Self Studies

Thermodynamics Test - 2

Result Self Studies

Thermodynamics Test - 2
  • Score

    -

    out of -
  • Rank

    -

    out of -
TIME Taken - -
Self Studies
Weekly Quiz Competition
  • Question 1
    2 / -0.33

    A system comprising a single phase is called a

    Solution

    Definition of a Single Phase System:
    A single phase system refers to a system in thermodynamics that consists of a single phase, meaning that the system has a uniform composition and properties throughout.

    Distinguishing Characteristics of Different Systems:
    To determine the type of system, it is important to understand the distinguishing characteristics of each type:

    1. Closed System:
    - A closed system is one that allows the transfer of energy (heat and work) but not mass across its boundaries.
    - The mass of the system remains constant.
    - Heat and work can be exchanged with the surroundings.
    - Examples: A piston-cylinder system, a refrigeration cycle.

    2. Open System:
    - An open system is one that allows the transfer of both energy and mass across its boundaries.
    - Both heat and work can be exchanged with the surroundings.
    - Examples: A boiling pot of water, a flowing river.

    3. Isolated System:
    - An isolated system is one that does not exchange energy or mass with its surroundings.
    - It is thermally and mechanically isolated.
    - The total energy and mass of the system remain constant.
    - Examples: The universe, a perfectly insulated container.

    4. Homogeneous System:
    - A homogeneous system is one that has a uniform composition throughout.
    - It is characterized by a single phase.
    - Examples: A pure substance in a single state (liquid, gas, or solid).

    Identification of the Correct Answer: Based on the definitions and characteristics mentioned above, the correct answer is option D: homogeneous system. A single phase system is a type of homogeneous system where the composition and properties are uniform throughout the system.

  • Question 2
    2 / -0.33

    A balloon containing an ideal gas is initially kept in an evacuated and insulated room. The balloon ruptures and the gas fills up the entire room. Which one of the following statements is TRUE at the end of above process ?

    Solution

    If the balloon containing the ideal gas is initially kept in an evacuated and insulated room. Then if the balloon ruptures and the gas fills up the entire room, the process is known as free or unrestrained expansion.

    Now if apply the first law of thermodynamics between the initial and final states.

    Q = (u− u1) + W

    In this process, no work is done on or by the fluid, since the boundary of the system does not move. No heat flows to or from the fluid since the system is well insulated.

    u− u= 0 ⇒ u= u1

    Enthalpy is given as 

    h = u + Pv

    For ideal gases, as we know, internal energy and enthalpy are a function of temperature only, so if internal energy U remains constant, temperature T also remains constant which means enthalpy also remains constant.

    So, during the free expansion of an ideal gas, both internal energy and enthalpy remain constant.

  • Question 3
    2 / -0.33

    The main cause of the irreversibility is

    Solution

    There are basically two reasons of irreversibility of a thermodynamic process.

    1. Involvement of dissipative effect during the process.
    2. Lack of thermodynamic equilibrium during the process.
  • Question 4
    2 / -0.33

    Directions For Questions

    Which of the following are intensive properties?

    1. Kinetic Energy
    2. Specific Enthalpy
    3. Pressure
    4. Entropy

    ...view full instructions

    Select the correct answer using the code given below:

    Solution

    Option (b) 2 and 3 is  correct.

    Specific enthalpy and pressure

    Are both intensive properties.

    Explanation:- { Intensive properties are those that do not depend on the size of the system. Specific enthalpy is the enthalpy on a per gram basis. Since  this value is normalized to the per gram basis it does not depend on the size of the system being measured.} So, both are intensive properties.

  • Question 5
    2 / -0.33

    Directions For Questions

    Consider the following:

    1. Kinetic energy
    2. Entropy
    3. Thermal conductivity
    4. Pressure

    ...view full instructions

    Which of these are intensive properties?

    Solution

    Kinetic energy 1/2mv2 depends on mass, Entropy kJ/k depends on mass so Entropy is extensive property but specific entropy kJ/kg K is an intensive property.

  • Question 6
    2 / -0.33

    In highly rarefied gases, the concept of this loses validity

    Solution

    In highly rarefied gases, the concept of continuum loses validity.

    When dealing with extremely low-density gases, several important points should be considered:

    • The traditional continuum assumption breaks down, meaning the behaviour of the gas cannot be described as a continuous fluid.
    • In these conditions, the gas molecules are so far apart that they do not frequently collide with each other.
    • This results in a situation where the gas behaves more like a collection of individual particles rather than a smooth, flowing substance.
    • Consequently, concepts that rely on the continuum hypothesis, such as classical fluid dynamics, may not apply.

    Thus, in highly rarefied gases, it is crucial to use different models that take into account the discrete nature of the gas molecules.

  • Question 7
    2 / -0.33

    Isothermal compression of air in a Stirling engine is an example of

    Solution

    Isothermal Compression of Air in a Stirling Engine

    The isothermal compression of air in a Stirling engine is an example of a closed system with a movable boundary. This can be explained in the following points:

  • Question 8
    2 / -0.33

    Ice kept in a well insulated thermo flask is an example of which system?

    Solution

    Isolated System - in which there is no interaction between system and the surroundings. It is of fixed mass and energy, and hence there is no mass and energy transfer across the system boundary.

  • Question 9
    2 / -0.33

    A frictionless piston-cylinder device contains a gas initially at 0.8 MPa and 0.015 m3. It expands quasi-statically at constant temperature to a final volume of 0.030 m3. The work output (in kJ/kg) during this process will be:

    Solution

  • Question 10
    2 / -0.33

    A gas expands in a frictionless piston-cylinder arrangement. The expansion process is very slow, and is resisted by an ambient pressure of 100 kPa. During the expansion process, the pressure of the system (gas) remains constant at 300 kPa. The change in volume of the gas is 0.01 m3. The maximum amount of work that could be utilized from the above process is:

    Solution

    W = Resistance pressure

    this is required for atmosphere, means against atmosphere we have to do this. but question is that how much we can use. Now we use a connecting rod so that it can generate 200 KPa pressure extra. so that total resistance pressure is 300 KPa. now total work done = Total Resistance pressure

    for atmosphere. 2 KJ for use

  • Question 11
    2 / -0.33

    Find the maximum work obtainable if a reversible heat engine is installed between the two incompressible substances of equal masses 5 kg and specific heat capacity of 4.2 kJ/kg.K which are at 400 K and 900 K.

    Solution



    Answer B: 2100 kJ 

  • Question 12
    2 / -0.33

    In a new temperature scale say °ρ, the boiling and freezing points of water at one atmosphere are 100°ρ and 300°ρ respectively. Correlate this scale with the Centigrade scale. The reading of 0°ρ on the Centigrade scale is:

    Solution
    • In the new scale (°ρ), water freezes at 300°ρ and boils at 100°ρ.
    • In the Celsius scale, water freezes at 0°C and boils at 100°C.
    • The range on the °ρ scale is -200° (100°ρ to 300°ρ).
    • The range on the Celsius scale is +100° (0°C to 100°C).
    • To convert, use the formula: (°C) = (°ρ - 300) * (-1/2).
    • For 0°ρ: (0 - 300) * (-1/2) = 150°C.
    • Therefore, 0°ρ equals 150°C, option D.
  • Question 13
    2 / -0.33

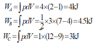
    Which one of the following is the correct sequence of the three processes A, B and C in the increasing order of the amount of work done by a gas following idealgas expansions by these processes?

    Solution

Self Studies
User
Question Analysis
  • Correct -

  • Wrong -

  • Skipped -

My Perfomance
  • Score

    -

    out of -
  • Rank

    -

    out of -
Re-Attempt Weekly Quiz Competition
Self Studies Get latest Exam Updates
& Study Material Alerts!
No, Thanks
Self Studies
Click on Allow to receive notifications
Allow Notification
Self Studies
Self Studies Self Studies
To enable notifications follow this 2 steps:
  • First Click on Secure Icon Self Studies
  • Second click on the toggle icon
Allow Notification
Get latest Exam Updates & FREE Study Material Alerts!
Self Studies ×
Open Now