Self Studies

Physics Test 278

Result Self Studies

Physics Test 278
  • Score

    -

    out of -
  • Rank

    -

    out of -
TIME Taken - -
Self Studies
Weekly Quiz Competition
  • Question 1
    4 / -1

    The energy released by the fission of one uranium atom is 200 MeV. The number of fissions required per second to produce 3.2 W of power is

    Solution

    The energy released by the fission of one uranium atom, E = 200 MeV

    E = 200 × 10× 1.6 × 10-19 J

    The number of fissions required per second, n/t = P/E.

     

  • Question 2
    4 / -1

    If in a nuclear fission, a piece of uranium of mass 0.5 g is lost, then the energy obtained in kWh is

    Solution

    E = mc2 = (0.5/1000) × (3 × 108)2 = 4.5 × 1013 Ws

    1000 W = 1 kW

    3600 seconds = 1 hour

    So, by unit conversion, E = 1.25 × 107 kWh

     

  • Question 3
    4 / -1

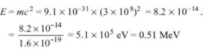
    What is the rest mass energy of an electron?

    Solution

     

  • Question 4
    4 / -1

    Which of the following are not emitted by a radioactive substance?

    Solution

    Neutrons are not emitted by a radioactive substance.

     

  • Question 5
    4 / -1

    During a negative beta decay,

    Solution

     

  • Question 6
    4 / -1

    The half-life of Pa-218 is 3 minutes. What mass of a 16 g sample of Pa-218 will remain after 15 minutes?

    Solution

    Since 15 minutes = 5 x 3 minutes = 5 half-lives, the number of nuclei left after 15 minutes = 1/25 = 1/32 of the original number

    Therefore, the mass of 16 g sample left after 15 minutes = 16/32 = 0.5 g

    Hence, the correct choice is (d).

     

  • Question 7
    4 / -1

    Mp denotes the mass of a proton and Mn that of a neutron. A given nucleus of binding energy B contains Z protons and N neutrons. The mass M (N, Z) of the nucleus is given by

    Solution

     

  • Question 8
    4 / -1

    The circuit shown in the figure contains two diodes D1 and D2, each with a forward resistance of 50 ohms and infinite backward resistance. If the battery voltage is 6 V, the current (in amperes) through the 100 ohm resistance is

    Solution

    In the given circuit only diode D1 will allow the current to pass through as it is forward-biased.

    Hence, the current through the 100 ohm resistance is (∵ resistance of D1 = 50 Ω)

     

  • Question 9
    4 / -1

    I is the current passing through a circular wire. If the radius of the wire is changed to twice, then what will be the current passing through the wire?

    Solution

    Current, I = V/R

    If the radius becomes twice, the area becomes 4 times and resistance becomes R/4, as resistance is inversely proportional to the area of wire.

    New current = 4V/R = 4I

     

  • Question 10
    4 / -1

    To obtain a p-type semiconductor germanium crystal, it must be doped with foreign atoms whose valency is

    Solution

    To obtain a p-type semiconductor the impurity must be trivalent, i.e. it must be doped with foreign atoms whose valency is 3. In p-type semiconductors, holes are the majority carriers and electrons are the minority carriers. P-type semiconductors are created by doping an intrinsic semiconductor with acceptor impurities. A common p-type dopant for silicon is boron.

     

Self Studies
User
Question Analysis
  • Correct -

  • Wrong -

  • Skipped -

My Perfomance
  • Score

    -

    out of -
  • Rank

    -

    out of -
Re-Attempt Weekly Quiz Competition
Self Studies Get latest Exam Updates
& Study Material Alerts!
No, Thanks
Self Studies
Click on Allow to receive notifications
Allow Notification
Self Studies
Self Studies Self Studies
To enable notifications follow this 2 steps:
  • First Click on Secure Icon Self Studies
  • Second click on the toggle icon
Allow Notification
Get latest Exam Updates & FREE Study Material Alerts!
Self Studies ×
Open Now