Self Studies

Control Systems Test 1

Result Self Studies

Control Systems Test 1
  • Score

    -

    out of -
  • Rank

    -

    out of -
TIME Taken - -
Self Studies
Weekly Quiz Competition
  • Question 1
    2 / -0.33

    Solution

  • Question 2
    2 / -0.33

    The output of the feedback control system must be a function of:

    Solution

    In a feedback control system, the output is determined by a combination of the input signal and the feedback signal. The input signal is the desired output or reference, while the feedback signal is a portion of the actual output that is fed back into the system to compare with the input. This comparison helps the system to adjust its output to minimize the error between the input and the actual output. By considering both the input and feedback signals, the system can continuously adapt and achieve the desired output.

  • Question 3
    2 / -0.33

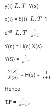
    The unit impulse response of a certain system is found to be e-8t. Its transfer function is _______.

    Solution

    The impulse response is defined as the output of an LTI system due to a unit impulse signal input being applied at time t = 0.

    y(t) = h(t) x(t) = h(t) δ(t)

    where δ(t) is the unit impulse function and h(t) is the unit impulse response of a continuous-time LTI system.

    Calculations:-

    Given-

    y(t)  = e-8t 

    x(t) = δ(t)

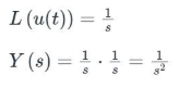
    For calculating the transfer function convert the time domain response into Laplace or S domain.

  • Question 4
    2 / -0.33

    Assuming zero initial condition, the response y(t) of the system given below to a unit step input u(t) is

    Solution

    Laplace transform of u(t) is given by

    Taking Inverse Laplace transform

    y(t) = t.u(t)

  • Question 5
    2 / -0.33

    The sum of the gains of the feedback paths in the signal flow graph shown in fig. is

    Solution
    • Any feedback path is considered as a valid feedback path if it does not touches any single node twice in its path.
    • Feedback paths in the above diagram are af, be, cd, abef, bcde, and abcdef.
    • abef is not a valid feedback path because node 'Q' is repeated twice in the path.
    • bcde is not a valid feedback path because node 'R' is repeated twice in the path.
    • abcdef is not a valid feedback path because node 'Q' and 'R' is repeated twice in the path.

    So, af, be and cd are the only valid feedback paths. The sum of the gains of the feedback paths in the signal flow graph is af + be + cd.

  • Question 6
    2 / -0.33

    A linear system with H(s) = 1/s is excited by a unit step function input. The output for t > 0 is given by

    Solution

    TF = H(s) = 1/s,

    Input is unit step, R(s) = 1/s

    Now output for t > 0 can be calculated as

    C(s) = H(s) x R(s)

    C(s) = (1/s) x (1/s)

    C(s) = 1 / s2

    L-1[C(s)] = t

    C(t) = t = ramp function

  • Question 7
    2 / -0.33

    The open loop transfer function of a unity feedback system is given by

    \(\frac{1}{{s\left( {3s + 1} \right)}}{e^{ - 2Ts}},T > 0\)

    It is shown that the phase angle of the loop transfer function at frequency ω0 is 0. Which of the following equation is satisfied by ω0
    Solution

    \(G\left( s \right)H\left( s \right) = \frac{1}{{s\left( {3s + 1} \right)}}{e^{ - 2Ts}}\)

    \(G\left( {j\omega } \right)H\left( {j\omega } \right) = \frac{1}{{j\omega \left( {3j\omega + 1} \right)}}{e^{ - 2Tj\omega }}\)

    \(\angle G\left( {j\omega } \right)H\left( {j\omega } \right) = - 90 - {\tan ^{ - 1}}\left( {3\omega } \right) - 2T\omega \)

    At ω = ω0, the phase angle is zero.

    \( \Rightarrow 0 = - 90 - {\tan ^{ - 1}}\left( {3{\omega _0}} \right) - 2T{\omega _0}\)

    \( \Rightarrow {\tan ^{ - 1}}\left( {3{\omega _0}} \right) = - \left( {90 + 2T{\omega _0}} \right)\)

    ⇒ 3ω0 = - tan(90 + 2Tω0)

    ⇒ 3ω0 = cot(2ω0T)
  • Question 8
    2 / -0.33

    Consider a unity feedback closed-loop system whose open-loop transfer function is \(\frac{{2\left( {s + 8} \right)}}{{{s^2} + 7s - 8}}\)

    The mapped contour of the Nyquist contour in the G(s) H(s) plane (where G(s) H(s) is the open-loop transfer function)

    Solution

    Concept:

    From Nyquist stability criterion, N = P – Z

    where, N = number of encirclements of point (–1, 0)

    Z = number of zeros of (1 + G(s)·H(s)) or the number of poles of closed-loop system in the right half-plane.

    For stability, z = 0,

    Calculation:

    Open loop transfer function:

    \(G\left( s \right)H\left( s \right) = \frac{{2\left( {s + 8} \right)}}{{{s^2} + 7s - 8}} = \frac{{2\left( {s + 8} \right)}}{{\left( {s + 8} \right)\left( {s - 1} \right)}}\)

    Number of right side open loop poles (p) = 1

    Closed loop transfer function

    \(= \frac{{\frac{{2\left( {s + 8} \right)}}{{{s^2} + 7s - 8}}}}{{1 + \frac{{2\left( {s + 8} \right)}}{{{s^2} + 7s - 8}}}}\)

    \(= \frac{{2\left( {s + 8} \right)}}{{{s^2} + 7s - 8 + 2s + 16}}\)

    \(= \frac{{2\left( {s + 8} \right)}}{{{s^2} + 9s + 8}}\)

    \(= \frac{{2\left( {s + 8} \right)}}{{\left( {s + 1} \right)\left( {s + 8} \right)}}\)

    Number of closed loop poles (z) = 0

    From Nyquist stability

    N = P – Z = 1

    Therefore Nyquist contour encircle the -1 point once in the counterclockwise direction.

  • Question 9
    2 / -0.33

    The transfer function of a system is given by \(G\left( s \right) = \frac{{{e^{ - \frac{s}{{500}}}}}}{{s + 500}}\)

    The input to the system is x(t) = sin 100 πt.

    In a periodic steady-state, the output of the system is found to be y(t) = A sin (100 πt - ϕ). The phase angle (ϕ) in degrees is _______ 
    Solution

    \(G\left( s \right) = \frac{{{e^{ - \frac{s}{{500}}}}}}{{s + 500}}\)

    ϕ = ∠G(jω) at ω = 100π

    \( = - {\tan ^{ - 1}}\left( {\frac{\omega }{{500}}} \right) - \frac{\omega }{{500}}\)

    \( = - {\tan ^{ - 1}}\left( {\frac{{100\pi }}{{500}}} \right) - \frac{{100\pi }}{{500}}\)

    \( = - {\tan ^{ - 1}}\left( {\frac{\pi }{5}} \right) - \frac{\pi }{5}\)

    = -68.12°

    y(t) = A sin (100 πt - 68.12°)

  • Question 10
    2 / -0.33

    The overall transfer function C/R of the system shown in fig. will be:

    Solution

  • Question 11
    2 / -0.33

    For the signal flow graph shown in fig. an equivalent graph is

    Solution

    While writing the transfer function of this signal flow graph,

    e2= tae1 + tbe= (ta+ tb) e1 

    Then, signal flow graph will lokk like this:

  • Question 12
    2 / -0.33

    The block diagram of a system is shown in fig. The closed loop transfer function of this system is

    Solution

    Consider the block diagram as SFG. There are two feedback loop -G1G2H1 and -G2G3H2 and one forward path G1G2 G3 . So (D) is correct option.

  • Question 13
    2 / -0.33

    For the system shown in fig. transfer function C(s) R(s) is

    Solution

    Consider the block diagram as a SFG. Two forward path G1Gand Gand three loops -G1G2 H2, -G2H1, -G3 H2

    There are no nontouching loop. So (B) is correct.

  • Question 14
    2 / -0.33

    In the signal flow graph shown in fig. the transfer function is

    Solution

    P1 = 5 x 3 x 2 = 30, Δ = 1 - (3x - 3) = 10

  • Question 15
    2 / -0.33

    In the signal flow graph shown in fig. the gain C/R is

    Solution

    Note: the provided diagram is too small/low-resolution to unambiguously read the direction and connectivity of every branch. I cannot reliably recompute the transfer function without a clearer diagram. Please upload a higher-resolution image or give the directed-graph gains in text (node-to-node gains and node numbering). Once the exact directed edges and their polarities are confirmed, I will recompute the transfer function using Mason's gain formula step by step.

    Assumption checklist for re-evaluation (please confirm):

    • Which node is the first node after R (its label/number).
    • Exact directed edges and their gains (for example: R → 2 : 1, 2 → 3 : -1, etc.).
    • Direction and gain of the long feedback arc (for example: C → 2 : 5).

    After you provide a clear image or the above adjacency/gain list I will:

    • identify all forward paths and their gains,
    • list all individual loops and their gains,
    • compute Δ and each Δ_k (Mason's formula),
    • give the final transfer function C/R and select the correct option.
  • Question 16
    2 / -0.33

    Given the following polynomial equation

    s3 – s2 + 3s + 1 = 0

    The number of roots of the polynomial, which have real parts strictly less than 1, is_______
    Solution

    s3 – s2 + 3s + 1 = 0

    put s = z + 1

    (z + 1)3 – (z + 1)2 + 3(z + 1) + 1 = 0

    z3 + 1 + 3z2 + 3z – z2 – 2z – 1 + 3z + 3 + 1 = 0

    z3 + 2z2 + 4z + 4 = 0

    Taking Routh criteria for the given characteristic equation

    z3

    1

    4

    z2

    2

    4

    z1

    2

    0

    z0

    4

     

    There are no sign changes in the first column of the Routh array.

    So, the number roots lie left side of s = 1, are 3.
  • Question 17
    2 / -0.33

    The gain C(s)/R(s) of the signal flow graph shown in fig.

    Solution

    X1 = 1 - H1

    X2 = (G1 + G3) X1 - X3H1

    X= X2G2 + G4

  • Question 18
    2 / -0.33

    The negative feedback closed-loop system was subjected to 15V. The system has a forward gain of 2 and a feedback gain of 0.5. Determine the output voltage and the error voltage.

    Solution

    The negative feedback closed-loop system, subjected to 15V, has a forward gain of 2 and a feedback gain of 0.5.

    • The output voltage is calculated as the product of the forward gain and the effective input voltage.
    • The effective input voltage is the difference between the input voltage and the feedback voltage.

    To find the output voltage:

    • Calculate the feedback voltage: Output Voltage multiplied by Feedback Gain.
    • Effective input = Input voltage - Feedback voltage.
    • Output voltage = Forward gain x Effective input voltage.

    After solving, the output voltage is 15V and the error voltage is 7.5V.

  • Question 19
    2 / -0.33

    For the block diagram shown in fig. transfer function C(s)/R(s) is

    Solution

    Four loops -G1G4, -G1G2G5, -G1,G2G5G7 and -G1G2G3G3G7.

    There is no nontouching loop. So (B) is correct.

  • Question 20
    2 / -0.33

    For the block diagram shown in fig. the numerator of transfer function is

    Solution

  • Question 21
    2 / -0.33

    Given \(\rm G\left( s \right)H\left( s \right) = \frac{K}{{s\left( {s + 4} \right)\left( {{s^2} + 4s + 12} \right)}}\)is the open loop transfer function of a system. Then total number of complex break points is.

    Solution

    Given \(\rm G\left( s \right)H\left( s \right) = \frac{K}{{s\left( {s + 4} \right)\left( {{s^2} + 4s + 12} \right)}}\)

    \(\rm 1 + G\left( s \right)H\left( s \right) = 0\)

    \(\rm 1 + \frac{K}{{s\left( {s + 4} \right)\left( {{s^2} + 4s + 12} \right)}} = 0\)

    \(\therefore K = - s\left( {s + 4} \right)\left( {{s^2} + 4s + 12} \right)\)

    for break point calculation we should have \(\rm \frac{{dK}}{{ds}} = 0\)

    \(\rm \therefore \frac{d}{{ds}}\left[ {\left( {{s^4} + 8{s^3} + 28{s^2} + 48s} \right)\left( { - 1} \right)} \right] = 0\)

    \(\rm 4{s^3} + 24{s^2} + 56s + 48 = 0\)

    \(\rm {s^3} + 6{s^2} + 14s + 12 = 0\)

    Break away point are, \(\rm -2, -2+j√2, -2-j√2\)

    ∴ Number of complex Break away points are = 2

  • Question 22
    2 / -0.33

    A Control system with PD controller is shown. If velocity error constant is KV = 1000 and the damping ratio is 0.5 then the values of KP and KD Should be:

    Solution

    Concept:

    Velocity error coefficient is given

    \({K_V} = \mathop {\lim }\limits_{s \to 0} s(G\left( s \right)H\left( s \right)\)

    Calculations:

    \({K_V} = \mathop {\lim }\limits_{s \to 0} s(G\left( s \right)H\left( s \right)\)

    \(1000 = \mathop {\lim }\limits_{s \to 0} \;\frac{{s\left( {{K_P} + {K_D}s} \right)100}}{{s\left( {s + 10} \right)}}\)

    1000 = 10 kp

    Kp = 100

    Characteristic Equation:

    1 + (G(s) H(s) = 0

    \(1 + \frac{{\left( {100 + {K_D}s} \right)100}}{{s\left( {s + 10} \right)}} = 0\)

    ⇒ s2 + (10+100kD)s+104 = 0

    Comparing with standard second order equation:

    2ξwn = 100 kD + 10

    \(2\left( {\frac{1}{2}} \right)\left( {100} \right) = {K_D} + 10\) 

    90 = 100 kD

    D = 0.9

  • Question 23
    2 / -0.33

    For the block diagram shown in fig. the transfer function C(s)/R(s) is

    Solution

  • Question 24
    2 / -0.33
    Consider the system \(\dot x\left( t \right) = \left[ {\begin{array}{*{20}{c}} 1&1\\ 0&1 \end{array}} \right]x\left( t \right) + \left[ {\begin{array}{*{20}{c}} {{b_1}}\\ {{b_2}} \end{array}} \right]u\left( t \right),c\left( t \right) = \left[ {\begin{array}{*{20}{c}} {{d_1}}&{{d_2}} \end{array}} \right]u\left( t \right)\). The conditions for complete state controlling and complete observability is
    Solution

    \(\dot x\left( s \right) = \left[ {\begin{array}{*{20}{c}} 1&1\\ 0&1 \end{array}} \right]x\left( t \right) + \left[ {\begin{array}{*{20}{c}} {{b_1}}\\ {{b_2}} \end{array}} \right]u\left( t \right)\)

    \(C\left( t \right) = \left[ {\begin{array}{*{20}{c}} {{d_1}}&{{d_2}} \end{array}} \right]x\left( t \right)\)

    \(A = \left[ {\begin{array}{*{20}{c}} 1&1\\ 0&0 \end{array}} \right]B = \left[ {\begin{array}{*{20}{c}} {{b_1}}\\ {{b_2}} \end{array}} \right]C = \left[ {\begin{array}{*{20}{c}} {{d_1}}&{{d_2}} \end{array}} \right]\)

    Controlling matrix, \({Q_C} = \left[ {\begin{array}{*{20}{c}} B&{AB} \end{array}} \right]\)

    \({Q_C} = \left[ {\begin{array}{*{20}{c}} {{b_1}}&{{b_1} + {b_2}}\\ {{b_2}}&{{b_2}} \end{array}} \right]\)

    \(\left| {{Q_C}} \right| = {b_1}{b_2} - {b_2}\left( {{b_1} + {b_2}} \right) = - b_2^2 \ne 0\)

    Given the system is controllable for all values of b2 except b2 = 0

    Observability matrix, \({Q_A} = \left[ {\begin{array}{*{20}{c}} C\\ {CA} \end{array}} \right]\)

    \({Q_A}\left[ {\begin{array}{*{20}{c}} {{d_1}}&{{d_2}}\\ {{d_1}}&{{d_1} + {d_2}} \end{array}} \right]\)

    \(\left| {{Q_A}} \right| = {d_1}\left( {{d_1} + {d_2}} \right) - {d_1}{d_2} = d_1^2 \ne 0\)

    Given the system is observable for all values of d1 except d1 = 0.
  • Question 25
    2 / -0.33

    Obtain the complete time response of system given by,

    \(\dot X\left( t \right) = \left[ {\begin{array}{*{20}{c}}0&1\\{ - 2}&0\end{array}} \right]X\left( t \right)\;where\;X\left( 0 \right) = \left[ {\begin{array}{*{20}{c}}1\\1\end{array}} \right]\)

    And Y(t) = [1 - 1]X(t)
    Solution

    Given system is homogeneous whose solution is X(t) = eAt X(0)

    Now, eAt = L-1 {(sI - A)-1}

    \(\left[ {sI - A} \right] = s\left[ {\begin{array}{*{20}{c}}1&0\\0&1\end{array}} \right] - \left[ {\begin{array}{*{20}{c}}0&1\\{ - 2}&0\end{array}} \right] = \left[ {\begin{array}{*{20}{c}}s&{ - 1}\\2&s\end{array}} \right]\)

    \({\left( {sI - A} \right)^{ - 1}} = \frac{{Adj\left( {sI - A} \right)}}{{\left| {sI - A} \right|}}\)

    \(Adj\left( {sI - A} \right) = {\left[ {\begin{array}{*{20}{c}}{{C_{11}}}&{{C_{12}}}\\{{C_{21}}}&{{C_{22}}}\end{array}} \right]^T} = {\left[ {\begin{array}{*{20}{c}}s&{ - 2}\\1&s\end{array}} \right]^T} = \left[ {\begin{array}{*{20}{c}}s&1\\{ - 2}&s\end{array}} \right]\)

    |sI - A| = s2 + 2

    \({\left( {sI - A} \right)^{ - 1}} = \left[ {\begin{array}{*{20}{c}}{\frac{s}{{{s^2} + 2}}}&{\frac{1}{{{s^2} + 2}}}\\{\frac{{ - 2}}{{{s^2} + 2}}}&{\frac{s}{{{s^2} + 2}}}\end{array}} \right]\)

    \({e^{At}} = {L^{ - 1}}\left[ {\begin{array}{*{20}{c}}{\frac{s}{{{s^2} + 2}}}&{\frac{1}{{{s^2} + 2}}}\\{\frac{{ - 2}}{{{s^2} + 2}}}&{\frac{s}{{{s^2} + 2}}}\end{array}} \right]\)

    \({L^{ - 1}}\left\{ {\frac{s}{{{s^2} + 2}}} \right\} = {L^{ - 1}}\left\{ {\frac{s}{{{s^2} + {{\left( {\sqrt 2 } \right)}^2}}}} \right\} = \cos \sqrt {2t} \)

    \({L^{ - 1}}\left\{ {\frac{1}{{{s^2} + 2}}} \right\} = {L^{ - 1}}\left\{ {\begin{array}{*{20}{c}}{\frac{1}{{\sqrt 2 }}}&{\frac{{\sqrt 2 }}{{{s^2} + {{\left( {\sqrt 2 } \right)}^2}}}}\end{array}} \right\} = \frac{1}{{\sqrt 2 }}\sin \sqrt 2 t\)

    \({L^{ - 1}}\left\{ {\frac{{ - 2}}{{{s^2} + 2}}} \right\} = {L^{ - 1}}\left\{ { - \begin{array}{*{20}{c}}{\sqrt 2 }&{\frac{{\sqrt 2 }}{{{s^2} + {{\left( {\sqrt 2 } \right)}^2}}}}\end{array}} \right\} = - \sqrt 2 \sin \sqrt 2 t\)

    \(\therefore {e^{At}} = \left[ {\begin{array}{*{20}{c}}{\cos \sqrt {2\;t} }&{\frac{1}{{\sqrt 2 }}\sin \sqrt 2 \;t}\\{ - \sqrt 2 \sin \sqrt 2 \;t}&{\cos \sqrt 2 \;t}\end{array}} \right]\)

    \(\therefore X\left( t \right) = {e^{At}}X\left( 0 \right) = {e^{At}}\left[ {\begin{array}{*{20}{c}}1\\1\end{array}} \right] = \left[ {\begin{array}{*{20}{c}}{\cos \sqrt 2 \;t + \frac{1}{{\sqrt 2 }}\sin \sqrt 2 \;t}\\{\cos \sqrt 2 \;t - \sqrt 2 \sin \sqrt 2 \;t}\end{array}} \right]\)

    ∴ Output response Y(t) = [1 - 1] X(t)

    \(= \left[ {1 - 1} \right]\left[ {\begin{array}{*{20}{c}}{\cos \sqrt 2 \;t + \frac{1}{{\sqrt 2 }}\sin \sqrt 2 \;t}\\{\cos \sqrt 2 \;t - \sqrt 2 \sin \sqrt 2 \;t}\end{array}} \right]\)

    \(= \frac{3}{{\sqrt 2 }}\sin \sqrt 2 \;t\)

    \(Y\left( t \right) = \frac{3}{{\sqrt 2 }}\sin \sqrt 2 \;t\) is the required response
Self Studies
User
Question Analysis
  • Correct -

  • Wrong -

  • Skipped -

My Perfomance
  • Score

    -

    out of -
  • Rank

    -

    out of -
Re-Attempt Weekly Quiz Competition
Self Studies Get latest Exam Updates
& Study Material Alerts!
No, Thanks
Self Studies
Click on Allow to receive notifications
Allow Notification
Self Studies
Self Studies Self Studies
To enable notifications follow this 2 steps:
  • First Click on Secure Icon Self Studies
  • Second click on the toggle icon
Allow Notification
Get latest Exam Updates & FREE Study Material Alerts!
Self Studies ×
Open Now