Self Studies

Mathematics Test - 31

Result Self Studies

Mathematics Test - 31
  • Score

    -

    out of -
  • Rank

    -

    out of -
TIME Taken - -
Self Studies
Weekly Quiz Competition
  • Question 1
    1 / -0

    The degree of the differential equation:

    \(\frac{d^{2} y}{d x^{2}}+3\left(\frac{d y}{d x}\right)^{2}=x^{2} \log \left(\frac{d^{2} y}{d x^{2}}\right)\)

    Solution

    Given,

    \(\frac{d^{2} y}{d x^{2}}+3\left(\frac{d y}{d x}\right)^{2}=x^{2} \log \left(\frac{d^{2} y}{d x^{2}}\right)\)

    For the given differential equation the highest order derivative is \(2\).

    The given differential equation is not a polynomial equation because it involved a logarithmic term in its derivatives so, its degree is not defined.

  • Question 2
    1 / -0

    If the sum of the squares of the intercepts on the axes cut off by the tangent to the curve \(x^{1 / 3}+y^{1 / 3}=a^{1 / 3}(a>0)\) at \((\frac{a} { 8}, \frac{a} {8})\) is 2 , then the value of ' \(a\) ' is

    Solution

    \(\begin{aligned}y^{\prime}(x) & =2-\frac{1}{1+x^2}+\frac{1}{\sqrt{1+x^2}-x} \frac{d}{d x}\left(\sqrt{1+x^2}-x\right) \\& =2-\frac{1}{1+x^2}+\frac{1}{\sqrt{1+x^2}-x} \times\left(\frac{x}{\sqrt{1+x^2}}-1\right) \\& =2-\frac{1}{1+x^2}-\frac{1}{\sqrt{1+x^2}} \geq 0\end{aligned}\)

    \(1 /\left(1+x^2\right)\) and \(1 / \sqrt{1+x^2}\) are less than or equal to 1 for all \(x\). So \(f(x)\) increases on \((-\infty, \infty)\).

  • Question 3
    1 / -0

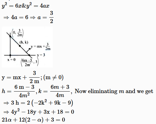
    The equations of two sides of a variable triangle are \(\mathrm{x}=0\) and \(\mathrm{y}=3\), and its third side is a tangent to the parabola \(y^2=6 x\). The locus of its circumcentre is :

    Solution

  • Question 4
    1 / -0

    A box contains \(4\) tennis balls, 6 season balls and \(8\) dues balls. \(3\) balls are randomly drawn from the box. What is the probability that the balls are different?

    Solution

    Given, A box contains \(4\) tennis balls, \(6\) season balls and \(8\) dues balls

    We know that, Probability \(=\frac{\text { Favourable outcomes }}{\text { Total outcomes }}\)

    Let us assume that all balls are unique.

    There are a total of \(18\) balls.

    Number of all combinations of \(n\) things, taken \(r\) at a time, is given by \({ }^{n} C_{r}=\frac{n !}{(r) !(n-r) !}\)

    Total ways \(=3\) balls can be chosen in \({ }^{18} \mathrm{C}_{3}\) ways

    \(=\frac{18 !}{3 ! \times 15 !}\)

    \(=\frac{18 \times 17 \times 16}{3 \times 2 \times 1}\) \(=816\)

    There are \(4\) tennis balls, \(6\) season balls and \(8\) dues balls, \(1\) tennis ball, \(1\) season ball and \(1\) dues Ball drawn.

    Therefore, favorable ways \(=4 \times 6 \times 8\) \(=192\)

    Probability \(=\frac{192}{816}\) \(=\frac{4}{17}\)

  • Question 5
    1 / -0

    The mean and standard deviation of a binomial distribution are \(12\) and \(2\) respectively. What is the number of trails?

    Solution

    We know that,

    Mean \(=\mu=n p\)

    Standard deviation \(=\sigma=\sqrt{\text { npq }}\)

    Where \(n=\) number of trials; \(p=\) probability of success; \(q=(1-p)=\) probability of failure

    Given: Mean \(=\mu=n p=12\)

    Standard deviation \(=\sigma=\sqrt{n p q}=2\)

    \(\therefore\) Variance \(=\sigma^{2}=n p q=4\)

    \(\Rightarrow 4=n p(1-p)=12(1-p)\)

    \(\Rightarrow \frac{4}{12}=(1-p)\)

    \(\Rightarrow(1-p)=\frac{1}{3}\)

    \(\Rightarrow p=1-\frac{1}{3}\)

    \(\therefore p=\frac{2}{3}\)

    Again; \(\mu=n p=12\)

    \(\therefore n=\frac{12}{p}=12 \times\frac{3}{2}=18\)

  • Question 6
    1 / -0

    If \(a_n=\sqrt{7+\sqrt{7+\sqrt{7+\ldots . .}}}\) having \(n\) radical signs then by methods of mathematical induction which is true

    Solution

    For \(\mathrm{n}=1, \mathrm{a}_1=\sqrt{7}<7\). Let \(\mathrm{a}_{\mathrm{m}}<7\).

    Then \(a_{m+1}=\sqrt{7+a_m}\)

    \(\Rightarrow a_{m+1}^2=7+a_m<7+7<14\)

    \(\Rightarrow a_{m+1}<\sqrt{14}<7\); So, by the principle of mathematical induction \(\mathrm{a}_{\mathrm{n}}<7, \forall \mathrm{n}\)

  • Question 7
    1 / -0

    Find the general solution of given differential equation \(\frac{x d y}{d x}+3 y=4 x^3 ?\)

    Solution

    Given that,

    \(\Rightarrow \frac{ xdy }{ dx }+3 y =4 x ^3\)

    Now,

    \(\Rightarrow \frac{ dy }{ dx }+\frac{3 y }{ x }=4 x ^2\)

    By comparing with \(\frac{ dy }{ dx }+ Py = Q\)

    \( \Rightarrow P=\frac{3 } x \text { and } Q=4 x^2 \)

    \( \Rightarrow \text { I.F. }=e^{\int P d x}=e^{\int \frac{3}{x} d x} \)

    \(\Rightarrow \text { I.F. }=e^{3 \ln x} \)

    \( \Rightarrow \text { I.F. }=e^{\ln x^3}\)

    \( \Rightarrow \text { I.F. }=x^3\left(\because e^{\ln x}=x\right)\)

    Now general solution will be,

    \( \Rightarrow y \cdot( I \cdot F \cdot)=\int( Q \cdot( I \cdot F \cdot)) dx + c \)

    \( \Rightarrow y \cdot\left( x ^3\right)=\int\left(4 x ^2 \cdot\left( x ^3\right)\right) dx + c\)

    \( \Rightarrow x ^3 \cdot y =\int 4 x ^5 dx + c \)

    \( \Rightarrow x ^3 \cdot y =4 \frac{ x ^6}{6}+ c \)

    \( \Rightarrow x^3 \cdot y=\frac{2}{3} \cdot x^6+c\)

  • Question 8
    1 / -0

    Find the value of \(i ^{1325}\) where \(i =\sqrt{-1}\).

    Solution

    As we know,

    \(i =\sqrt{-1}\)

    \( i ^{2}=-1\)

    \(i^{4 n}=1\)

    Given,

    \( i^{1325}\)

    \(=i^{(1324+1)}\)

    \(=\left(i^{4}\right)^{331} \times i\)

    \(=1 \times i \quad\left[\because i^{4 n}=1\right]\)

    \(=i\)

    \(\therefore i^{1325}=i\)

  • Question 9
    1 / -0

    The value of cosine of the angle between the \(x\) -axis and the vector \(2 \hat{i}+2 \hat{j}+\hat{k}\) is:

    Solution

    Unit vector along \(\mathrm{x}\) -axis \(=\hat{i}+0 \hat{j}+0 \hat{{k}}=\hat{i} \quad\quad....(1)\)

    Unit vector along \(y\) -axis \(=\hat{j}\)

    Unit vector along z-axis \(=\hat{{k}}\)

    And angle between two vectors \(\vec{a}\) and \(\vec{b}\).

    \(\cos \theta=\frac{\vec{a} . \vec{b}}{|\vec{a}| \cdot|\vec{b}|}\)

    Where

    \(|\vec{a}|=\sqrt{a_{1}^{2}+b_{1}^{2}+c_{1}^{2}}\)

    \(|\vec{b}|=\sqrt{a_{2}^{2}+b_{2}^{2}+c_{2}^{2}}\)

    Given,

    Vector, \(\vec{a}=2 \hat{i}+2 \hat{j}+\hat{k}\)

    By equation (1), unit vector along \(x\) -axis, \(\vec{b}=\hat{i}+0 \hat{j}+0 \hat{k}\)

    Then, value of cosine,

    \(\cos \theta=\frac{(2 \hat{i}+2 \hat{j}+\hat{k}) \cdot(\hat{i}+0 \hat{j}+0 \hat{k})}{\sqrt{2^{2}+2^{2}+1^{2}} \sqrt{1^{2}+0+0}}\)

    \(\Rightarrow \cos \theta=\frac{2}{\sqrt{9} \cdot \sqrt{1}}\)

    \(\Rightarrow \cos \theta=\frac{2}{3} \)

  • Question 10
    1 / -0

    Differentiate \(f(x)=e^{a x+b}\) from first principles.

    Solution

    Let

    \(\begin{aligned}& f(x)=e^{3 x+b} \\& \Rightarrow f(x+h)=e^{a(x+h)+b} \\& \frac{d}{d x}(f(x))=\lim _{h \rightarrow 0} \frac{f(x+h)-f(x)}{h} \\& =\lim _{h \rightarrow 0} \frac{e^{3(x+h)+b}-e^{(2 x+b)}}{h} \\& =\lim _{h \rightarrow 0} \frac{e^{a x+b} e^{a x}-e^{a x+b}}{h} \\& =\lim _{h \rightarrow 0} e^{a x+b}\left\{\frac{\left(e^{a h}-1\right)}{a h}\right\} \times a \\& =a e^{a x+b} \\& {\left[\text { Since, } \lim _{x \rightarrow 0} \frac{e^{x-1}}{x}=1\right]}\end{aligned}\)

    So,

    \(\frac{d}{d x}\left(e^{a x+b}\right)=a e^{a x+b}\)

Self Studies
User
Question Analysis
  • Correct -

  • Wrong -

  • Skipped -

My Perfomance
  • Score

    -

    out of -
  • Rank

    -

    out of -
Re-Attempt Weekly Quiz Competition
Self Studies Get latest Exam Updates
& Study Material Alerts!
No, Thanks
Self Studies
Click on Allow to receive notifications
Allow Notification
Self Studies
Self Studies Self Studies
To enable notifications follow this 2 steps:
  • First Click on Secure Icon Self Studies
  • Second click on the toggle icon
Allow Notification
Get latest Exam Updates & FREE Study Material Alerts!
Self Studies ×
Open Now