Self Studies

Mathematics Test 279

Result Self Studies

Mathematics Test 279
  • Score

    -

    out of -
  • Rank

    -

    out of -
TIME Taken - -
Self Studies
Weekly Quiz Competition
  • Question 1
    4 / -1

    Solution

     

  • Question 2
    4 / -1

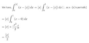
    The area (in sq. units) of the region A = {(x, y) : (x - 1) [x] ≤ y ≤ 2 √x, 0 ≤ x ≤ 2}, where [t] denotes the greatest integer function, is

    Solution

     

  • Question 3
    4 / -1

    Solution

     

  • Question 4
    4 / -1

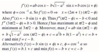
    The maximum and minimum value of f(x) = ab sin x + b  cos x + c lie in the interval (assuming |a| < 1, b > 0)

    Solution

     

  • Question 5
    4 / -1

    A given right circular cone has a volume p, and the largest right circular cylinder that can be inscribed in the cone has a volume q. Then p : q is

    Solution

     

  • Question 6
    4 / -1

    An object is moving in clockwise direction around the unit circle x2 + y2 = 1. As it passes through the point (1/2, √3/2), its y-coordinate is decreasing at the rate of 3 units per second. The rate at which the x-coordinate changes at this point is (in units per second)

    Solution

    To find the rate of change of the x-coordinate:

    • We know the object is on the unit circle, described by the equation x² + y² = 1.
    • The coordinates at the point of interest are (1/2, √3/2).
    • The rate of change of the y-coordinate is given as -3 units per second (it is decreasing).
    • Differentiate the circle equation with respect to time (t):
    • Using implicit differentiation, we get: 2x(dx/dt) + 2y(dy/dt) = 0.
    • This simplifies to: x(dx/dt) + y(dy/dt) = 0.
    • Substituting the known values:
    • x = 1/2y = √3/2, and dy/dt = -3.
    • Thus, the equation becomes: (1/2)(dx/dt) + (√3/2)(-3) = 0.
    • Solving for dx/dt:
    • We get: (1/2)(dx/dt) - (3√3/2) = 0.
    • Rearranging gives: dx/dt = 3√3.

    The rate at which the x-coordinate changes at this point is 3√3 units per second.

     

  • Question 7
    4 / -1

    The tangent to the curve y = ex drawn at the point (c, ec) intersects the line joining the points (c – 1, ec–1) and (c + 1, ec + 1)

  • Question 8
    4 / -1

    The abscissa of the point on the curve 9y= x3, the normal at which cuts off equal intercepts on the coordinate axes is

  • Question 9
    4 / -1

    What is the maximum value of 16 sin θ - 12 sin2 θ?

    Solution

    To find the maximum value of the expression 16 sin θ - 12 sin2 θ, follow these steps:

    • Let u = sin θ. The expression becomes 16u - 12u2.
    • This is a quadratic expression in terms of u16u - 12u2.
    • The standard form is -12u2 + 16u. The quadratic opens downwards since the coefficient of u2 is negative.
    • The maximum value occurs at u = -b/(2a), where a = -12 and b = 16.
    • Calculate u = -16 / (2 × -12) = 2/3.
    • Substitute u = 2/3 back into the expression:
      • 16(2/3) - 12(2/3)2
      • Simplify to get 32/3 - 12(4/9)
      • Further simplify to 32/3 - 16/3 = 16/3
    • Therefore, the maximum value is 16/3.

     

  • Question 10
    4 / -1

    f(x) = sinp θ cosq θ, (p, q > 0, 0 < θ < π/2) has a point of maxima at

Self Studies
User
Question Analysis
  • Correct -

  • Wrong -

  • Skipped -

My Perfomance
  • Score

    -

    out of -
  • Rank

    -

    out of -
Re-Attempt Weekly Quiz Competition
Self Studies Get latest Exam Updates
& Study Material Alerts!
No, Thanks
Self Studies
Click on Allow to receive notifications
Allow Notification
Self Studies
Self Studies Self Studies
To enable notifications follow this 2 steps:
  • First Click on Secure Icon Self Studies
  • Second click on the toggle icon
Allow Notification
Get latest Exam Updates & FREE Study Material Alerts!
Self Studies ×
Open Now