Self Studies

Mathematics Test 280

Result Self Studies

Mathematics Test 280
  • Score

    -

    out of -
  • Rank

    -

    out of -
TIME Taken - -
Self Studies
Weekly Quiz Competition
  • Question 1
    4 / -1

    The number of arbitrary constants in the solution of a differential equation of degree 2 and order 3 is

    Solution

    Since, the number of arbitrary constants in a solution of a differential equation of order n is equal to its order.

    So, number of arbitrary constants = Order of differential equation = 3

     

  • Question 2
    4 / -1

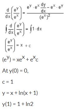
    If y = y(x) is the solution of the differential equation  such that y(0) = 0, then y(1) is equal to:

    Solution

     

  • Question 3
    4 / -1

    Solution

     

  • Question 4
    4 / -1

    The solution of the equation (y log y) dx +(x - logy) dy = 0, is

    Solution

     

  • Question 5
    4 / -1

    The integrating factor of dy/dx - 3y/x = x3 sin x is

    Solution

     

  • Question 6
    4 / -1

    Solution

     

  • Question 7
    4 / -1

    The value of k for which the points A (1, 0, 3), B (– 1, 3, 4), C (1, 2, 1) and D (k, 2, 5) are coplanar, is

    Solution

     

  • Question 8
    4 / -1

    Two systems of rectangular axes have the same origin. If a plane cuts them at distances a, b, c and a', b', c' from the origin, then

    Solution

     

  • Question 9
    4 / -1

    Equation of a plane bisecting the angle between the planes 2x - y + 2z + 3 = 0 and 3x - 2y + 6z + 8 = 0 is

    Solution

    Equations of the planes bisecting the angle between the given planes are

     

  • Question 10
    4 / -1

    Let a = i + j + k, b = I – j + 2k and c = xi + (x – 2)j – k. If the vector c lies in the plane of a and b, then x equals

    Solution

     

Self Studies
User
Question Analysis
  • Correct -

  • Wrong -

  • Skipped -

My Perfomance
  • Score

    -

    out of -
  • Rank

    -

    out of -
Re-Attempt Weekly Quiz Competition
Self Studies Get latest Exam Updates
& Study Material Alerts!
No, Thanks
Self Studies
Click on Allow to receive notifications
Allow Notification
Self Studies
Self Studies Self Studies
To enable notifications follow this 2 steps:
  • First Click on Secure Icon Self Studies
  • Second click on the toggle icon
Allow Notification
Get latest Exam Updates & FREE Study Material Alerts!
Self Studies ×
Open Now