Self Studies

Mathematics Test 281

Result Self Studies

Mathematics Test 281
  • Score

    -

    out of -
  • Rank

    -

    out of -
TIME Taken - -
Self Studies
Weekly Quiz Competition
  • Question 1
    4 / -1

    A line passes through the points (6, –7, –1) and (2, –3, 1). If the angle which the line makes with the positive direction of the x-axis is acute, then the direction cosines of the line are

    Solution

     

  • Question 2
    4 / -1

    The equation of the line through the point (2, 1, 1) and the intersection of the lines 2x – y – 4 = 0 = y + 2z and x + 3z – 4 = 0 = 2x + 5z – 8 is

    Solution

     

  • Question 3
    4 / -1

    The equation of a plane containing the line of intersection of the planes 2x - y - 4 = 0 and y + 2z - 4 = 0 and passing through the point (1, 1, 0) is:

    Solution

    The required plane is:

    (2x - y - 4) + λ(y + 2z - 4) = 0 ... (1)

    It passes through (1, 1, 0).

    ⇒(2−1−4) +λ(1 − 4) = 0

    ⇒ −3 − 3λ = 0 ⇒ λ = −1

    Substitute the value of λ=−1 in equation (1).

    The required equation of plane is:

    x−y−z=0

     

  • Question 4
    4 / -1

    Four persons can hit a target correctly with probabilities 1/2, 1/3, 1/4 and 1/8. If all hit at the target independently, then the probability that the target would be hit is

    Solution

     

  • Question 5
    4 / -1

    If three of the six vertices of a regular hexagon are chosen at random, then the probability that the triangle formed with these chosen vertices is equilateral is

    Solution

     

  • Question 6
    4 / -1

    Out of 11 consecutive natural numbers, if three numbers are selected at random (without repetition), then the probability that they are in A.P. with positive common difference, is:

    Solution

    Out of 11 consecutive natural numbers, there are either 6 even and 5 odd numbers or 5 even and 6 odd numbers.

    When 3 numbers are selected at random, then total cases = 11C3

    Since these 3 numbers are in A.P., let the numbers be a, b, c.

    So, favourable cases = 6C2 + 5C2

    = 15 + 10 = 25

    P(3 numbers are in A.P.) = 25/(11C3) = 25/165 = 5/33

     

  • Question 7
    4 / -1

    Let A and B be two non-null events such that A ⊂ B. Then, which of the following statements is always correct?

    Solution

     

  • Question 8
    4 / -1

    A random variable has the following probability distribution:

    The value of k is

    Solution

    Random variate

    ∑P(x) = 1

    0 + k + 2k + 2k + 3k + k2 + 2k2 + 7k2 + k = 1

    10k2 + 9k = 1

    10k2 + 10k - k - 1 = 0

    10k(k + 1) - 1(k + 1) = 0

    (k + 1)(10k - 1) = 0

    k = -1, k = 1/10

    ∴ k ≠ -1

    The probability of a variable cannot be negative, so

    k = 0.1.

     

  • Question 9
    4 / -1

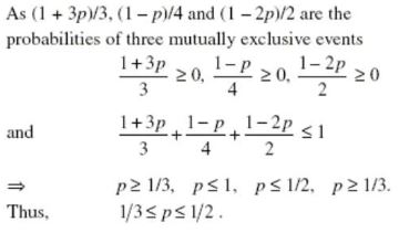
    If (1 + 3p)/3, (1 – p)/4 and (1 – 2p)/2 are the probabilities of three mutually exclusive events, then the set of all values of p is

    Solution

     

  • Question 10
    4 / -1

    The mean and variance of a binomial distribution are 4 and 2, respectively. What is the probability of two successes?

    Solution

     

Self Studies
User
Question Analysis
  • Correct -

  • Wrong -

  • Skipped -

My Perfomance
  • Score

    -

    out of -
  • Rank

    -

    out of -
Re-Attempt Weekly Quiz Competition
Self Studies Get latest Exam Updates
& Study Material Alerts!
No, Thanks
Self Studies
Click on Allow to receive notifications
Allow Notification
Self Studies
Self Studies Self Studies
To enable notifications follow this 2 steps:
  • First Click on Secure Icon Self Studies
  • Second click on the toggle icon
Allow Notification
Get latest Exam Updates & FREE Study Material Alerts!
Self Studies ×
Open Now