Self Studies

Digital Electronics Test 1

Result Self Studies

Digital Electronics Test 1
  • Score

    -

    out of -
  • Rank

    -

    out of -
TIME Taken - -
Self Studies
Weekly Quiz Competition
  • Question 1
    2 / -0.33

    The decimal equivalent of (101111.1101)2 is

    Solution

    A binary number can be converted into decimal number by multiplying the binary numbers 1 or 0 by their weight and adding the product. Conversion of 101111 is done as follows:

  • Question 2
    2 / -0.33

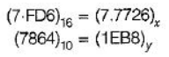
    The following two numbers are converted into desired bases x and y respectively.

    The values of x and y are respectively

    Solution

    On converting the decimal number (7864)10 into hexadecimal number we obtain the result (EB8)16 as follows:

  • Question 3
    2 / -0.33

    If (100110) x (x)10 = (101010110)2, then the value of x will be equal to

    Solution

  • Question 4
    2 / -0.33

    The range of numbers that can be represented using 6-bits in signed binary number representation is

    Solution

    In a signed 6-bit binary number representation, the range of numbers is determined by the most significant bit (MSB), which is used as the sign bit.

    Here's a breakdown of the range calculation:

    1. Signed 6-bit binary numbers use the first bit (MSB) as the sign bit:

      • 0 indicates a positive number
      • 1 indicates a negative number
    2. Positive numbers (MSB is 0):

      • The remaining 5 bits represent the magnitude.
      • The smallest positive number is 000000 (0 in decimal).
      • The largest positive number is 011111 (31 in decimal).
    3. Negative numbers (MSB is 1):

      • The 2's complement method is used to represent negative numbers.
      • The smallest negative number is 100000 (-32 in decimal).
      • The largest negative number is 111111 (-1 in decimal).

    Thus, the range of numbers that can be represented using 6-bit signed binary number representation is from -32 to 31.

  • Question 5
    2 / -0.33

    A decimal number (22)10 may be represented by the following ways:

    Solution

  • Question 6
    2 / -0.33

    The 7-bit even parity Hamming code of the binary bits 0101 is

    Solution

    ∴ The required 7-bit even parity Hamming code is ( 0 1 0 0 1 0 1).

  • Question 7
    2 / -0.33
    A certain microprocessor based system has a memory space of 220 words where each word has a capacity of 24 bits. The number of memory chips required to construct the given memory space is ______. [Consider each memory chip is having 14 address lines & 8 data lines]
    Solution

    Memory space = 220 × 24

    Memory chip capacity = 214 × 8

    No. of memory chips \(= \frac{{{2^{20}} \times 24}}{{{2^{14}} \times 8}} = 192\) 
  • Question 8
    2 / -0.33

    If (2AC9)16 = (Z)7, then the value of Z is

    Solution

    Now, the decimal number is converted into the number of base 7 as follows:

  • Question 9
    2 / -0.33

    Three Boolean operators are

    Solution

    The three Boolean operators are NOT, OR, AND, These are also called basic gates for digital electronics.

  • Question 10
    2 / -0.33
    The output voltage of a 5-bit D/A binary ladder has digital input of 11011. Assuming all zeros voltage 0 V and all ‘1’ is voltage as 10 V, the analog output of the DAC is _______ V.
    Solution

    \({V_0} = k\left[ {{2^{n - 1}}{b_{n - 1}} + {2^{n - 2}}{b_{n - 2}} + \ldots + 2{b_1} + {b_0}} \right]\)

    bnbn-1...b1b0 are digits of digital input

    VFS = 10 V, n = 5

    ⇒ 10 = K [31]

    K = 10/31

    For Digital input (11011)2

    \({V_0} = \frac{{10}}{{31}}\left[ {27} \right]\)

    = 8.71 V

  • Question 11
    2 / -0.33

    The only function of a NOT gate is to

    Solution

    NOT gate is used to invert the input signal.

  • Question 12
    2 / -0.33

    Negative logic in 'a logic circuit is one in which

    Solution

    In negative logic:

    • logic 0 = Some positive voltage
    • logic 1 = Zero voltage

    or

    • logic 0 = Some higher voltage level (i.e. + 5 V,)
    • logic 1 = Some lower voltage level (i.e. + 2 V)
  • Question 13
    2 / -0.33

    Let us consider the following equation in a 6-bit binary number system X = A + B.

    A is given as (001010)2 in 1's complement binary number system, B is given as (111010)2 in signed number system. What would be X in the 2’s complement number system?
    Solution

    A in 1’s complement binary number system = (001010)2

    As the MSB is ‘0’, the number is positive.

    Therefore, the number A = (001010)2 = (10)10

    B in signed number system

    B = (111010)2

    As the MSB is ‘1’, the number is negative.

    Therefore the number B = (-26)10

    Now, X = A + B = (10)10 + (-26)10 = (-16)10

    The two’s complement representation of (-16)10 is the two’s complement of (+16)10

    (+16)10 = 010000

    2’s complement = 110000

    X in 2’s complement representation = (110000)2

  • Question 14
    2 / -0.33

    Which of the following Boolean Expressions is not true?

    Solution

    A + 1 = 1 (Always)

    Hence,  option (c) is not correct.

  • Question 15
    2 / -0.33

    The simplified form of the Boolean expression  is

    Solution

  • Question 16
    2 / -0.33

    The Boolean expression:

    may be simplified as

    Solution

  • Question 17
    2 / -0.33

    Solution

  • Question 18
    2 / -0.33

    The POS form of expression is suitable for circuit using:

    Solution

    POS form (Product of Sum form) of expression is suitable for circuit using NOR gates.

  • Question 19
    2 / -0.33

    When eight adjacent 1 's are grouped horizontally or vertically the group so found is called

    Solution

  • Question 20
    2 / -0.33
    What is a multiplexer?
    Solution

    A multiplexer (or MUX) is a device that selects one of several analog or digital input signals and forwards the selected input into a single line, depending on the active select lines.

  • Question 21
    2 / -0.33

    It is possible for an enable or strobe input to undergo an expansion of two or more MUX ICs to the digital multiplexer with the proficiency of large number of _______

    Solution

    It is possible for an enable or strobe input to undergo an expansion of two or more MUX ICs to the digital multiplexer with the proficiency of large number of inputs.

  • Question 22
    2 / -0.33

    What is the function of an enable input on a multiplexer chip?

    Solution

    Enable input is used to active the chip, when enable is high the chip works (ACTIVE), when enable is low the chip does not work (MEMORY). However, Enable can be Active-High or Active-Low, indicating it is active either when it is connected to VCC or GND respectively.

  • Question 23
    2 / -0.33

    A digital multiplexer is a combinational circuit that selects ___________

    Solution

    A digital multiplexer is a combinational circuit that selects one digital information from several sources and transmits the selected information on a single output line depending on the status of the select lines. That is why it is also known as a data selector.

  • Question 24
    2 / -0.33

    If the number of n selected input lines is equal to 2m then it requires _____ select lines.

    Solution

    If the number of n selected input lines is equal to 2m then it requires m select lines to select one of m select lines.

  • Question 25
    2 / -0.33

    A basic multiplexer principle can be demonstrated through the use of a ________

    Solution

    A basic multiplexer principle can be demonstrated through the use of a rotary switch. Since its behaviour is similar to the multiplexer. There are around 10 digits out of which one is selected one at a time and fed to the output.

Self Studies
User
Question Analysis
  • Correct -

  • Wrong -

  • Skipped -

My Perfomance
  • Score

    -

    out of -
  • Rank

    -

    out of -
Re-Attempt Weekly Quiz Competition
Self Studies Get latest Exam Updates
& Study Material Alerts!
No, Thanks
Self Studies
Click on Allow to receive notifications
Allow Notification
Self Studies
Self Studies Self Studies
To enable notifications follow this 2 steps:
  • First Click on Secure Icon Self Studies
  • Second click on the toggle icon
Allow Notification
Get latest Exam Updates & FREE Study Material Alerts!
Self Studies ×
Open Now