Self Studies

Communications Test 2

Result Self Studies

Communications Test 2
  • Score

    -

    out of -
  • Rank

    -

    out of -
TIME Taken - -
Self Studies

SHARING IS CARING

If our Website helped you a little, then kindly spread our voice using Social Networks. Spread our word to your readers, friends, teachers, students & all those close ones who deserve to know what you know now.

Self Studies Self Studies
Weekly Quiz Competition
  • Question 1
    2 / -0.33
    For an AM system with modulation index μa = 0.6, the ratio of SSB signal power to the AM signal power is _________. (Correct up to three decimal places)
    Solution

    Concept:

    The generalized AM expression is represented as:

    s(t) = Ac [1 + μa mn (t)] cos ωc t

    The total transmitted power for an AM system is given by:

    \({P_t} = {P_c}\left( {1 + \frac{{{μ^2}}}{2}} \right)\)

    Pc = Carrier Power

    μ = Modulation Index

    The above expression can be expanded to get:

    \({P_t} = {P_c} + P_c\frac{{{μ^2}}}{2}\)

    The total power is the sum of the carrier power and the sideband power, i.e.

    \({P_s} = P_c\frac{{{μ^2}}}{2}\)

    The power in single sideband will be:

    \({P_s} = \frac{1}{2}\times P_c\frac{{{μ^2}}}{2}\)

    With \(P_c=\frac{A^2}{2}\), the above can be written as:

    \({P_s} = \frac{1}{2}\times \frac{A_c^2}{2}\frac{{{μ^2}}}{2}\)

    \({P_s} = \frac{{{A_c^2μ^2}}}{8}\)   ---(1)

    Analysis:

    Given the modulation index for the AM signal:

    μa = 0.6

    Using Equation (1), the single-sideband power will be:

    \(P_{SSB}= \frac{{\mu _a^2\;A_c^2}}{8}\)

    Thus, the desired ratio is:

    \(\frac{{{P_{SSB}}}}{{{P_T}}} = \frac{{\mu _a^2A_c^2}}{8} \times \frac{1}{{\frac{{A_c^2}}{2}\left[ {1 + \frac{{\mu _a^2}}{2}} \right]}}\)

    \( = \frac{{{{\left( {0.6} \right)}^2}}}{8} \times \frac{1}{{\frac{1}{2}\left[ {1 + \frac{{{{\left( {0.6} \right)}^2}}}{2}} \right]}}\)

    \(= \frac{9}{{118}} = 0.0763\)

  • Question 2
    2 / -0.33

    An angle modulated signal s(t) is given as

    s(t) = Ac cos [ωct + 2 cos 60 πt + 5 cos 40πt]

    where ωc is the carrier frequency.

    What will be the peak phase deviation (in radians) of the signal? 
    Solution

    Given the angle modulated signal,

    s(t) = Ac cos [ωc t + 2 cos 60πt + 5 cos 40 πt]

    So, we have the instantaneous phase deviation,

    θ(t) = 2 cos 60πt + 5 cos 40πt

    Therefore, the peak phase deviation is given by

    Δθ = max |θ(t)|

    = max |θ(t)|

    = max |2 cos 60πt + 5 cos 40πt|        

    = 2 + 5

    = 7 radians.

  • Question 3
    2 / -0.33

    Let x and y be two random variables. If x takes two values {+1, -1} and y is defined as y = -x further if E[x] = 0 and var[x] = 1. Then the variance of x + y is _________.

    Solution

    Solution:

    x = ±1

    E[x] = 0

    Var[x] = 1

    y = -x

    E[y] = 0

    Var[y] = (-1)2 var[x] = 1

    x + y = 0

    var[x + y] = 0

    Note:

    Var[x + y] ≠ var[x] + var[y]

    If x and y are correlated.

  • Question 4
    2 / -0.33
    A communication channel of bandwidth 75 kHz is required to transmit binary data at a rate of 0.1 Mb/s using raised-cosine pulses. The roll-off factor α will be ______.
    Solution

    Concept:

    The bandwidth for a raised cosine pulse with a roll-ff factor of α, is given by:

    Bandwidth = \(\frac{{{R_b}}}{2}\left( {1\; + \;α } \right)\)

    Rb = Bita/Data rate

    Calculation:

    Given bandwidth = 75 KHz

    Rb = 0.1 Mb/S

    \(So,\;75k = \frac{{0.1M}}{2}\left( {1 + α } \right)\)

    \(1 + α = \frac{{150K}}{{0.1M}}\)

    \(1 + α = \frac{{0.15}}{{0.1}} = \frac{{15}}{{10}} = 1.5\)

    α = 1.5 – 1 = 0.5

    So, the roll-off factor α = 0.5.
  • Question 5
    2 / -0.33
    For the Hamming block code, if ‘n’ be total word length of the block and ‘k’ be the number of information bit, then an allowable code of this (n, k) family of Hamming code is
    Solution

    Hamming codes are linear error correcting code that can detect up to two-bit errors or correct one-bit error.

    The total block length n = 2r – 1

    Message bits length k = 2r – r – 1

    i.e. ‘r’ number of bits are added to message bits to get total code word.

    (7, 5),

    r = 2

    But n = 22 – 1 = 3 ≠ 7

    (15, 11),

    r = 4

    n = 24 – 1 = 15

    k = 24 – 4 – 1 = 11
  • Question 6
    2 / -0.33
    In a certain course, letter grades A, B, C, D, and E are given with equal numbers/probability. When the instructor tells a student that his grade is not E, how much information in bits did the student receive?
    Solution

    Concept:

    Information associated with the event is “inversely” proportional to the probability of occurrence.

    Mathematically, this is defined as:

    \(I = {\log _2}\left( {\frac{1}{P}} \right)\;bits\)

    P and I represent the probability and information associated with the event

    Calculation:

    Given that the five grades A, B, C, D, and E are given in equal numbers, the probability of each grade will be:

    P(A) = P(B) = P(C) = P(D) = P(E) = 1/5

    Now the instructor tells a student that his grade is not E. ∴ The probability of this event will be:

    \(P(\bar E)=1-\frac{1}{5}=\frac{4}{5}\)

    Now, the information in bits in the event will be:

    \(P(\bar E)=log_2(\frac{1}{P(\bar E)})\)

    \(=log_2(\frac{5}{4})\)

    = 0.322 bits

  • Question 7
    2 / -0.33

    Suppose Y is a random variable representing the number of successes in 5 independent Bernoulli trials with success probability p = 0.6. What is the probability that Y equals 3?

    Solution

    Y follows a Binomial distribution with parameters n = 5 (number of trials) and p = 0.6 (probability of success).

    The probability mass function for a binomial random variable is:

    P(Y = k) = C(n, k) * p^k * (1 - p)^(n - k)

    Where C(n, k) is the combination of n items taken k at a time.

    For Y = 3:

    C(5, 3) = 10

    P(Y = 3) = 10 * (0.6)^3 * (0.4)^2

    Calculate:

    (0.6)3 = 0.216

    (0.4)2 = 0.16

    P(Y = 3) = 10 * 0.216 * 0.16 = 10 * 0.03456 = 0.3456

  • Question 8
    2 / -0.33

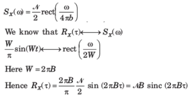
    Consider a low-pass random process with a white-noise power spectral density  as shown in fig.

    The auto correlation function Rx(τ) is

    Solution

  • Question 9
    2 / -0.33
    The modulating index of an AM-signal is reduced from 0.8 to 0.5. The ratio of the total power in the new modulated signal to that of the original signal will nearly be
    Solution

    Concept:

    In Am-modulated signal,

    Total power = carrier power + sideband power

    \({p_t} = \frac{{A_C^2}}{2} + \frac{{A_C^2{\mu ^2}}}{4}\)

    Where AC → carrier signal amplitude

    μ → modulation index.

    Calculation:

    When μ = 0.8

    \({\left( {{p_t}} \right)_{old}} = \frac{{A_C^2}}{2}\left[ {1 + \frac{{{\mu ^2}}}{2}} \right]\)

    \({\left( {{p_t}} \right)_{old}} = \frac{{A_C^2}}{2}\;\left[ {1 + 0.32} \right] = 0.66\;A_C^2\)

    When μ = 0.5

    \({\left( {{p_t}} \right)_{new}} = \frac{{A_C^2}}{2}\;\left[ {1 + \frac{{0.25}}{2}} \right] = \frac{{0.25}}{4}\;A_C^2\)

    \(\frac{{{{\left( {{p_t}} \right)}_{new}}}}{{{{\left( {{p_t}} \right)}_{old}}}} = \frac{{2.25}}{{4 \times 0.66}} = 0.8522\)

  • Question 10
    2 / -0.33

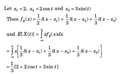
    A random process consists of three samples function X(t, s1) = 2, X(t, s2) = 2cos t1 and X(t, s3) = 3sint - each occurring with equal probability. The process is

    Solution

    The mean value is time dependent so X (t) is not stationary in any sense.

  • Question 11
    2 / -0.33

    A random variable X is uniformly distributed on the interval (-5, 15).

    Another random variable \(Y = {e^{ - \frac{X}{5}}}\) is formed. What is the expected value of Y?
    Solution

    Given, the random variable X uniformly distributed on the interval (a, b) such that a = -5, b = 15

    So, the probability density function of random variable is

    \({f_X}\left( x \right) = \frac{1}{{b - a}}\)

    For -5 < x < 15, we get:

    \(= \frac{1}{{15 - \left( { - 5} \right)}} = \frac{1}{{20}}\)

    \(= \left\{ {\begin{array}{*{20}{c}} {\frac{1}{{20}},\;\;\; - 5 < x < 15}\\ {0,\;\;\;\;\;\;otherwise} \end{array}} \right.\)

    So, the expected value of \(Y = {e^{ - \frac{X}{5}}}\) is obtained as:

    \(E\left[ Y \right] = E\left[ {{e^{ - \frac{X}{5}}}} \right] = \mathop \smallint \limits_{ - \infty }^\infty e\left( {\frac{{ - x}}{5}} \right){f_X}\left( x \right)dx\)

    \( = \mathop \smallint \limits_{ - 5}^{15} e\left( {\frac{{ - x}}{5}} \right) \cdot \frac{1}{{20}}dx = \frac{1}{{20}}\left[ {\frac{{{e^{ - \frac{x}{5}}}}}{{ - \frac{1}{5}}}} \right]_{ - 5}^{15}\)

    \( = - \frac{1}{4}\left[ {{e^{ - \frac{{15}}{5}}} - {e^{\frac{5}{5}}}} \right]\)

    = 0.667

  • Question 12
    2 / -0.33

    The auto correlation function of a stationary ergodic random process is shown in fig.

    The mean value E[X(t)] is

    Solution

    We know that for ergodic with no periodic component

  • Question 13
    2 / -0.33

    An angle modulated signal is given as x(t) = 100 cos (2πfct + 4 sin 2πfm t) where fc = 1000 MHz and fm = 1000 Hz.

    For the given information, which of the following statements is/are correct?
    Solution

    Given, the angle modulated signal as:

    x(t) = 100 cos (2πfct + 4 sin 2πfmt)

    Carrier frequency

    fc = 1000 MHz = 109 Hz

    Frequency of message signal

    fm = 1000 Hz

    So, we have the phase as:

    θ(t) = 4 sin 2πfmt

    = 4 sin (2π × 1000t)

    Therefore, the maximum frequency deviation is given by

    \({\rm{\Delta }}f = \max \left[ {\frac{1}{{2\pi }}\frac{{d\theta \left( t \right)}}{{dt}}} \right]\)

    \(= \max \left\{ {\frac{1}{{2\pi }}\left[ {4 \times 2\pi \times 1000\cos \left( {2\pi \times 1000t} \right)} \right]} \right\}\)

    = max {400 cos 1000t} = 4000

    So, the modulation index of the FM signal is obtained as:

    \({\beta _f} = \frac{{{\rm{\Delta }}f}}{{{f_m}}} = \frac{{4000}}{{1000}} = 4\)

    Also, we get the bandwidth of FM signal as:

    B = 2(βf + 1)fm

    = 2(4 + 1)1000

    = 10 kHz

    Again, we have the signal as:

    x(t) = 100 cos (2πfct + 4 sin 2πfm t)

    = 100 cos [2π × 109t + 4 sin (2π × 1000t)]

    So, the peak phase deviation is obtained as

    Δθ = max [4 sin (2π × 1000t)] = 4

    Therefore, the modulation index of PM is:

    βp = Δθ = 4

    Also, we obtain the bandwidth of PM signal as:

    BPM = 2(βP + 1)f­m

    = 2(4 + 1) × 1000

    = 10 kHz

  • Question 14
    2 / -0.33

    The auto correlation function of a stationary ergodic random process is shown in fig.

    The variance σx2 is

    Solution

  • Question 15
    2 / -0.33
    A music signal band-limited to 15 kHz is sampled at 45 kHz samples/sec and it sent using 8 bit PCM. SNR of this system was found to be 10 dB. If the sampling rate is reduced to 35 × 103 samples/sec. The improvement in SNR assuming bit rate does not exceed previous case is _____ dB.
    Solution

    When fs = 45 × 103 sample/sec

    And each sample is encoded in 8 bits

    Bit rate = 45 × 8 × 103

    = 36 × 104 bits/sec

    When fs = 35 × 103

    Number of bits that can be used

    \(R \Rightarrow \frac{{36 \times {{10}^4}}}{{35 \times {{10}^3}}} = 10.28 \approx 10\) (As R has to be integer)

    Bits increased from 8 to 10 i.e by 2.

    SNR improved by 6(2) = 12 dB
  • Question 16
    2 / -0.33

    A stationary zero mean random process X(t) is ergodic has average power of 24 W and has no periodic component. The valid auto correlation function is

    Solution

    For (A) : It has a periodic component.

    For (B) ; It is not even in τ, total power is also incorrect.

    For (C) It depends on t not even in τ and average power is ∞

  • Question 17
    2 / -0.33

    A stationary random process X(t) is applied to the input of a system for which  If E[X(t)] = 2, the mean value of the system's response Y(t) is

    Solution

  • Question 18
    2 / -0.33

    White noise with power density N0/2 is applied to a low pass network for which |H(0)| = 2. It has a noise bandwidth of 2 MHz. If the average output noise power is 0.1 W in a 1 - Ω( resistor, the value of N0 is

    Solution

  • Question 19
    2 / -0.33

    The two-level semi-random binary process is defined by X(t) = A or – A where (n – 1) T < t < nT and the levels A and -A occur with equal probability. T is a positive and n = 0, ± 1, ± 2.

    Which of the following statements is/are correct?

    Solution

    Given, the random process

    X(t) = A or – A for (n – 1) T < t < nT.

    Also, the levels A and -A occur with equal probability. So, we have:

    \(P\left\{ {X\left( t \right) = A} \right\} = P\left\{ {X\left( t \right) = - A} \right\} = \frac{1}{2}\)

    So, we obtain the mean value as:

    E[X(t)] = A × P {X(t) = A} – A × P{X(t) = -A}

    \(= \frac{A}{2} - \frac{A}{2}\)

    = 0

    \(P\left\{ {X\left( t \right) = A} \right\} = P\left\{ {X\left( t \right) = - A} \right\} = \frac{1}{2}\)

    Now, we determine the autocorrelation as:

    \({R_X}\left( {{t_1},\;{t_2}} \right) = E\left[ {X\left( {{t_1}} \right)X\left( {{t_2}} \right)} \right]\)

    Here, t1 = 0.5 T and t2 = 0.7 T. Both of the instantaneous time lies in the same interval i.e. 0 < t1, t2 < T

    So, we have

    X(t1) = X(t2) = A

    X(t1) = X(t2) = -A

    In both the cases, we get:

    X(t1) X(t2) = A2

    So, we obtain

    \({R_X}\left( {{t_1},\;{t_2}} \right) = E\left[ {X\left( {{t_1}} \right)X\left( {{t_2}} \right)} \right]\)

    \( = {A^2} P\left\{ {X\left( {{t_1}} \right) = X\left( {{t_2}} \right) = A} \right\} + {A^2} P\left\{ {X\left( {{t_1}} \right) = X\left( {{t_2}} \right) = - A} \right\}\)

    \(= \frac{{{A^2}}}{2} + \frac{{{A^2}}}{2}\)

    = A2

  • Question 20
    2 / -0.33

    A Binary PAM employs rectangular pulses of duration Tb and amplitudes ±A to transmit digital data at rate of Rb = 105 bits/sec. If the power spectral density of the additive Gaussian noise is \(\frac{{{N_o}}}{2}\) where No = 10-2 W/Hz. The value of pulse Amplitude to achieve probability of error 10-6 is

    Given Q (4 .75) = 10-6
    Solution

    Bit Rate = 105 bits/sec

    Bit Interval = 10-5 bits/sec

    Pe in PAM \(= Q\left[ {\sqrt {\frac{{2Eb}}{{{N_o}}}} } \right]\)

    Eb = bit Energy = A2 Tb

    Pe = 10-6

    \({P_e} = Q\left( {\sqrt {2 \times {A^2}{T_b}} } \right) = {10^{ - 6}}\)

    \(\sqrt {\frac{{2{E_b}}}{{{N_o}}}} = 4.75\)

    \({E_b} = \frac{{{{\left( {4.75} \right)}^2} \times {N_o}}}{2}\)

    Eb = 0.1128

    A2 Tb = 0.1128

    \(A = \sqrt {0.1128 \times {{10}^5}}\)

    = 106.21

  • Question 21
    2 / -0.33

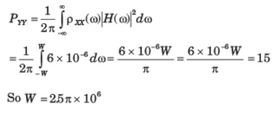
    An ideal filter with a mid-band power gain of 8 and bandwidth of 4 rad/s has noise X(t) at its input with power spectrum  The noise power at the network's output is (F(2) = 0.9773)

    Solution

  • Question 22
    2 / -0.33

    White noise with power density N0/2 = 6 μW/Hz is applied to an ideal filter of gain 1 and bandwidth W rad/s. If the output's average noise power is 15 watts, the bandwidth W is

    Solution

  • Question 23
    2 / -0.33

    Digital information is to be transmitted by carrier modulation through an additive Gaussian noise channel with a bandwidth of 100 kHz and N0 = 10-10 W/Hz. (Assume that \(\frac{sinx}{x}\) (sinc) pulse waveform is used)

    Which of the following statements is/are correct?
    Solution

    Given, the bandwidth of the Gaussian noise channel:

    BT = 100 kHz

    When \(\frac{sinx}{x}\) pulse waveform is used, the minimum transmission bandwidth for 4 phase PSK system is defined as:

    \({B_T} = \frac{{{R_b}}}{{{{\log }_2}M}}\)

    Since, for the 4-phase PSK, we have M = 4. Therefore, the maximum data rate for the system is given by:

    Rb = (log2 4)(100 kHz)

    Rb = 200 kHz

    Again, we have the channel bandwidth (modulation bandwidth) as:

    BT = 100 kHz

    For binary FSK, we have:

    M = 2

    Therefore, the maximum data rate that can be transmitted through the channel is given by:

    \({R_b} = \frac{{{B_T}}}{{{{\log }_2}M}} = \frac{{100}}{{{{\log }_2}2}} \)

    Rb = 100 kHz

    We have the channel bandwidth (modulation bandwidth)

    BT = 100 kHz

    For M-frequency orthogonal signals, the relation between modulation bandwidth and data rate is given by:

    \({R_b} = \frac{{2{{\log }_2}M}}{M}{B_T}\)

    Since, for 4-frequency orthogonal FSK, we have:

    M = 4

    Thus, the maximum data rate is obtained as:

    \({R_b} = \frac{{2{{\log }_2}4}}{2}\left( {100} \right)\)

    R= 100 kHz

  • Question 24
    2 / -0.33

    A communication system using Binary phase shift keying uses signals 5cos (106t) for bit ‘1’ and -5cos (106t) for bit ‘0’. If two-sided power spectral density of noise is 0.125 × 10-7 W/Hz

    The bit error rate of the communication system for data rate of 20 mbps is

    \((Assume\;erfc{\left( z \right) \simeq \frac{{{e^{ - {z^2}}}}}{{\sqrt {\pi z}}}})\)

    Solution

    Given for bit ‘1’ → 5 cos (106t)

    ⇒ Power of transmitted signal \(= \frac{{{5^2}}}{2} = 12.5 W\)

    ⇒ Signal energy per bit = P⋅Tb

    Tb = 0.5 × 10-7 S for 20 Mbps data rate.

    ⇒ Eb = 12.5 × 0.5 × 10-7 W sec

    = 6.25 × 10-7 W sec

    N0/2 = 0.125 x 10-7

    N0 = 0.25 x 10-7

    For BPSK \({P_e} = \frac{1}{2}{\rm{er}}{{\rm{f}}_c}\left( {\sqrt {\frac{{{E_b}}}{{{N_o}}}} } \right)\)

    \(\begin{array}{l} = \frac{1}{2}{\rm{er}}{{\rm{f}}c}\left( {\sqrt {\frac{{6.25 \times {{10}^{ - 7}}}}{{0.25 \times {{10}^{ - 7}}}}} } \right)\\ = \frac{1}{2}{\rm{er}}{{\rm{f}}c}\left( {\sqrt {25} } \right)\\ \end{array}\)

    = 3.5× 10-12
  • Question 25
    2 / -0.33
    In a transmission of a picture there are 2.25 x 106 picture elements per frame. For good reproduction 12 brightness levels are necessary. Assuming all these levels to be equiprobable, the minimum channel bandwidth required to transmit one picture in every three minutes for a signal to noise ratio of 30 decibels is ________ kHz
    Solution

    Number of picture elements per frame = 2.25 x 106

    Number of brightness levels = 12 = M

    All 12 brightness levels are equiprobable

    Number of pictures per minute = 1/3

    Information rate (R) = No of message /sec x average information per message

    R = r x H

    r= 2.25 x 106 / 3 mins = 12500 elements/sec

    H = Log2M = Log212

    R = 12,500 x Log212

    R = 44.812 k bits/sec

    Using Shannon capacity theorem

    C = B log2(1 + S/N)

    44812 = B log2(1 + 1000)

    B = 4.49 kHz

Self Studies
User
Question Analysis
  • Correct -

  • Wrong -

  • Skipped -

My Perfomance
  • Score

    -

    out of -
  • Rank

    -

    out of -
Re-Attempt Weekly Quiz Competition
Self Studies Get latest Exam Updates
& Study Material Alerts!
No, Thanks
Self Studies
Click on Allow to receive notifications
Allow Notification
Self Studies
Self Studies Self Studies
To enable notifications follow this 2 steps:
  • First Click on Secure Icon Self Studies
  • Second click on the toggle icon
Allow Notification
Get latest Exam Updates & FREE Study Material Alerts!
Self Studies ×
Open Now