Self Studies

Communications Test 1

Result Self Studies

Communications Test 1
  • Score

    -

    out of -
  • Rank

    -

    out of -
TIME Taken - -
Self Studies

SHARING IS CARING

If our Website helped you a little, then kindly spread our voice using Social Networks. Spread our word to your readers, friends, teachers, students & all those close ones who deserve to know what you know now.

Self Studies Self Studies
Weekly Quiz Competition
  • Question 1
    2 / -0.33

    The number of cars arriving at ICICI bank drive-in window during 10-min period is Poisson random variable X with b = 2.

    Solution

  • Question 2
    2 / -0.33
    When a carrier signal is amplitude modulated by a sinusoidal signal, the antenna current of the transmitter is increased by 20% from that of an unmodulated case. The modulation index of the AM signal is equal to_______. (Correct up to three decimal places)
    Solution

    Concept:

    The total transmitted power for an AM system is given by:

    \({P_t} = {P_c}\left( {1 + \frac{{{μ^2}}}{2}} \right)\)

    Pt = ItR (Transmitted Power)

    PC = ICR (Carrier Power)

    It = RMS value of antenna current after modulation

    IC = RMS value of antenna current before modulation

    R = Antenna Resistance

    ∴ The antenna current of modulated and un-modulated signal is related as:

    \(I_t^2R=I_C^2R​​​​\left( {1 + \frac{{{μ^2}}}{2}} \right)\)

    \({I_t} = {I_C}\sqrt {1 + \frac{{{μ ^2}}}{2}} \)  ----(1)

    Calculation:

    Given:

    It = (1.2)Ic

    From equation (1),

    \(1.2 I_c = {I_C}\sqrt {1 + \frac{{{μ ^2}}}{2}} \)

    \(1.2 = \sqrt {1 + \frac{{{μ ^2}}}{2}} \)

    \(\frac{μ^2}{2}=(1.2)^2-1\)

    μ2 = 0.88

    μ = 0.938

  • Question 3
    2 / -0.33
    A speech signal is sampled at 8 kHz compressed and encoded into 8-bits/sample. The PCM data is 8 QAM modulated and transmitted through an AWGN based cosine filter having roll-off factor 0.2 is used, then required bandwidth for transmission is:
    Solution

    Concept:

    The trick in this question is:

    QAM is a baseband signal hence bandwidth to be calculated is without considering Encoding. (ignore n =8 )

    The bandwidth of M-ary QAM

    \(W = \frac{{{R_b}}}{{2{{\log }_2}M\;}}\left( {1 + \alpha } \right)\)

    Calculation:

    \(W = \frac{{8 \times {{10}^3}}}{{2{{\log }_2}8}}\left( {1 + 0.2} \right)\)

    \(W = \frac{{8 \times {{10}^3}}}{{2 \times 3}}\left( {1.2} \right)\)

    W = 1600 Hz

    = 1.6 kHz
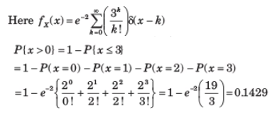
  • Question 4
    2 / -0.33

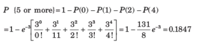
    Delhi averages three murder per week and their occurrences follow a poission distribution

    The probability that there will be five or more murder in a given week is

    Solution

  • Question 5
    2 / -0.33

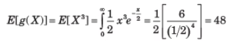
    The random variable X is defined by the density

    The expected value of g(X) = X3 is

    Solution

  • Question 6
    2 / -0.33
    The random variables X and Y have variances 0.2 and 0.5 respectively. Let Z= 5X-2Y. The variance of Z is?
    Solution

    Var(X) = 0.2, Var(Y) = 0.5
    Z = 5X – 2Y
    Var(Z) = Var(5X-2Y)
               = Var(5X) + Var(2Y)
               = 25Var(X) + 4Var(Y)
    Var(Z) = 7.

  • Question 7
    2 / -0.33
    Let (𝑡) be a wide sense stationary (WSS) random process with power spectral density 𝑆𝑋(𝑓). If Y(t) is the process defined as 𝑌(𝑡) = 𝑋(2𝑡 − 1), the power spectral density 𝑆𝑌(𝑓) is
    Solution

    Concept:

    Power spectral density function (PSD) is the Fourier transform of the Autocorrelation function of the WSS process.

    \(h\left( t \right)\mathop \to \limits^{FT} H\left( f \right)\) 

    \(h\left( {at} \right)\mathop \to \limits^{FT} \frac{1}{a}H\left( {\frac{f}{a}} \right)\) 

    The shifting in the time domain does not change the PSD.

    Calculation:

    Let the autocorrelation function be denoted as R(τ).

    Therefore,

    \({R_x}\left( \tau \right)\mathop \to \limits^{FT} {S_X}\left( f \right)\) 

    Then,

    \(Y\left( t \right) = X\left( {2t - 1} \right)\mathop \to \limits^{Autocorrelation} {R_y}\left( \tau \right) = {R_x}\left( {2\tau } \right)\) 

    \({R_x}\left( {2\tau } \right)\mathop \to \limits^{FT} \frac{1}{2}{S_x}\left( {\frac{f}{2}} \right)\)  

    \({R_y}\left( \tau \right)\mathop \to \limits^{FT} {S_y}\left( f \right) = \frac{1}{2}{S_x}\left( {\frac{f}{2}} \right)\)  

  • Question 8
    2 / -0.33

    The variance of the random variable X with probability density function  is

    Solution

  • Question 9
    2 / -0.33

    An on-off Baseband signal is transmitted and the probability of error was found to be \({P_{e1}} = Q\left( {\sqrt k } \right).\) The same signal was ASK modulated and the probability of error was \({P_{{e_2}}} = Q\left( {\sqrt {zk} } \right).\) The z = _____

    (Assume Amplitude of carrier in ASK = Maximum amplitude of on-off signal)

    Solution

    For on – off signal

    S1(t) = A

    S2(t) = O

    \({E_d} = \mathop \smallint \limits_o^{{T_b}} {A^2}dt = {A^2}{T_b}\)

    \({P_e} = Q\left( {\sqrt {\frac{{{A^2}{T_b}}}{{2{N_o}}}} } \right)\)

    For ASK

    \({P_e} = Q\left( {\sqrt {\frac{{A_c^2{T_b}}}{{4{N_o}}}} } \right)\)

    \(K = \frac{{{A^2}{T_b}}}{{2{N_o}}}\)

    \(zk = \frac{{{A^2}{T_b}}}{{4{N_o}}}\)

    z = 1/2
  • Question 10
    2 / -0.33

    The Bandwidth of a TV video plus audio signal is 4.5 MHz. If this signal is converted into PCM bit stream with 1024 quantization levels, the bitrate of the resulting signal will be:

    (Signal is sampled at a rate 10% above the Nyquist rate)
    Solution

    Concept:

    For a PCM system, the data rate is given by:

    Rb = nfs; where ‘n’ is the number of bits/sample.

    And fs is the sampling frequency.

    Calculation:

    Given, fm = 4.5 MHz

    Number of Quantization levels (q) = 1024

    Which requires 10 bits to encode.

    So, n = 10

    Also, fs = Sampling frequency which is 10% more than 2fm

    i.e. 1.1 × 2fm

    = 2.2 fm

    = 2.2 × 4.5 MHz

    = 9.9 MHz

    So, Rb (bits/second) = nfs = 10 × 9.9 MHz

    = 99 M bits/second
  • Question 11
    2 / -0.33

    Let x be a continuous Random variable with PDF

    \(f_{x}(x)=\frac{3}{x^4}\), for x ≥ 1

    The variance of X is:
    Solution

    Concept:

    Variance (x) = E[x2] - (E [x])2

    Calculation:

    \(E\left[ X \right] = \mathop \smallint \nolimits_{ - \infty }^{ + \infty } xf_{x}\left( x \right)dx\)

    \(= \mathop \smallint \nolimits_1^\infty \frac{3}{{{x^3}}}dx\)

    \(= \left[ {\frac{{ - 3}}{2}{x^{ - 2}}} \right]_1^\infty = \frac{3}{2}\)

    \(E\left[ {{X^2}} \right] = \mathop \smallint \nolimits_{ - \infty }^{ + \infty } {x^2}f_{x}\left( x \right)dx\)

    \(= \mathop \smallint \nolimits_1^\infty \frac{3}{{{x^2}}}dx\)

    \(= \left[ { - 3{x^{ - 1}}} \right]_1^\infty \)

    = 3
    Var(X) = E[X2] - (E [X])2

    \(= 3 - \frac{9}{4}\)

    \(\Rightarrow \frac{3}{4} = 0.75\)
  • Question 12
    2 / -0.33
    A source generates 4 symbols with probabilities P(x1) = 0.4, P(x2) = 0.3, P(x3) = 0.2 and P(x4) = 0.1. Find the amount of information contained in the message x1 x2 x1 x3
    Solution

    P(x1 x2 x1 x3) = (0.4) (0.3) (0.4) (0.2)

    = 0.0096

    I (x1 x2 x1 x3) = - log2(0.0096) = 6.7 bits/symbol
  • Question 13
    2 / -0.33
    Consider a random process Z(t) = 2X(t) + 3Y(t), where X(t) and Y(t) are mutually orthogonal stationary random processes with zero mean and autocorrelation functions \({R_{XX}}\left( \tau \right) = 5{e^{ - 2\tau }}\) and \({R_{YY}}\left( \tau \right) = 3\tau + 7\), respectively. The power in Z(t) is:
    Solution

    Concept:

    The mean of random process X(t), also called as the expectation of the random process is represented by E[X(t)].

    Properties:

    1) \(E\left[ {AX\left( t \right) + B} \right] = AE\left[ {X\left( t \right)} \right] + B\)

    2) \(\;E\left[ {{{\left( {AX\left( t \right) + BY\left( t \right)} \right)}^2}} \right] = {A^2}\;E\left[ {{X^2}\left( t \right)} \right] + {B^2}\;E\left[ {{Y^2}\left( t \right)} \right] + 2A.B\;E\left[ {X\left( t \right)Y\left( t \right)} \right]\)

    3) E[X2(t)] of a random process X(t) gives the power in X(t) and is equal to the value of autocorrelation function at τ = 0, i.e.

    \(E\left[ {{X^2}\left( t \right)} \right] = {R_{XX}}\left( 0 \right)\);

    RXX(τ) is the autocorrelation function of X(t)

    4) If the two processes are orthogonal, then their cross-correlation is zero, i.e. for orthogonal processes:

    \({R_{XY}}\left( \tau \right) = E\left[ {X\left( t \right)Y\left( t \right)} \right] = 0\)

    Calculation:

    Given: E[X(t)] = 0, E[Y(t)] = 0, and E[X(t)Y(t)] = 0 (mutually orthogonal)

    \(E\left[ {Z\left( t \right)} \right] = E\left[ {2X\left( t \right) + 3Y\left( t \right)} \right]\)

    \( = 2E\left[ {X\left( t \right)} \right] + 3E\left[ {Y\left( t \right)} \right]\)

    Putting on the respective values, we get:

    \(E\left[ {Z\left( t \right)} \right] = 2 \times 0 + 3 \times 0\)

    \(E\left[ {Z\left( t \right)} \right] = 0\)

    E[X2(t)] = RXX(0) = 5e-2×0 = 5

    E[Y2(t)] = RYY(0) = 3 (0) + 7 = 7

    \(E\left[ {{Z^2}\left( t \right)} \right] = E\left[ {{{\left( {2X\left( t \right) + 3Y\left( t \right)} \right)}^2}} \right]\)

    \(= E\left[ {4{X^2}\left( t \right) + 9{Y^2}\left( t \right) + 12X\left( t \right)Y\left( t \right)} \right]\)

    \( = 4E\left[ {{X^2}\left( t \right)} \right] + 9E\left[ {{Y^2}\left( t \right)} \right] + 12E\left[ {X\left( t \right)Y\left( t \right)} \right]\)

    \(= 4 \times 5 + 9 \times 7 = 83\)

    ∴ The Power in Z(t), E[Z2(t)] = 83

  • Question 14
    2 / -0.33

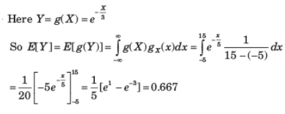
    A Random variable X is uniformly distributed on the interval (-5, 15). Another random variableY = e -X/5 is formed. The value of E[Y ] is

    Solution

  • Question 15
    2 / -0.33

    An AM signal is represented by:

    x(t) = (20 + 4 sin 500 πt) cos (2π × 105 t) V

    which of the following conclusion is/are correct?

    Solution

    Concept:

    The general form of an amplitude modulation signal is given by:

    x(t) = [Ac + m(t)] cos (ωct)  

    The total transmitted power for an AM system is given by:

    \({P_t} = {P_c}\left( {1 + \frac{{{μ^2}}}{2}} \right)\)   ---(1)

    Pc = Carrier Power

    μ = Modulation Index

    The modulation index is defined as:

    \({\mu _a} = \frac{{\max \left| {m\left( t \right)} \right|}}{{{A_c}}}\)

    Equation (1) can be written as:

    \({P_t} = {P_c}+\frac{P_c\mu ^2}{2}\)

    Pt = PC + Psb

    Calculation:

    Given, the amplitude modulated signal as:

    x(t) = (20 + 4 sin 500 πt) cos (2π × 105 t)       ---(2)

    The general form of an amplitude modulation signal is given by:

    x(t) = [Ac + m(t)] cos (ωct)     ---(3)

    Now, comparing equation (2) and (3), we can write:

    Ac = 20

    m(t) = 4 sin 500 πt

    So, the modulation will be:

    \({\mu _a} = \frac{{\max \left| {m\left( t \right)} \right|}}{{{A_c}}}\)

    \({\mu _a} = \frac{{\max \left| {4\sin 500\pi t} \right|}}{{{A_c}}}\)

    \({\mu _a} = \frac{4}{{20}} = 0.2\)

    Now, the total power of the amplitude modulated signal is given by:

    \({P_t} = \frac{1}{2}A_c^2\left( {1 + \frac{{\mu _a^2}}{2}} \right)\)

    \( = \frac{1}{2} \times {\left( {20} \right)^2}\left[ {1 + \frac{{{{\left( {0.2} \right)}^2}}}{2}} \right]\)

    Pt = 204 W

    Also, we have the unmodulated carrier power:

    \({P_c} = \frac{{A_c^2}}{2} = \frac{{{{\left( {20} \right)}^2}}}{2} = 200\;W\)

    The total power of the amplitude modulated signal can be written as:

    Pt = Pc + Psb

    Therefore, the power in the sideband signal is obtained as:

    Psb = Pt - Pc

    = 204 – 200

    Psb = 4 Watt

  • Question 16
    2 / -0.33

    A joint sample space for two random variable X and Y has four elements (1, 1), (2, 2), (3, 3) and (4, 4). Probabilities of these elements are 0.1, 0.35, 0.05 and 0.5 respectively.

    The probability of the event {X ≤ 2.5, Y ≤ 6} is

    Solution

  • Question 17
    2 / -0.33

    In a system, voice signals with maximum frequency component of 3.5 kHz are sampled at twice the Nyquist rate. The sampled signal is quantized into levels that produce N symbols {s0, s1, s2, … , sN-2, sN-1}. These symbols occur independently with probabilities:

    \(\frac{1}{2},\;\frac{1}{4},\frac{1}{8}, \ldots ,\frac{1}{{{2^{N - 1}}}},\frac{1}{{{2^{N - 1}}}}\).

    The entropy as a function of N and the information rate of the message source for N = 8 is:
    Solution

    Concept:

    If a message source produces xi symbols independently with probability mass function P(X=xi) then the entropy of the source is defined as:

    \(H = \mathop \sum \limits_i P\left( {X = {x_i}} \right){\log _2}\frac{1}{{P\left( {X = {x_i}} \right)}}\) bits

    The Nyquist sampling rate is defined as twice the maximum signal frequency, i.e.

    N.R. = 2 × fmax

    Also, the Information rate is defined as:

    \(I = \left( {H \times Symbol\;rate} \right)\) bits/sec

    Calculation:

    Entropy will be:

    \(H = \frac{1}{2}{\log _2}2 + \frac{1}{4}{\log _2}4 + \frac{1}{8}{\log _2}8 + \ldots + \frac{1}{{{2^{N - 1}}}}{\log _2}{2^{N - 1}}\)

    \(H = \frac{1}{2} + \frac{2}{4} + \frac{3}{8} + \ldots \frac{{N - 2}}{{{2^{N - 2}}}} + \frac{{N - 1}}{{{2^{N - 1}}}} + \frac{{N - 1}}{{{2^{N - 1}}}}\)   ---(1)

    Divide the above equation by 2, we get:

     \(\frac{H}{2} = \frac{1}{4} + \frac{2}{8} + \frac{3}{{16}} + \ldots \frac{{N - 2}}{{{2^{N - 1}}}} + \frac{{N - 1}}{{{2^N}}} + \frac{{N - 1}}{{{2^N}}}\)   ---(2)

    Subtract equation (2) from (1), we get:

    \(\frac{H}{2} = \frac{1}{2} + \frac{1}{4} + \frac{1}{8} + \frac{1}{{16}} + \ldots + \frac{1}{{{2^{N - 1}}}} + \left\{ {\frac{{N - 1}}{{{2^{N - 1}}}} - \frac{{N - 1}}{{{2^N}}} - \frac{{N - 1}}{{{2^N}}}} \right\}\)

    \(H = 1 + \frac{1}{2} + \frac{1}{4} + \frac{1}{8} + \ldots + \frac{1}{{{2^{N - 2}}}} + \left\{ {\frac{{N - 1}}{{{2^{N - 2}}}} - \frac{{N - 1}}{{{2^{N - 1}}}} - \frac{{N - 1}}{{{2^{N - 1}}}}} \right\}\)

    \( = 1 + \frac{1}{2} + \frac{1}{4} + \frac{1}{8} + \ldots + \frac{1}{{{2^{N - 2}}}}\)

    \(H = \mathop \sum \limits_{n = 0}^{N - 2} \frac{1}{{{2^n}}} = \frac{{1 - {{\left( {\frac{1}{2}} \right)}^{N - 1}}}}{{1 - \frac{1}{2}}}\)

    \( = 2 \times \left( {1 - {{\left( {\frac{1}{2}} \right)}^{N - 1}}} \right) = \frac{{{2^{N - 1}} - 1}}{{{2^{N - 2}}}}\)

    The maximum frequency of Voice signal = 3.5 kHz

    The Nyquist sampling rate will be:

    NR = 2 × 3.5 kHz

    NR = 7 kHz

    Sampling frequency will be:

    \({f_s} = 2 \times 7 = 14\;Kb/s\)

    The information rate will now be:

    \(I = \left( {\frac{{{2^{N - 1}} - 1}}{{{2^{N - 2}}}} \times 14} \right)\) Kbps

    For N = 8, the information rate will be:

    \(I = \left( {\frac{{{2^7} - 1}}{{{2^5}}} \times 14} \right) \approx 27.78\;\)Kbits/sec

    Alternate Method:

    \(H = \frac{1}{2}{\log _2}2 + \frac{1}{4}{\log _2}4 + \frac{1}{8}{\log _2}8 + \ldots + \frac{1}{{{2^{N - 1}}}}{\log _2}{2^{N - 1}}\)

    \(H = \mathop \sum \nolimits_{n = 1}^{N - 1} \frac{n}{{{2^n}}} + \frac{{N - 1}}{{{2^{N - 1}}}}\)     ---(1)

    \(\frac{H}{2} = \mathop \sum \nolimits_{n = 1}^{N - 1} \frac{n}{{{2^{n + 1}}}} + \frac{{N - 1}}{{{2^N}}}\)    ---(2)

    Subtracting (2) from (1), we get:

    \(\frac{H}{2} = \left( {\frac{1}{2} + \mathop \sum \limits_{n = 2}^{N - 3} \frac{1}{{{2^n}}}} \right)\;\; + \left\{ {\frac{{N - 1}}{{{2^{N - 1}}}} - \frac{{N - 1}}{{{2^N}}} - \frac{{N - 1}}{{{2^N}}}} \right\}\)

    \( = \mathop \sum \limits_{n = 1}^{N - 3} \frac{1}{{{2^n}}}\; + 0\)

    \(H = \mathop \sum \limits_{n = 1}^{N - 3} \frac{1}{{{2^{n - 1}}}}\)

    \(H = \mathop \sum \limits_{n = 0}^{N - 2} \frac{1}{{{2^n}}} = \frac{{1 - {{\left( {\frac{1}{2}} \right)}^{N - 1}}}}{{1 - \frac{1}{2}}} = 2 \times \left( {1 - {{\left( {\frac{1}{2}} \right)}^{N - 1}}} \right)\)

    \(H = \frac{{{2^{N - 1}} - 1}}{{{2^{N - 2}}}}\)

  • Question 18
    2 / -0.33

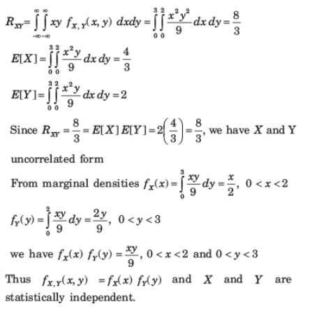
    Two random variable X and Y have the density function

    The X and Y are

    Solution

  • Question 19
    2 / -0.33

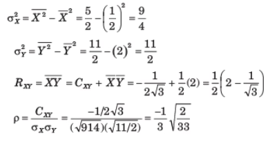
    The value of σx2, σy2, RXY and ρ are respectively

    Solution

  • Question 20
    2 / -0.33

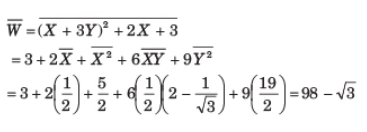
    The mean value of the random variable

    W = (X + 3Y)2 + 2X + 3 is

    Solution

  • Question 21
    2 / -0.33

    A (7, 4) block code has a generator matrix as shown.

    \(G = \left[ {\begin{array}{*{20}{c}}1&0&0&0&1&1&0\\0&1&0&0&0&1&1\\0&0&1&0&1&1&{1}\\0&0&0&1&1&0&1\end{array}} \right]\)

    If there is error in the 7th Bit then syndrome for the same will be
    Solution

    The generator Matrix is given by

    \(G = \left[ {{I_K}{P^T}} \right]\)

    \({P^T} = \left[ {\begin{array}{*{20}{c}}1&1&0\\0&1&1\\1&1&1\\1&0&1\end{array}} \right]\)

    The parity check matrix is given by:

    H = [P Ikn – K]

    Syndrome

    S = eHT

    \({H^T} = \left[ {\begin{array}{*{20}{c}}{{P^T}}\\{{I_{n - k}}}\end{array}} \right]\)

    \({H^T} = \left[ {\begin{array}{*{20}{c}}1&1&0\\0&1&1\\1&1&1\\1&0&1\\1&0&0\\0&1&0\\0&0&1\end{array}} \right]\)

    S = eHT

    For error in 7th Bit

    E = [000 0001]

    \(S = \left[ {000\;000\;1} \right]\left[ {\begin{array}{*{20}{c}}1&1&0\\0&1&1\\1&1&1\\1&0&1\\1&0&0\\0&1&0\\0&0&1\end{array}} \right]\)

    S = [ 0 0 1]

    Extra information:

    Syndrome for all possible errors

    Error Pattern

    Syndrome

    0000000

    000

    0000001

    001

    0000010

    010

    0000100

    100

    0001000

    101

    0010000

    111

    0100000

    011

    1000000

    110

  • Question 22
    2 / -0.33

    A superheterodyne receiver is to operate in the frequency range 550 kHz – 1650 kHz, with an intermediate frequency of 450 kHz. Let r = Cmax/Cmin denote the required capacitance ratio of the local oscillator and f’c denote the image frequency (in kHz) of the incoming signal.

    If the receiver is tuned to 700 kHz, then which of the following results is/are true?
    Solution

    Given the maximum and maximum operating frequencies of the superheterodyne receiver.

    Fc,min = 550 kHz

    Fc,max = 1650 kHz

    Also, the intermediate frequency is:

    fIF = 450 kHz

    So, we obtain the range of frequency of local oscillator as:

    fLO,min = fc,min + fIF

    = 550 + 450 = 1000 kHz

    And fLO, max = fc, max + fIF

    = 1650 + 450

    = 2100 kHz

    The frequency of the local oscillator is given by:

    \({f_{LO}} = \frac{1}{{2\pi \sqrt {LC} }}\)

    Where L is the inductance and C is capacitance.

    Now, for a fixed value of L, we can write:

    \(\sqrt C = \frac{1}{{2\pi \sqrt L }f_{LO}}\)

    \(C = \frac{1}{{2\pi L}}\frac{1}{{f_{LO}^2}}\)

    So, the maximum value of capacitance exists for a minimum value of fLO, i.e.,

    \({C_{max}} = \frac{1}{{2\pi L}}\frac{1}{{f_{LO,\;min}^2}}\)

    Similarly, we get:

    \({C_{min}} = \frac{1}{{2\pi L}}\frac{1}{{f_{LO,\;max}^2}}\)

    Therefore, the ratio of Cmax to Cmin will be:

    \(r = \frac{{{C_{max}}}}{{{C_{min}}}} = \frac{{f_{LO,\;max}^2}}{{f_{LO,\;min}^2}}\)

    \( = \frac{{{{\left( {2100} \right)}^2}}}{{{{\left( {1000} \right)}^2}}} = 4.41\)

    Also, we obtain the image frequency for fc = 700 kHz, as:

    fc’ = fc + 2fIF

    = 700 + 2 × 450

    = 1600 kHz

  • Question 23
    2 / -0.33

    A CRT Terminal is used to enter alphanumeric data into a computer. The CRT is connected to the computer through a voice grade telephone line having a usable bandwidth of 3000 Hz and output \(\frac{S}{N}\) of 10dB. Assume that the terminal has 128 characters and the data sent from the terminal consists of independent sequence of equiprobabe characters maximum rate at which data can be transmitted from terminal to computer without errors.

    Solution

    The Capacity of channel

    \(C = Blo{g_2}\left( {1 + \frac{S}{N}} \right)\)

    \(C = \left( {3000} \right){\log _2}\left( {1 + 10} \right)\)

    C = 10,378 bits/sec

    Average information content

    H(x) = -Σp(x) log2p(x)

    \(p\left( x \right) = \frac{1}{{128}}\)

    H(x) = log2(128) = 7 bits/character.

    Average information rate of Source R = rsH

    = 7 rs

    For errorless Transmission

    7 rs < 10,378

    rs < 1482

    maximum rate of which data can be transmitted without errors is 1482 char/sec
  • Question 24
    2 / -0.33

    If machine is not properly adjusted, the product resistance change to the case where ax = 1050Ω . Now the rejected fraction is

    Solution

  • Question 25
    2 / -0.33

    A The power spectrum of a random noise X(t) is defined as:

    \({S_X}\left( \omega \right) = \frac{3}{{49 + {\omega ^2}}}\)

    This is applied to a differentiator that has a transfer function H(ω) = jω. The output is then applied to a network for which h(t) = t2 e-7t u(t).

    Solution

    Given the power spectrum of X(t) as:

    \({X_X}\left( \omega \right) = \frac{3}{{49 + {\omega ^2}}}\)

    So, the average power in X(t) is obtained as:

    \({P_X} = \frac{1}{{2\pi }}\mathop \smallint \limits_{ - \infty }^\infty \frac{3}{{49 + {\omega ^3}}}d\omega \)

    \(= \frac{3}{{2\pi }}\left[ {\frac{1}{7}{{\tan }^{ - 1}}\frac{\omega }{7}} \right]_{ - \infty }^\infty \)

    \(= \frac{3}{{2\pi }} \times \frac{1}{7}[{\tan ^{ - 1}}\infty - {\tan ^{ - 1}}\left( { - \infty } \right)]\)

    \(= \frac{3}{{14}}\)

    Option (3) is correct.

    Given the power spectrum of input:

    \({S_X}\left( \omega \right) = \frac{3}{{49 + {\omega ^2}}}\)

    As this passes through the differentiator the output PSD becomes:

    \( S_{Y1} (\omega)=\frac{3\omega ^2}{{49 + {ω ^2}}}\)

    The transfer function for the second system is:

    \(h\left( t \right) = {t^2}{e^{ - 7t}}u\left( t \right)\)

    So, we obtain the transfer function in the frequency domain as:

    \(H\left( ω \right) = {\cal F} \cdot T \cdot \left\{ {h\left( t \right)} \right\}\)

    \(= {\cal F} \cdot T \cdot \left\{ {{t^2}{e^{ - 7t}}} \right\}\)

    \(= \frac{2}{{{{\left( {7 + jω } \right)}^3}}}\)

    Therefore, the final output spectrum is given by:

    SY(ω) = SY1(ω) H(ω)2

    \(= \frac{3\omega^2}{{49 + {ω ^2}}} \times \frac{{{{\left( 2 \right)}^2}}}{{{{\left( {{7^2} + {ω ^2}} \right)}^3}}}\)

    \(= \frac{{12\omega^2}}{{{{\left( {49 + {ω ^2}} \right)}^4}}}\)    

Self Studies
User
Question Analysis
  • Correct -

  • Wrong -

  • Skipped -

My Perfomance
  • Score

    -

    out of -
  • Rank

    -

    out of -
Re-Attempt Weekly Quiz Competition
Self Studies Get latest Exam Updates
& Study Material Alerts!
No, Thanks
Self Studies
Click on Allow to receive notifications
Allow Notification
Self Studies
Self Studies Self Studies
To enable notifications follow this 2 steps:
  • First Click on Secure Icon Self Studies
  • Second click on the toggle icon
Allow Notification
Get latest Exam Updates & FREE Study Material Alerts!
Self Studies ×
Open Now