Self Studies

Electric Circuits Test 2

Result Self Studies

Electric Circuits Test 2
  • Score

    -

    out of -
  • Rank

    -

    out of -
TIME Taken - -
Self Studies
Weekly Quiz Competition
  • Question 1
    2 / -0.33

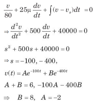
    In the circuit of fig. v = 0 for t > 0. The initial condition are v(0) = 6V and dv(0) /dt = -3000 V s. The v(t) for t > 0 is

    Solution

  • Question 2
    2 / -0.33

    The circuit shown in fig. P1.6.5 has been open for a long time before closing at t = 0. The initial condition is v(0) = 2V. The v(t) for t > is

    Solution

  • Question 3
    2 / -0.33

    Circuit is shown in fig. Initial conditions are i1(0) = i2(0) =11A

    i1 (1s) = ?

    Solution

  • Question 4
    2 / -0.33

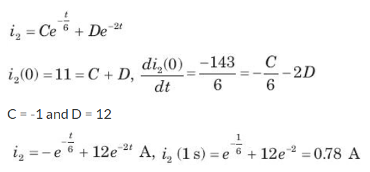
    Circuit is shown in fig. P.1.6. Initial conditions are (0)i1 = i2(0) = 11A

    i2 (1 s)= ?

    Solution

  • Question 5
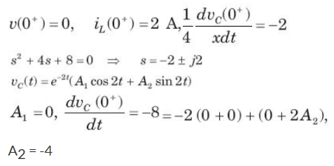
    2 / -0.33

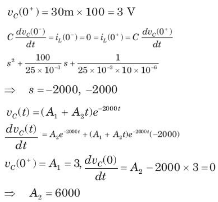
    vc (t ) =? for t > 0

    Solution

  • Question 6
    2 / -0.33

    The switch of the circuit shown in fig. is opened at t = 0 after long time. The v(t) , for t > 0 is

    Solution

  • Question 7
    2 / -0.33

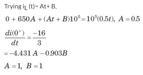
    In the circuit of fig.the switch is opened at t = 0 after long time. The current iL(t) for t > 0 is

    Solution

  • Question 8
    2 / -0.33

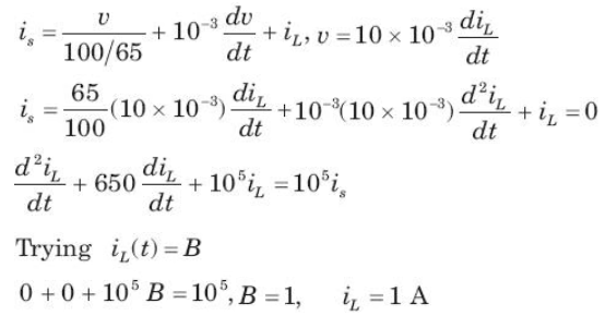
    In the circuit shown in fig.all initial condition are zero.

    If is (t) = 1 A, then the inductor current iL(t) is

    Solution

  • Question 9
    2 / -0.33

    In the circuit shown in fig. all initial condition are zero

    If is(t) = 0.5t A, then iL(t) is

    Solution

  • Question 10
    2 / -0.33

    In the circuit shown in fig. a steady state has been established before switch closed. The i(t) for t > 0 is

    Solution

  • Question 11
    2 / -0.33

    Two 2-port networks with following parameters are connected in series.

    \(Z - parameters\;of\;network - 1 = \left[ {\begin{array}{*{20}{c}} 5&6\\ 9&2 \end{array}} \right]\)

    \(Y - parameters\;of\;network - 2 = \left[ {\begin{array}{*{20}{c}} 9&5\\ 7&4 \end{array}} \right]\)

    The z-parameters of series combination network is

    Solution

    \(Z - parameters\;of\;network - 1 = \left[ {\begin{array}{*{20}{c}} 5&6\\ 9&2 \end{array}} \right]\)

    \(Y - parameters\;of\;network - 2 = \left[ {\begin{array}{*{20}{c}} 9&5\\ 7&4 \end{array}} \right]\)

    \(Z - parameter\;of\;network - 2 = {y^{ - 1}} = {\left[ {\begin{array}{*{20}{c}} 9&5\\ 7&4 \end{array}} \right]^{ - 1}}\)

    \( = \frac{1}{{\left( {36 - 35} \right)}}\left[ {\begin{array}{*{20}{c}} 4&{ - 5}\\ { - 7}&9 \end{array}} \right]\)

    \(= \left[ {\begin{array}{*{20}{c}} 4&{ - 5}\\ { - 7}&9 \end{array}} \right]\)

    In a series combination, the z-parameters of two network will get add.

    Z-parameters of series combination \( = \left[ {\begin{array}{*{20}{c}} 5&6\\ 9&2 \end{array}} \right] + \left[ {\begin{array}{*{20}{c}} 4&{ - 5}\\ { - 7}&9 \end{array}} \right]\) 

    \(= \left[ {\begin{array}{*{20}{c}} 9&1\\ 2&{11} \end{array}} \right]\)

  • Question 12
    2 / -0.33

    The switch is closed after long time in the circuit of fig. The v(t) for t > 0 is

    Solution

  • Question 13
    2 / -0.33

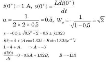
    In the circuit of fig. i(0) = 1A and v(0) = 0. The current i(t) for t > 0 is

    Solution

  • Question 14
    2 / -0.33

    In the circuit of fig. a steady state has been established before switch closed. The vo (t) for t >0 is

    Solution

  • Question 15
    2 / -0.33

    In the circuit of fig. a steady state has been established before switch closed. The i(t) for t > 0 is

    Solution

  • Question 16
    2 / -0.33

    An Inductor works as a ________ circuit for DC supply.

    Solution

    Induced voltage across an inductor is zero if the current flowing through it is constant, i.e. Inductor works as a short circuit for DC supply.

  • Question 17
    2 / -0.33

    A power factor of a circuit can be improved by placing which, among the following, in a circuit?

    Solution

    Power factor = Real power / Apparent power = kW/kVA

    By adding a capacitor in a circuit, an additional kW load can be added to the system without altering the kVA.

    Hence, the power factor is improved.

  • Question 18
    2 / -0.33

    Which among the following equations is incorrect?

    Solution
    • Q is directly proportional to V.
    • The constant of proportionality in this case is C, that is, the capacitance.
    • Hence Q = CV. From the given relation we can derive all the equations except for Q = C/V.
  • Question 19
    2 / -0.33

    What is the value of capacitance of a capacitor which has a voltage of 4V and has 16C of charge?

    Solution

    Q is directly proportional to V.

    The constant of proportionality in this case is C, that is, the capacitance.

    Hence Q = CV

    From the relation,

    C = Q/V = 16/4 = 4F

  • Question 20
    2 / -0.33

    What is the total capacitance when two capacitors C1 and C2 are connected in series?

    Solution

    When capacitors are connected in series, the equivalent capacitance is:
    1/Ctotal=1/C1 + 1/C2

    therefore,

    Ctotal = C1*C2 / (C1+C2)

  • Question 21
    2 / -0.33

    A resistance of 7 ohm is connected in series with an inductance of 31.8mH. The circuit is connected to a 100V 50Hz sinusoidal supply. Calculate the current in the circuit.

    Solution

    X= 2*π*f*L = 10 ohm

    Z= (R2+XL2)

    Therefore the total impedance

    Z = 12.2 ohm

    V = IZ

    therefore,

    I= V/Z = 100/12.2 = 8.2A

  • Question 22
    2 / -0.33

    The equivalent circuit of the capacitor shown below is:

    Solution

    Due to initial condition, at t = 0 capacitor will act as a constant voltage source (at t = 0, capacitor acts as short-circuit). Hence, option (d) is correct.

  • Question 23
    2 / -0.33

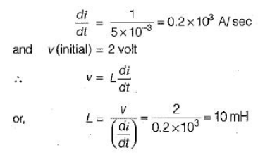
    The strength of current in 1 Henry inductor changes at a rate of 1 A/sec. The magnitude of energy stored in the inductor after 3 sec is:

    Solution

  • Question 24
    2 / -0.33

    The current and voltage profile of an element vs time has been shown in given figure. The element and its value are respectively:

    Solution
    • Since V is not proportional to R therefore, the element can’t be a resistor.
    • At t = 5 ms, even if i ≠ 0, the element behaves as a short circuit therefore, the element can’t be a capacitor (since at t = 0 only capacitor behaves as short circuit).
    • The current at t = 0 is zero and at t = 5 ms voltage across the element is zero therefore, the element must be an inductor (at t = 0, an inductor acts as open circuit and at t =∞ it behaves as short circuit).
    • From the given voltage and current profile, we have:

  • Question 25
    2 / -0.33

    Figure shown below exhibits the voltage-time profile of a source to charge a capacitor of 50 μF. The value of charging current in amperes is:

    Solution

Self Studies
User
Question Analysis
  • Correct -

  • Wrong -

  • Skipped -

My Perfomance
  • Score

    -

    out of -
  • Rank

    -

    out of -
Re-Attempt Weekly Quiz Competition
Self Studies Get latest Exam Updates
& Study Material Alerts!
No, Thanks
Self Studies
Click on Allow to receive notifications
Allow Notification
Self Studies
Self Studies Self Studies
To enable notifications follow this 2 steps:
  • First Click on Secure Icon Self Studies
  • Second click on the toggle icon
Allow Notification
Get latest Exam Updates & FREE Study Material Alerts!
Self Studies ×
Open Now