Self Studies

Analog circuits Test 1

Result Self Studies

Analog circuits Test 1
  • Score

    -

    out of -
  • Rank

    -

    out of -
TIME Taken - -
Self Studies
Weekly Quiz Competition
  • Question 1
    2 / -0.33

    A half-wave rectifier is used to charge a 12V battery through a resistance ‘R’. The input transformer is fed with 34 AC with turns ration 2 : 1. The conduction period of the diode is

    Solution


  • Question 2
    2 / -0.33

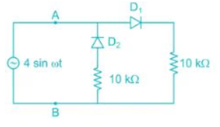
    The voltage source VAB = 4 sin ωt is applied to the terminal A and B of the circuit shown In Fig. the diode is assumed to be ideal. The impedance by the circuit across the terminals A and B is ________ kΩ

    Solution

    When,

    D1 → ON; D2 → OFF: RAB = 10 kΩ

    D2 → ON; D1 → OFF: RAB = 10 kΩ

    ∴ The impedance by the circuit across the terminals A and B  of 10 kΩ

  • Question 3
    2 / -0.33

    The correct option matching List - I to List - II is

    Solution

    A) In graph ‘A’ the output follows input, but above certain positive input, output stays constant. The circuit is called positive clipper.

    B) Similarly the graph ‘B’ is of negative clipper.

    C) In this path positive and negative side are clipped, it is a double-ended clipper.

    D) In this input output follows relation Vout = |Vin|. This is a full-wave rectifier circuit.

  • Question 4
    2 / -0.33

    The theoretical maximum efficiency of a bridge rectifier circuit is

    Solution

  • Question 5
    2 / -0.33
    The drain of an n-channel MOSFET is directly connected to gate so that VDS = VGS. The threshold voltage of it is 3V, if the drain current is 3 mA when VGS = 4 V then for VGS = 5V the value of ID is____ mA
    Solution

    Concept:

    For VDS ≥ VGS - VTN, the MOSFET operates in the saturation region, with the saturation current given by:

    ID(sat) = Kn (VGS - VTN)2

    \({K_n} = \frac{{W{\mu _n}{C_{ox}}}}{{2L}}\)

    Application:

    Since VGS= VDS for the given MOSFET, we observe that VDS will always be greater than VGS - VTH. Hence the MOSFET is operating in saturation.

    Given for VGS = 4 V and VTH = 3 V, the current is 3 mA, we can write:L

    ID = K [4 – 3]2

    \(\frac{3m}{1} = K\)

    K = 3 mA/V2

    ∴ For VGS = 5 V, the drain current will be:

    ID = 3 [5 - 3]2 = 12 mA
  • Question 6
    2 / -0.33
    What is the primary reason a full-wave rectifier without a filter has a lower ripple factor compared to a half-wave rectifier?
    Solution

    The ripple factor measures AC fluctuations in a rectifier’s output. A full-wave rectifier has a lower ripple factor than a half-wave rectifier because it rectifies both halves of the AC input, producing an output with twice the frequency (e.g., 120 Hz for a 60 Hz input). This higher frequency results in smaller voltage fluctuations between peaks, reducing the ripple factor.

    Option A: Correct, as higher frequency reduces ripple magnitude.

  • Question 7
    2 / -0.33

    A half wave rectifier is used to supply 24 V DC to a resistive load of 500 Ω and the diode has a forward resistance of 50 Ω. What is the maximum value of the AC voltage required at the input?

    Solution

  • Question 8
    2 / -0.33

    The diode D used in circuit below is ideal. The voltage drop Vab across the 1 kΩ Resistor in volt is ____

    Solution

    Let the diode is ON

    KCL at node B:

    \(\frac{{{V_B} - 3}}{{1k{\rm{\Omega }}}} + \frac{{{V_B}}}{{5k{\rm{\Omega }}}} - 1 \times {10^{ - 3}} = 0\) 

    \(\Rightarrow {V_B} = \frac{{10}}{3} = 3.33\;V\) 

    \(\Rightarrow {I_B} = \frac{{3 - 3.33}}{{1 \times {{10}^3}}} =\) -ve not possible

    ⇒ Diode is OFF

    So current passing through diode = 0

    ∴  voltage drop across ab will be zero volts.

  • Question 9
    2 / -0.33

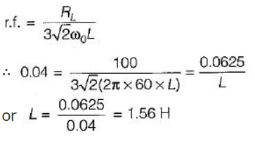
    What is the value of inductance to be used in the inductor filter connected to a full-wave rectifier operation at 60 Hz to provide a DC output with 4% ripple for a 100 Ω load?

    Solution

    The ripple factor for an inductor filter is

  • Question 10
    2 / -0.33

    Diodes are used to clip voltages in circuits because they act as

    Solution

    Diodes are essential components in electronic circuits, primarily used to manage voltage levels. They perform this function by behaving like a voltage source under certain conditions. Here are the key points regarding their operation:

    • Clipping Voltage: Diodes can limit the maximum voltage in a circuit, preventing damage to other components.
    • Forward Bias: When a diode is forward-biased, it allows current to flow, effectively acting as a voltage source.
    • Reverse Bias: In reverse bias, the diode blocks current, protecting the circuit from excessive voltage.
    • Applications: They are commonly used in power supply circuits and signal processing.

    In summary, diodes play a crucial role in controlling voltage levels by functioning as a voltage source under specific conditions, making them indispensable in many electronic applications.

  • Question 11
    2 / -0.33

    When a capacitor is connected across the output terminals of a half or full-wave rectifier, the output voltage

    Solution

    When a capacitor is connected across the output terminals of a rectifier, the output voltage:

    • Essentially becomes a DC voltage.
    • Undergoes minimal fluctuations, smoothing out the signal.
    • Helps to store energy, providing a stable output.

    This process is critical in converting the alternating current (AC) into a usable direct current (DC), which is essential for most electronic devices. The capacitor acts as a reservoir, filling in the gaps between the peaks of the rectified voltage and reducing the ripple effect.

  • Question 12
    2 / -0.33

    The equivalent DC output voltage of a full-wave rectifier is ____ the equivalent DC output voltage of a half-wave rectifier.

    Solution

  • Question 13
    2 / -0.33

    If 120 C of charge passes through an electric conductor in 60 sec, the current in the conductor is:

    Solution

     i = dQ/dt = 120/60 = 2A.

  • Question 14
    2 / -0.33

    A solid copper sphere, 10 cm in diameter is deprived of 1020 electrons by a charging scheme. The charge on the sphere is:

    Solution

    n = 1020
    Q = ne = e * 1020 = 16.02 C.
    The charge on the sphere will be positive.

  • Question 15
    2 / -0.33

    A lightning bolt carrying 30,000 A lasts for 50 microseconds. If the lightning strikes an airplane flying at 20,000 feet, what is the charge deposited on the plane?

    Solution

  • Question 16
    2 / -0.33

    Consider the circuit graph shown in figure below. Each branch of circuit graph represent a circuit element. The value of voltage V1 is​:

    Solution
    • 100 = 65 + V2 ⇒ V2 = 35 V
    • V3 – 30 = V2 ⇒ V3 = 65 V
    • 105 – V3 + V4 – 65 = 0 ⇒ V4 = 25 V
    • V4 + 15 – 55 + V1 = 0 ⇒ V1 = 15 V.
  • Question 17
    2 / -0.33

    What is the value of Req = ?

    Solution

    Req – 5 = 10(Req + 5)/(10 + 5 +Req).

    Solving for Req we have

    Req = 11.18 ohm.

  • Question 18
    2 / -0.33

    Twelve 6 resistor are used as edge to form a cube. The resistance between two diagonally opposite corner of the cube is: (in ohm)

    Solution

  • Question 19
    2 / -0.33

    The energy required to charge a 10 µF capacitor to 100 V is:

    Solution

    Energy provided is equal to 0.5 CV= 0.5x10-6 x 100 x 100 = 0.05 J

  • Question 20
    2 / -0.33

    A capacitor is charged by a constant current of 2 mA and results in a voltage increase of 12 V in a 10 sec interval. The value of capacitance is ________.

    Solution

    The capacitor current is given as i=C*(dv/dt), where dv/dt is the derivative of voltage, dt=t2-t1 given as 10 sec and dv is the change in voltage which is given as 12 V.

    So, we have C = i / (dv/dt)
    C = 2mA/(12/10) = 2mA/(1.2).

    Hence C = 1.67mF

  • Question 21
    2 / -0.33

    During high frequency applications of a B.J.T., which parasitic capacitors arise between the base and the emitter?

    Solution

    There are two capacitors that arise between bases and emitter. One is Cje due to depletion region associated between base and emitter. Cb is another capacitor which arises due to the accumulation of electrons in the base which further results into the concentration gradient within the base of the transistor.

  • Question 22
    2 / -0.33

    During high frequency applications of a B.J.T, which parasitic capacitors arise between the collector and the base?

    Solution

    Only one capacitor up between the base and the collector. This is due to the depletion region present between the base and the collector region.

  • Question 23
    2 / -0.33

    Which parasitic capacitors do not affect the frequency response of the C.E. stage, of the B.J.T.?

    Solution

    While observing the frequency response of a C.E. stage, we find that all the parasitic capacitances of the B.J.T. end up slowing the speed of the B.J.T. The frequency response of this stage is affected by all the parasitic capacitors.

  • Question 24
    2 / -0.33

    If the total capacitance between the base and the emitter increases by a factor of 2, the transit frequency __________

    Solution

    The transit frequency is almost inversely proportional to the total capacitance between the base and the emitter of the B.J.T. Hence, the transit frequency will approximately reduce by 2 and the correct option becomes reduces by 2.

  • Question 25
    2 / -0.33

    Which effect plays a critical role in producing changes in the frequency response of the B.J.T.?

    Solution

    The miller effect results in a change in the capacitance seen between the base and the collector. This is why it affects the frequency response of the B.J.T. deeply by changing the poles and affecting the high frequency voltage gain stage.

Self Studies
User
Question Analysis
  • Correct -

  • Wrong -

  • Skipped -

My Perfomance
  • Score

    -

    out of -
  • Rank

    -

    out of -
Re-Attempt Weekly Quiz Competition
Self Studies Get latest Exam Updates
& Study Material Alerts!
No, Thanks
Self Studies
Click on Allow to receive notifications
Allow Notification
Self Studies
Self Studies Self Studies
To enable notifications follow this 2 steps:
  • First Click on Secure Icon Self Studies
  • Second click on the toggle icon
Allow Notification
Get latest Exam Updates & FREE Study Material Alerts!
Self Studies ×
Open Now