Self Studies

Physics Test 274

Result Self Studies

Physics Test 274
  • Score

    -

    out of -
  • Rank

    -

    out of -
TIME Taken - -
Self Studies

SHARING IS CARING

If our Website helped you a little, then kindly spread our voice using Social Networks. Spread our word to your readers, friends, teachers, students & all those close ones who deserve to know what you know now.

Self Studies Self Studies
Weekly Quiz Competition
  • Question 1
    4 / -1

    Three point charges of 1 C, 2 C and 3 C are placed at the corners of an equilateral triangle of side 1 m. The work done (in joules) in bringing these charges to the vertices of a smaller similar triangle of side 0.5 m is

    Solution

     

  • Question 2
    4 / -1

    Three capacitors, each of capacity 4 µF, are to be connected in such a way that the effective capacitance is 6 µF. This can be done by

    Solution

    To get equivalent capacitance 6 μF, out of the three, 4 μF capacitances, two are connected in series and the third one is connected in parallel.

     

  • Question 3
    4 / -1

    A 3 μF capacitor is charged to a potential of 300 V and a 2 μF capacitor is charged to a potential of 200 V. The capacitors are then connected in parallel with plates of opposite polarity joined together. What amount of charge will flow when the plates are so connected

    Solution

    Before connections,

    C1 = 3µF, V1 = 300V

    Charge on C1,

    Q1 = 900μC

    C2 = 2µF, V1 = 200V

    Charge on C2,

    Q2 = 400μC

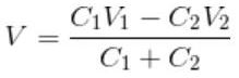
    When the positive terminal of C1 is connected with the negative terminal of C2, common potential of the system is:

    Substituting the values, we get

    V = 100V

    New charge on positive plate of C1,

    Q'= 3 x 100 = 300µC

    So, charge Q1 - Q'1 = 600 µC has flown from the positive plate of the C1 to the negative plate of C2.

     

  • Question 4
    4 / -1

    An insulator plate is passed through the plates of a capacitor as shown. The current

    Solution

    As insulator plate is passed between the plates of the capacitor, its capacity increases first and then decreases as the plate slips out. As a result, positive charge on plate A increase first and then decreases, hence, current in outer circuit flows from B to A and then from A to B.

     

  • Question 5
    4 / -1

    Directions For Questions

    Directions: These questions consist of two statements, each printed as Assertion and Reason. While answering these questions, you are required to choose any one of the following four responses.

    ...view full instructions

    Assertion: The electric flux of the electric field ∮ E.dA is zero. The electric field is zero everywhere on the surface.

    Reason: The charge inside the surface is zero.

    Solution

    By Gauss’s law:

    ∮ E ⋅ dA = Qenc / ε₀

    If ∮ E ⋅ dA = 0, then Qenc = 0, so the reason is true. However, the assertion is false: zero flux does not imply E = 0 everywhere on the surface (e.g., a dipole with no net charge produces non-zero field).

    Thus, both are not correct, and the correct answer is D: Assertion is false, Reason is true.

     

  • Question 6
    4 / -1

    Directions For Questions

    Directions: These questions consist of two statements, each printed as Assertion and Reason. While answering these questions, you are required to choose any one of the following four responses.

    ...view full instructions

    Assertion: On bringing a positively charged rod near the uncharged conductor, the conductor gets attracted towards the rod.

    Reason: The electric field lines of the charged rod are perpendicular to the surface of the conductor.

    Solution

    Though the net charge on the conductor is still zero but due to induction the negatively charged region is nearer to the rod as compared to the positively charged region. That is why the conductor gets attracted towards the rod

     

  • Question 7
    4 / -1

    Two parallel, large and thin metal plates have equal surface charge densities (σ = 26.4 x 10-12 C/m2) of opposite signs. The electric field between these plates is

    Solution

     

  • Question 8
    4 / -1

    When a conductor is placed in an electric field; its free charge carriers adjust itself in order to oppose the electric field. This happen until

    Solution

    When an external electric field is applied to the conductor, the free electrons in the conductor move in an opposite direction to that of the applied electric field.

    This movement of electrons induces another electric field inside the conductor which opposes the original external electric field.

    This continues until the induced electric field cancels out the external field.

     

  • Question 9
    4 / -1

    The electric field inside a dielectric decreases, when it is placed in an external electric field. This happens due to ________

    Solution

    The external electric field polarizes the dielectric and an electric field is produced.

    The net electric field inside the dielectric decreases due to polarization.

     

  • Question 10
    4 / -1

    The magnetic field inside a toroidal solenoid of radius R is B. If the current through it is doubled and its radius is also doubled keeping the number of turns per unit length the same; magnetic field produced by it will be:

    Solution

     

Self Studies
User
Question Analysis
  • Correct -

  • Wrong -

  • Skipped -

My Perfomance
  • Score

    -

    out of -
  • Rank

    -

    out of -
Re-Attempt Weekly Quiz Competition
Self Studies Get latest Exam Updates
& Study Material Alerts!
No, Thanks
Self Studies
Click on Allow to receive notifications
Allow Notification
Self Studies
Self Studies Self Studies
To enable notifications follow this 2 steps:
  • First Click on Secure Icon Self Studies
  • Second click on the toggle icon
Allow Notification
Get latest Exam Updates & FREE Study Material Alerts!
Self Studies ×
Open Now