + V_m^2{\cos ^2}\omega t = {\left( {60\sqrt 3 } \right)^2} + {\left( {60} \right)^2} \Rightarrow {V_m} = 120\;V\\{V_B} = {V_m}\cos \left( {\omega t + 120} \right) = 120\cos \left( { - 60 + 120} \right) = 120 \times \frac{1}{2} = 60\;V\end{array}\) 

Self Studies
User
Question Analysis
  • Correct -

  • Wrong -

  • Skipped -

My Perfomance
  • Score

    -

    out of -
  • Rank

    -

    out of -
Re-Attempt Weekly Quiz Competition
Self Studies Get latest Exam Updates
& Study Material Alerts!
No, Thanks
Self Studies
Click on Allow to receive notifications
Allow Notification
Self Studies
Self Studies Self Studies
To enable notifications follow this 2 steps:
  • First Click on Secure Icon Self Studies
  • Second click on the toggle icon
Allow Notification
Get latest Exam Updates & FREE Study Material Alerts!
Self Studies ×
Open Now