Self Studies

Physics Test 279

Result Self Studies

Physics Test 279
  • Score

    -

    out of -
  • Rank

    -

    out of -
TIME Taken - -
Self Studies
Weekly Quiz Competition
  • Question 1
    4 / -1

    The energy required to remove the electron from a singly ionized Helium atom is 2.2 times the energy required to remove an electron from Helium atom. The total energy required to ionize the Helium atom completely is:

    Solution

    Option C is correct; the total energy required is 79 eV.

    Let the first ionization energy be E₁ and the second ionization energy be E₂. Given E₂ = 2.2 E₁.

    For the singly ionized helium ion (He+), which is hydrogen-like with atomic number Z = 2, the ionization energy from the ground state is given by 13.6 Z2 eV.

    Thus E₂ = 13.6 × 22 = 13.6 × 4 = 54.4 eV.

    So E₁ = E₂ / 2.2 = 54.4 / 2.2 ≈ 24.73 eV.

    Total energy to ionize helium completely = E₁ + E₂ = 24.73 + 54.4 ≈ 79.13 eV, which rounds to 79 eV.

    Therefore the correct option is C: 79 eV.

     

  • Question 2
    4 / -1

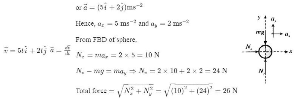
    A solid sphere of mass 2 kg is resting inside a cube as shown in figure The cube is moving with a velocity  Here t is time in seconds. All surfaces are smooth. The sphere is at rest with respect to the cube. What is the total force exerted by the sphere on the cube?

    Solution

    Option C is correct.

    Differentiate the given velocity with respect to time to get the acceleration; a = (5 i + 2 j) m s-2.

    By Newton's second law the vector sum of external forces on the sphere equals m a.

    Taking rightward as x and upward as y, the external forces are Nx i from the left wall, Ny j from the floor (upward), and weight mg (downward). Thus Nx i + (Ny - mg) j = m a.

    With m = 2 kgm a = (10 i + 4 j) N.

    Equating components gives Nx = 10 N and Ny - mg = 4 N.

    Using g = 10 m s-2 (consistent with the options), Ny = 4 + m g = 4 + 2 × 10 = 24 N.

    The resultant force magnitude is √(102 + 242) = 26 N.

    Hence the total force exerted by the sphere on the cube is 26 N (option C).

     

  • Question 3
    4 / -1

    A block is resting on a piston which executes simple harmonic motion in vertical plane with a period of 2.0 s in vertical plane at an amplitude just sufficient for the block to separate from the piston. The maximum velocity of the piston is

    Solution

    The situation when the block is just below the mean position is shown in Fig., the restoring forces acting on the piston cause a normal reaction F to act on the block. For the block to separate F ≥ mg i.e., mωA ≥ mg

     

  • Question 4
    4 / -1

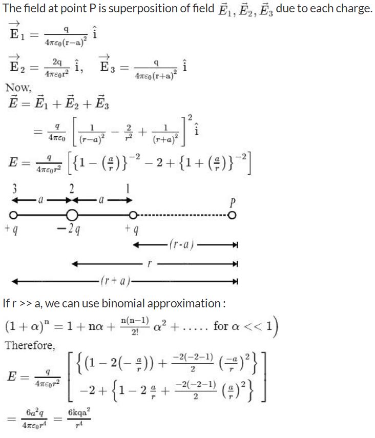
    Determine the electric field intensity at point P due to quadruple distribution shown in figure for r ≫ a

    Solution

     

  • Question 5
    4 / -1

    Two capacitors of capacitances 0.3μF and 0.6μF are connected in series across 6 volts. The ratio of energies stored in them will be

    Solution

     

  • Question 6
    4 / -1

    Two coherent sources of intensity ratio 100 : 1, interfere. What is the ratio of the intensity between the maxima and minima in the interference pattern?

    Solution

     

  • Question 7
    4 / -1

    A block of pure silicon at 300 K has a length of 10 cm and an area of 1.0 × 10−4 m2. If a battery of emf 2 V is connected across it, what is the electron current? The mobility of electrons is 0.14 m2 V−1 s−1 and their number density is 1.5 × 1016 m−3.

    Solution

     

  • Question 8
    4 / -1

    Assertion: The speed of sound in a gas is not affected by change in pressure provided the temperature of the gas remains constant.

    Reason: The speed of sound is inversely proportional to the square root of the density of the gas.

    Solution

    Assertion and Reason are both correct and reason is not the correct explanation of assertion.

    “At constant T, P and ρ  change proportionally, keeping v constant.”

     

  • Question 9
    4 / -1

    Directions For Questions

    Two identical blocks A and B are placed on two inclined planes as shown in diagram. Neglect air resistance and other friction

    ...view full instructions

    Read the following statements and choose the correct options.

    Statements I : Kinetic energy of 'A' on sliding to J will be greater than the kinetic energy of B on falling to M.

    Statements II : Acceleration of ' A ' will be greater than acceleration of ' B ' when both are released to slide on inclined plane

    Statements III : Work done by external agent to move block slowly from position B to O is negative

    Solution

    Statement I : Work done by gravity is same for motion from A to J and B to M for equal mass. So K.E. will be equal.

     

  • Question 10
    4 / -1

    The length, breadth and thickness of a rectangular sheet of metal are 4.234 m, 1.005 m, and 2.01 cm respectively. Give the volume of the sheet to correct significant figures.

    Solution

    Length , l = 4,234 m

    Breadth, b = 1.005 m

    Thickness , t = 2.01 x 10-2 m

    Volume = l x b x t

    ⇒ V = 4.234 x 1.005 x 0.0201 = 0.0855289 = 0.0855 m3 (significant figure = 3)

     

Self Studies
User
Question Analysis
  • Correct -

  • Wrong -

  • Skipped -

My Perfomance
  • Score

    -

    out of -
  • Rank

    -

    out of -
Re-Attempt Weekly Quiz Competition
Self Studies Get latest Exam Updates
& Study Material Alerts!
No, Thanks
Self Studies
Click on Allow to receive notifications
Allow Notification
Self Studies
Self Studies Self Studies
To enable notifications follow this 2 steps:
  • First Click on Secure Icon Self Studies
  • Second click on the toggle icon
Allow Notification
Get latest Exam Updates & FREE Study Material Alerts!
Self Studies ×
Open Now