Self Studies

Electrical and Electronic Measurements Test 2

Result Self Studies

Electrical and Electronic Measurements Test 2
  • Score

    -

    out of -
  • Rank

    -

    out of -
TIME Taken - -
Self Studies
Weekly Quiz Competition
  • Question 1
    2 / -0.33
    An 820 Ω resistance with an accuracy of ± 10% carries a current of 10 mA. The current was measured by an analog meter of 25 mA range with an accuracy of ± 2% of full scale. The accuracy in the measurement of power dissipated in the resistor is
    Solution

    Given that, R = 820 ± 10% Ω

    I = 10 mA

    Full scale reading of ammeter = 25 mA ± 2%

    error \(= \pm \frac{2}{{100}} \times 25 = \pm 0.5mA\)

    Power dissipated in the resistor, P = I2R

    By applying logarithmic on both sides,

    ⇒ ln P = ln I2R

    ⇒ ln P = 2 ln I + ln R

    Differentiate w.r.t. ‘P’,

    \(\frac{1}{P} = \frac{2}{I}\frac{{dI}}{{dP}} + \frac{1}{R}\frac{{dR}}{{dP}}\) 

    \(\frac{{{\rm{\Delta }}P}}{P} \times 100 = \frac{{2{\rm{\Delta }}I}}{I} \times 100 + \frac{{{\rm{\Delta }}R}}{R} \times 100\) 

    = 2 × (± 5%) + 10% = 20%
  • Question 2
    2 / -0.33
    Two 50 V full scale PMMC DC voltmeter having figure of merits of 10 kΩ/V and 25 kΩ/V respectively are connected in series. The series combination can be used to measure a maximum DC voltage of _____ (in V)
    Solution

    Sensitivity of meter 1, (S1) = 10 kΩ/V

    Internal resistance of meter 1 (RM1) = 50 × 10 = 500 kΩ

    Sensitivity of meter 2, (S2) = 25 kΩ/V

    Internal resistance of meter 2 (Rm2) = 25 × 50 = 1250 kΩ

    \({I_{FSD1}} = \frac{1}{{{S_1}}} = 0.1\;mA\) 

    \({I_{FSD2}} = \frac{1}{{{S_2}}} = 0.04\;mA\) 

    As these two meters are connected in series the maximum current that can pass through both the meters = min (IFSD1, IFSD2) = 0.04 mA

    Maximum DC voltage = 0.04 × 10-3 (500 + 1250) × 103 = 70 V
  • Question 3
    2 / -0.33
    Which of the instruments exists?
    Solution
    • Moving coil instruments are used as voltmeters and ammeters.
    • Moving iron instruments can be used as ammeter and voltmeter but can’t be used as wattmeter. So, moving iron wattmeter does not exist.
    • Induction type instruments can be used as voltmeter. It is normally used as wattmeter or energy meter.
    • Electrodynamometer type instruments can be used as ammeter, voltmeter and wattmeter.
  • Question 4
    2 / -0.33

    A current carrying conductor is wrapped eight times around the jaw of a clamp-on meter that reads 50 A. What will be the actual value of the conductor current?

    Solution

    Concept:

    Current transformer:

    • A current transformer is a device that is used to measure high alternating current in a conductor.
    • In the figure shown below the conductor act as the primary winding of a single turn that passed through the circular laminated iron core.
    • The secondary winding consists of a large number of turns of fine wire wrapped around the core.
    • Due to transformer action, the secondary current transforms into a lower value.

    • Therefore, the current transformer changes the current into a lower value that can easily be measured by the measuring instrument.
    • Along with a Potential transformer (PT), a current transformer (CT) can measure Power and energy also.
    • Hence, CT used with Ammeter, Wattmeter, and Watt-hour meter.

  • Question 5
    2 / -0.33
    A single-phase energy meter is tested for half an hour run at a supply voltage of 230 V and a load current of 10 A at a 0.8 lag power factor. The dial reading at the start was 57.35 and at the end of the test was 58.25. The error in meter registration in kWh is _______ (up to two decimal places)
    Solution

    Concept:

    Energy consumption is, E = V × I × cos ϕ × t × 10-3 kWh

    And error Am - At

    Where Am = measured value

    At = true value

    Calculation:

    V = 230, I = 10, cos ϕ = 0.8, t = 30 min

    (Energy consumption)t = V × I × cos ϕ × t × 10-3 kW

    \(= 230 \times 10 \times 0.8 \times \left( {\frac{{30}}{{60}}} \right) \times {10^{ - 3}}\)

    (E.C)t = 0.92 kWh

    (E.C)m = 58.25 – 57.35 = 0.90 kWh

    Error = Am - At = 0.90 – 0.92 = -0.02 kWh

  • Question 6
    2 / -0.33

    Instrument transformers are

    Solution

    In high voltage A.C. circuits, the measurement cannot be done by using the method of extension of ranges of low range meters by providing suitable shunts.
    In such conditions, specially constructed accurate ratio transformers are used. These transformers are used to isolate the instruments from high current and high voltage A.C. circuits.

    These are generally classified as

    (i) Current transformer - large alternating currents can be measured
    (ii) Potential transformer - High voltages can be measured

  • Question 7
    2 / -0.33

    Which of the following instruments can be used to measure both AC and DC voltages?

    Solution

    PMMC voltmeter is used to measure DC voltages. A moving iron instrument is used to measure both AC and DC voltages.

    Rectifier type instruments are used to measure both AC and DC voltages.

    Electrodynamometer instruments are used to measure both AC and DC voltages.

  • Question 8
    2 / -0.33
    A 300 V, 20 A dynamometer instrument is used as a wattmeter. Its current coil has 0.2 Ω resistance and pressure coil has 20 kΩ resistance with negligible inductance. What is the error in the instrument if it is used to measure the power in a circuit with supply voltage of 300 V, load current of 16 A at 0.4 pf. Assume that the pressure coil is connected across load side.
    Solution

    Given that, Voltage (V) = 300 V

    Current (I) = 16 A

    Current coil resistance (RCC) = 0.2 Ω

    Pressure coil resistance (RPC) = 20 kΩ

    Power factor = cos ϕ = 0.4

    Power (P) = VI cos ϕ = 300 × 16 × 0.4 = 1.92 kW

    As the pressure coil is connected across load side, the error is due to pressure coil resistance.

    Error \( = \frac{{{V^2}}}{{{R_{PC}}}} = \frac{{{{300}^2}}}{{20 \times {{10}^3}}} = 4.5\;W\)

    Percentage error \( = \frac{{4.5}}{{1.92 \times {{10}^3}}} = 0.23\% \)
  • Question 9
    2 / -0.33

    The following is a circuit representation of

    Solution

  • Question 10
    2 / -0.33

    The primary of a _______ should never be energised when its secondary is open circuited.

    Solution

    Current Transformer: The secondary side of the current transformer is always kept short-circuited in order to avoid core saturation and high voltage induction so that the current transformer can be used to measure high values of currents.

    • The current transformer works on the principle of shorted secondary.
    • It means that the burden on the system Zb is equal to 0.
    • Thus, the current transformer produces a current in its secondary which is proportional to the current in its primary.
  • Question 11
    2 / -0.33
    The primary of 200/1 A, 5 VA, 0.8 pf current transformer carries 100 A. The secondary current is 0.495 A. The ratio error of the CT is
    Solution

    Nominal ratio, \({K_n} = \frac{{200}}{1} = 200\)

    Actual transformation ratio,

    \(R = \frac{{{I_p}}}{{{I_s}}} = \frac{{100}}{{0.495}} = 202.02\)

    \(Ratio\;error = \frac{{Nominal\;ratio - Actual\;ratio}}{{Actual\;ratio}} \times 100\)

    \(= \frac{{200 - 202.02}}{{202.02}} \times 100\)

    = -1%
  • Question 12
    2 / -0.33
    A length of cable was tested for insulation resistance using loss of charge method. A capacitance formed by sheath of cable of 300 PF is found to have drop in voltage from 300 V to 100 V in 120 seconds. Calculate the insulation resistance of the cable in MΩ 
    Solution

    Given that = C = 300 pF

    V1 = 300 V

    V2 = 100 V

    t = 120 S

    \({R_{ins}} = \frac{t}{{C\;ln\left( {\frac{{{v_1}}}{{{v_2}}}} \right)}}\)

    \(= \frac{{120}}{{\left( {300 \times {{10}^{ - 12}}} \right)\ln \left( {\frac{{300}}{{100}}} \right)}}\)

    = 0.364 × 106 MΩ 
  • Question 13
    2 / -0.33

    A current transformer has double turn primary and a 100 turn secondary winding. The secondary draws current of 6 A and magnetising ampere-turns is 60 A. What is actual transformation ratio?

    Solution

  • Question 14
    2 / -0.33

    Under operating conditions, the secondary of a current transformer is always short-circuited because of ________.

    Solution

    The secondary side of the current transformer is always kept short-circuited in order to avoid core saturation and high voltage induction so that the current transformer can be used to measure high values of currents.

    • Current transformer works on the principle of shorted secondary
    • It means that the burden on the system Zb is equal to 0
    • Thus, the current transformer produces a current in its secondary which is proportional to the current in its primary
  • Question 15
    2 / -0.33

    Power in a three-phase star-connected balanced inductive load is measured by two wattmeter method. The phase voltage and phase current are 200 V and 10 A respectively. The power factor of the load is 0.866. Which of the following is/are true regarding the wattmeter readings?

    Solution

    Given that, Vph = 200 V

    ⇒ VL = 200 √3 V

    Iph = IL = 10 A

    Power factor = cos ϕ = 0.866

    ⇒ ϕ = cos-1 (0.866) = 30°

    P1 = VLIL cos (30 + ϕ)

    = 200 √3 × 10 × cos 60°

    = 1732 W

    P2 = VLIL cos (30 - ϕ)

    = √3 × 200 × 10 × cos 0°

    = 3464.1 W

  • Question 16
    2 / -0.33
    A dynamometer type wattmeter is rated at10 A and 400 V with a full-scale reading of 4000 W. the inductance of the voltage circuit is 6 mH and its resistance is 2000 Ω. If the operating frequency is 50 Hz and the voltage drop across the current coil of the wattmeter is negligible, the error in wattmeter at rated voltage and zero power factor will be ________W
    Solution

    Concept:

    % error due to pressure coil inductance in a dynamometer type wattmeter

    % error = (tan ϕ tan β)

    β: impedance angle of pressure coil

    ϕ: power factor angle

    Error = tan ϕ tan β × true power

    Calculation:

    Pressure coil:

    Inductance = 6 mH

    Resistance = 2000 Ω

    Impedance angle \( = \beta = {\tan ^{ - 1}}\left( {\frac{{\omega L}}{R}} \right)\)

    \(\beta = {\tan ^{ - 1}}\left( {\frac{{2\pi \times 50 \times 6 \times {{10}^{ - 3}}}}{{2000}}} \right)\)

    tan β = 0.94 × 10-3

    Given cos ϕ = 0; sin ϕ = 1

    Error = tan ϕ tan β × true power

    \( = \frac{{\sin \phi }}{{\cos \phi }}\tan \beta \times VI\cos \phi = VI\sin \phi \tan \beta \)

    Error = 400 × 10 × 1 × 0.94 × 10-3

    Error = 3.7699 W ≈ 3.77 Watt
  • Question 17
    2 / -0.33
    A soft iron voltmeter for a minimum reading of 120 V has an inductance of 0.6 H and a total resistance of 2400 Ω. It is calibrated to read correctly at 60 Hz. The series resistance would be necessary to increase the range to 600 V is ______ (in kΩ)
    Solution

    The impedance of the meter on 60 Hz is

    Z = 2400 + j0.6 × 2π × 60

    = 2400 + j72 π

    \(\left| Z \right| = \sqrt {{{\left( {2400} \right)}^2} + {{\left( {72\pi } \right)}^2}} = 2410.63\;V\) 

    Current drawn by the meter for full-scale deflection \(= \frac{{120}}{{2410.63}}A\)

    When it is connected on 600 V, it requires \(\frac{{120}}{{2410}}A\) for full-scale deflection.

    Impedance \(= \frac{{600}}{{120}} \times 2410.63 = 12,053.15{\rm{\Omega }}\)

    The resistance of the meter \(= \sqrt {{{\left( {12053.15} \right)}^2} - {{\left( {72\pi } \right)}^2}}\)

    = 12051 Ω

    The resistance to be inserted to increase the range to 600 V = 12051 – 2400 = 9651 Ω

    = 9.6 kΩ
  • Question 18
    2 / -0.33

    In order to reduce skin effect in resistance standards when they are used on high frequency a.c.

    Solution
    • To reduce the error in standard resistance due to stray inductance, the adjacent wires should carry current in opposite direction so as to reduce the resultant magnetic field.
    • To reduce the error due to contact (lead) resistance, a four terminal construction is used.
    • To reduce the skin effect when used at high frequency a.c., small diameter wires are used.
  • Question 19
    2 / -0.33

    The condition for a resistor to have the same value of resistance at medium frequencies as with d.c. is

    Solution

    At high and medium frequencies, a resistor can be represented as shown in figure below.

    The equivalent impedance of the above shown resistor at an angular frequency ω rad/s is

    If the resistance is to remain independent of frequency i.e. to have the same value of resistance at medium frequencies as with d.c, we have:

    CR2 = 2 L

    so that, Req = R

  • Question 20
    2 / -0.33

    A resistor R has an effective inductance of L and a distributed capacitance of C. its time constant at medium frequencies is

    Solution

    At medium frequencies, we have:

  • Question 21
    2 / -0.33

    A 100 mv full-scale dual-slope \(3\frac 1 2\) digit DVM has a reference voltage of 75 mV and a first integration time of 75 ms. For an input of [60 + 20 sin (50 πt)] mV, which of the following is/are true?

    Solution

    Given that, reference voltage (Vref) = 75 mV

    First integration time (T1) = 75 ms

    Input voltage = 60 + 20 sin (50 πt)

    DVM measures only average value.

    The measured value = 60 V.

    Vin = 60 V

    Vin T1 = Vref T2

    ⇒ (60)(75) = (75)(T2)

    ⇒ T2 = 60 ms

    Total conversion time (T) = T1 + T2

    = 75 + 60 = 135 ms

    Best resolution \( = \frac{1}{{{{10}^3}}} \times 100\) mv = 0.1 mV

  • Question 22
    2 / -0.33

    A 100 Ω resistor has a time constant of 30 ns. What is the value of capacitor to be connected in parallel with the resistor to make its phase angle equal to zero?

    Solution

    Let the the required capacitance be C1.

    Now, when an external capacitance C1 is connected in parallel, then new phase angle

  • Question 23
    2 / -0.33
    For certain dynamometer ammeter, the mutual inductance M varies with deflection θ (expressed in degrees) as M = -5 cos (θ + 30°) mH. If the deflection torque produced by 60 mA current is 18 × 10-6 N.m, the deflection of the instrument is _________(in degrees)
    Solution

    Td = 18 × 10-6 Nm,

    I = 60 mA, M = - cos (θ + 30°) mH

    The deflection torque is, \({T_d} = {I^2}\frac{{dM}}{{d\theta }}\)

    \(18 \times {10^{ - 6}}N.m = {\left( {60 \times {{10}^{ - 5}}} \right)^2}\frac{{dM}}{{d\theta }}\)

    \(\frac{{dM}}{{d\theta }} = \frac{{18 \times {{10}^{ - 6}}}}{{{{\left( {60 \times {{10}^{ - 3}}} \right)}^2}}} = 5\;mH/rad\)

    \(\frac{{dM}}{{d\theta }} = \frac{d}{{d\theta }}\;\left( { - 5\cos \left( {\theta + 30^\circ } \right)} \right)\)

    \(\frac{{dM}}{{d\theta }} = 5\sin \left( {\theta + 30^\circ } \right) \times {10^{ - 3}}\)

    We know that \(\frac{{dM}}{{d\theta }} = 5\;mH/rad\)

    5 × 10-3 = 5 sin (θ + 30°) × 10-3

    sin (θ + 30°) = 1

    ⇒ θ = 60°
  • Question 24
    2 / -0.33

    Each of the ratio arms of a laboratory type Wheatstone bridge has guaranteed accuracy of ±0.05%, while the standard arm has a guaranteed accuracy of ±0.1 %. The ratio arms are both set at 1 kΩ and and bridge is balanced with standard arm adjusted to 3154 Ω. The upper and the lower limits of the unknown resistance, based upon the guaranteed accuracies of the known bridge arms are respectively

    Solution

  • Question 25
    2 / -0.33

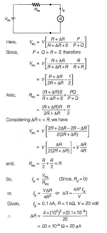
    A highly sensitive galvanometer can detect a current as low as 0.1 nA. This galvanometer is used in a Wheatstone bridge as a detector as shown in figure below. The resistance of galvanometer is negligible.

    Each arm of the bridge has a resistance of 1 kΩ and the input voltage applied to bridge is 20 V. Neglecting the resistance of the galvanometer as compared with the internal resistance of bridge, the smallest change in the resistance which can be detected is

    Solution

    Let the resistance R be changed to R + ΔR.

    The Thevenin's equivalent circuit across terminals bd is shown below.

Self Studies
User
Question Analysis
  • Correct -

  • Wrong -

  • Skipped -

My Perfomance
  • Score

    -

    out of -
  • Rank

    -

    out of -
Re-Attempt Weekly Quiz Competition
Self Studies Get latest Exam Updates
& Study Material Alerts!
No, Thanks
Self Studies
Click on Allow to receive notifications
Allow Notification
Self Studies
Self Studies Self Studies
To enable notifications follow this 2 steps:
  • First Click on Secure Icon Self Studies
  • Second click on the toggle icon
Allow Notification
Get latest Exam Updates & FREE Study Material Alerts!
Self Studies ×
Open Now